基于最小二乘原理的Matlab曲线拟合方法介绍
在数据处理等工作中,经常需要对已知数据进行拟合,进而获得更加光滑流畅的曲线。曲线拟合主要基于多项式插值,三次样条曲线插值,最小二乘拟合。
考虑到最小二乘曲线拟合的优越性,本文仅对该方法进行总结。
原理
设拟合曲线表达式为:
为求解拟合曲线的系数,设:
若设拟合曲线为线性形式,即可表示为:
其中fi(x)为基函数。
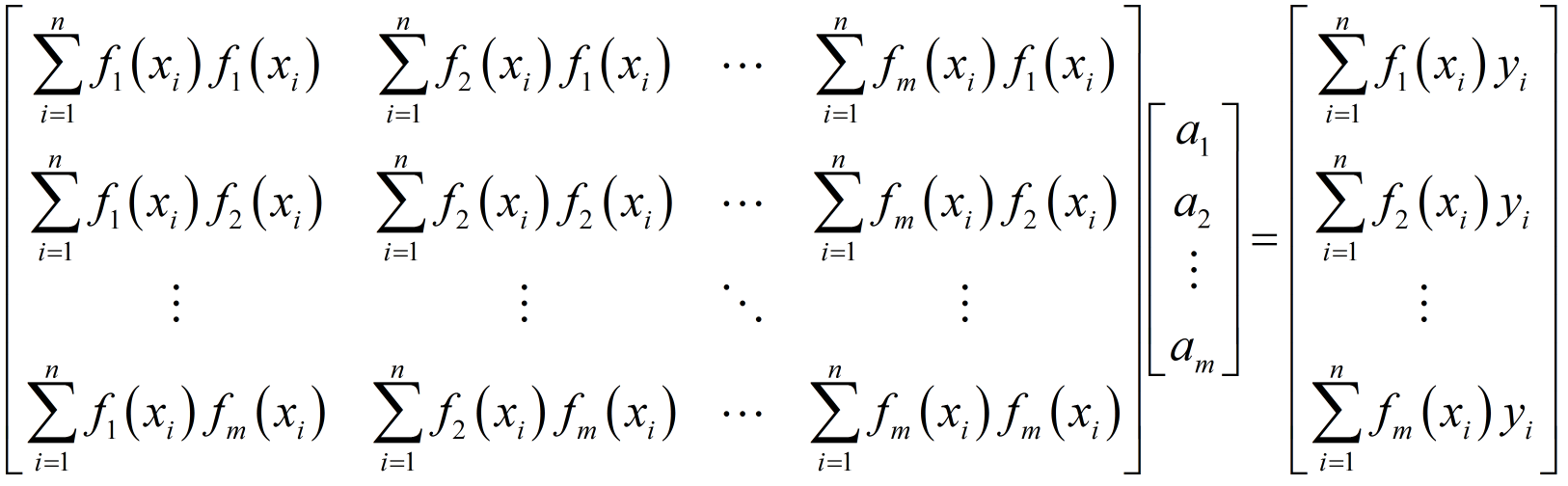
结合以上各式,则可基于下式求解拟合函数的系数:
程序与实例应用
本文设基函数为:
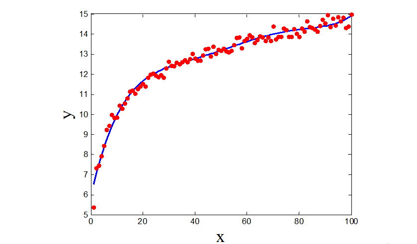
建立了基于最小二乘原理的曲线拟合函数,并以一组散点为例进行曲线拟合,验证函数及拟合方法的可靠性。
如下所示为拟合结果与运行程序:
clc
clear
xData = 1:1:100;
y = 2*log(xData)+5.5;
yData = y+0.5*rand(1,size(y,2)) - 0.5*rand(1,size(y,2));
m=6;
[yFitting]=curveFitting(xData,yData,m);
plot(xData,yFitting,'-b','LineWidth',2)
hold on
scatter(xData,yData,'ro','filled');
xlabel('x','fontname','times','fontsize',20)
ylabel('y','fontname','times','fontsize',20)
自定义拟合函数curveFitting
% 基于最小二乘原理的matlab曲线拟合
% 注:离散节点数据为列向量
function [yFitting]=curveFitting(xData,yData,m)
n=length(xData);
A=zeros(m); S=zeros(2*m-1,1); b=zeros(m,1); temp=zeros(n,1);
% 求矩阵A
for i=1:(2*m-1)
for j=1:n
temp(j,1)=xData(j)^(i-1);
end
S(i,1)=sum(temp);
end
for i=1:m
for j=1:m
A(i,j)=S(i+j-1);
end
end
% 求矢量b
for i=1:m
for j=1:n
temp(j,1)=xData(j)^(i-1)*yData(j);
end
b(i,1)=sum(temp);
end
% 求解系数矩阵a
I=A\b;
% 拟合曲线
yFitting=zeros(1,n);
for i=1:m
yFitting=I(i)*xData.^(i-1)+yFitting;
end
版权声明:本文为qq_40368490原创文章,遵循CC 4.0 BY-SA版权协议,转载请附上原文出处链接和本声明。