典型问题之两组基下的坐标变换

典型问题之求子空间的基与维数

典型问题之矩阵的计算简化

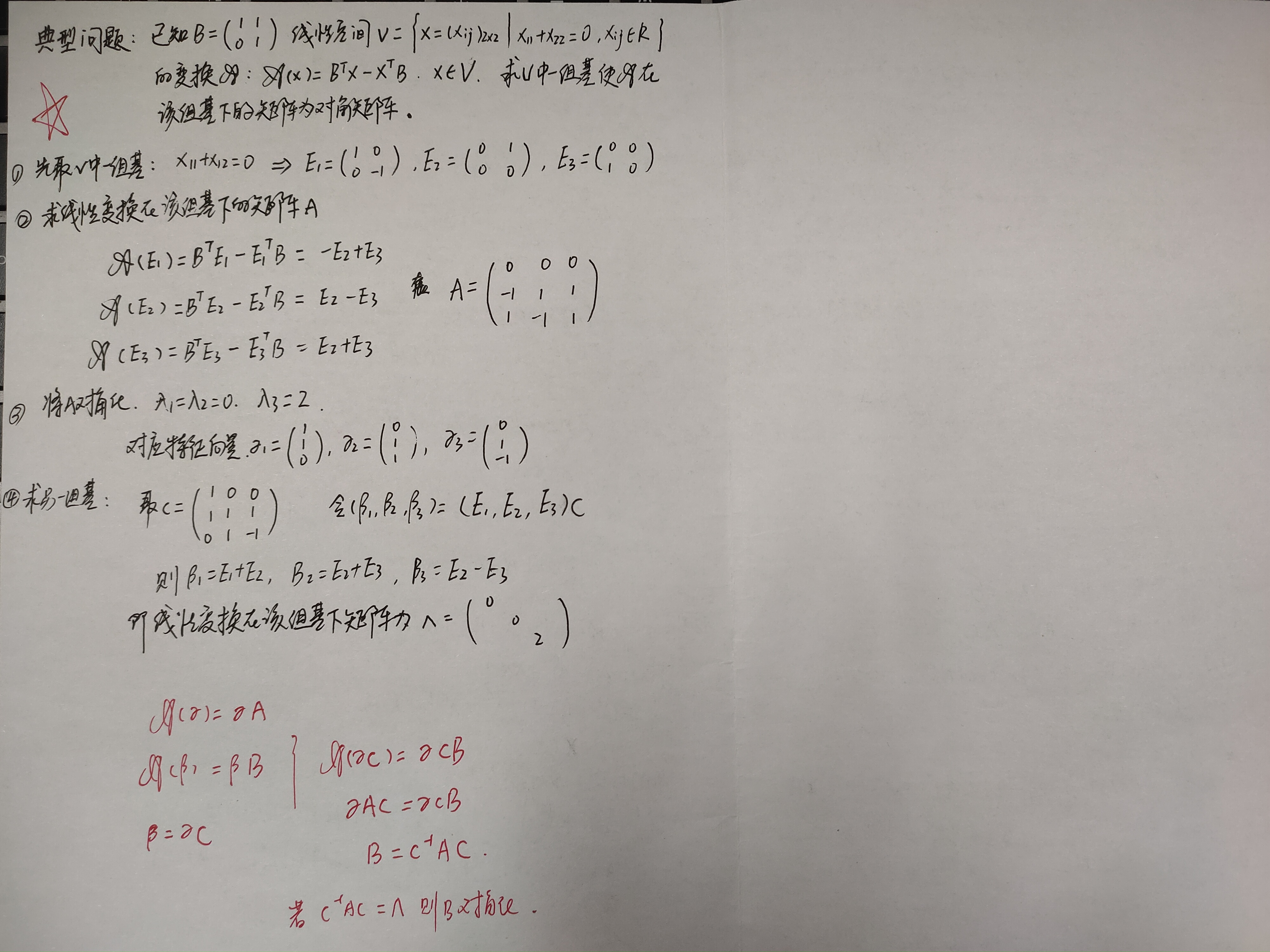
典型问题之求某组基下的矩阵为对角矩阵

典型问题之内积空间的度量矩阵

典型问题之求矩阵的jordan标准形

典型问题之正交变换(Givens初等旋转变换和Household镜像变换)

典型问题之正交分解的三种求法(Schmidt、Givens、Household)和LDU分解

典型问题之最大秩分解及范数

典型问题之矩阵的敛散性和非亏损矩阵函数的求解

典型问题之亏损矩阵函数的求解

典型问题之广义逆及其应用

版权声明:本文为Lee_JH2018原创文章,遵循CC 4.0 BY-SA版权协议,转载请附上原文出处链接和本声明。