电卡制冷前景及原理:
电卡效应是指在电场作用下极性材料因极化状态改变而产生的可逆温变。基于电卡效应的制冷技术具有环保、高效和易于微型化等优势,因此有望在今后的制冷领域中得到广泛的应用。在常见的电卡材料中,有机铁电聚合物以其强电卡效应、良好的柔性等特点在应用于电卡制冷时具有较大的潜力。
电卡制冷的原理是基于某些极性材料的电卡效应(Electrocaloric effect)。电卡效应是指在电场作用下极性材料因极化状态改变而产生的可逆温变:对于极性材料,其内部的偶极子最开始是随机取向的。如果对该材料施加电场,由于电场外力的作用,材料的偶极子会朝向同一个方向,在绝热条件下,材料的熵会减小,温度会升高。当撤去电场后,材料的偶极子的取向会再次随机化,材料的熵会增大,导致材料温度下降。
电卡效应如何用comsol进行仿真:
在comsol中并没有单独的物理场或多物理场可以用来模拟电卡效应。因此必须找到方程耦合入comsol。
调研得到电卡效应方程:

对于 P(VDF-TrFE-CFE)而言:

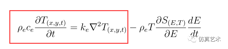
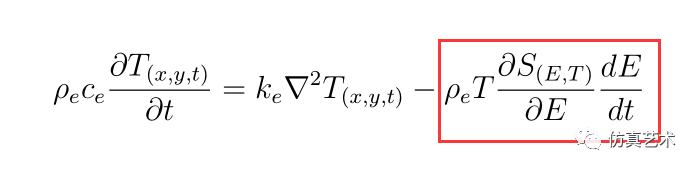
又因为固体传热方程:

即对于电卡效应方程而言:前面为固体传热方程:

故将下式耦合入固体传热模块即可:

即:设置参数、函数及热源:



结果:

(除了添加热源修改固体传热以达成模拟效果外,在找到了合适的方程后,使用PDE方程也是可以的。)
作者:玉带河学者
版权声明:本文为weixin_39900023原创文章,遵循CC 4.0 BY-SA版权协议,转载请附上原文出处链接和本声明。