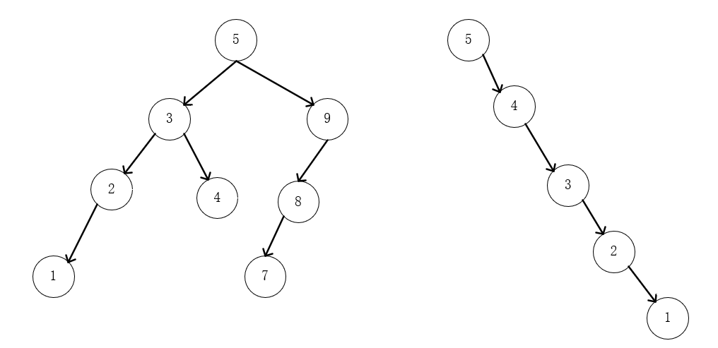
【数据结构】AVL树——平衡二叉排序树(C语言)AVL树——平衡二叉排序树性质调整操作AVL树-左旋AVL树右旋失衡类型LL/RRLR/RL代码演示性质当一棵普通的二叉排序树是右边这个样子,树–>链表那么二叉树的查找效率就由O(logn)退化成了O(n)右边的树是不平衡的,下面介绍一种平衡二叉排序树——AVL树版权声明:本文为moX980原创文章,遵循CC 4.0 BY-SA版权协议,转载请附上原文出处链接和本声明。原文链接:https://blog.csdn.net/moX980/article/details/107561605