给你一个链表,两两交换其中相邻的节点,并返回交换后链表的头节点。你必须在不修改节点内部的值的情况下完成本题(即,只能进行节点交换)。
示例 1:
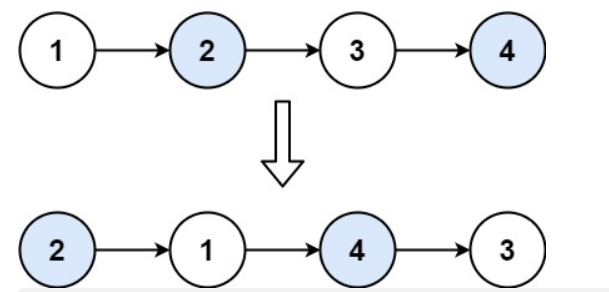
输入:head = [1,2,3,4]
输出:[2,1,4,3]
示例 2:
输入:head = []
输出:[]
示例 3:输入:head = [1]
输出:[1]
提示:
链表中节点的数目在范围 [0, 100] 内
0 <= Node.val <= 100来源:力扣(LeetCode)
链接:https://leetcode-cn.com/problems/swap-nodes-in-pairs
著作权归领扣网络所有。商业转载请联系官方授权,非商业转载请注明出处。
实现思路:
看似复杂的操作,其实变更两个指针就够了。先让前一个指针递归的指向后续,再让后一个指针指向前一个指针。
实现代码:
class Solution {
public:
ListNode* swapPairs(ListNode* head) {
if(head==NULL||head->next==NULL)
return head;
ListNode *f=head;
ListNode *s=head->next;
f->next=swapPairs(head->next->next);
s->next=f;
return s;
}
}; 这里注意一个一开始犯得错误,不要把![]()
这样两次交换的顺序一旦颠倒,就是s->next指向f,而f->next指向s,形成了一个双向的链表,而这个递归就会永远困在里面出不来,执行结果就会告诉你堆栈爆了。
版权声明:本文为worldinme原创文章,遵循CC 4.0 BY-SA版权协议,转载请附上原文出处链接和本声明。
