多维随机变量及其分布




- 边缘分布函数:
F X ( x ) = P { X ≤ x } = P { X ≤ x , Y < ∞ } = F ( x , ∞ ) F Y ( y ) = F ( ∞ , y ) F_X(x)=P\{X\leq x\}=P\{X\leq x,Y<\infty\}=F(x,\infty)\\[2ex] F_Y(y)=F(\infty,y)FX(x)=P{X≤x}=P{X≤x,Y<∞}=F(x,∞)FY(y)=F(∞,y) - 边缘概率密度:
f X ( x ) = ∫ − ∞ ∞ f ( x , y ) d y f Y ( y ) = ∫ − ∞ ∞ f ( x , y ) d x f_X(x)=\int_{-\infty}^\infty f(x,y)dy\\[2ex] f_Y(y)=\int_{-\infty}^\infty f(x,y)dxfX(x)=∫−∞∞f(x,y)dyfY(y)=∫−∞∞f(x,y)dx
条件分布

- 条件概率密度:

- 条件分布函数:

- 均匀分布:

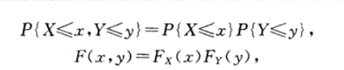
- 相互独立:

称随机变量X和Y相互独立.


=h(z,y)
两个随机变量的函数的分布
设f ( x , y ) , z = g ( x , y ) , x = h ( y , z ) f(x,y),z=g(x,y),x=h(y,z)f(x,y),z=g(x,y),x=h(y,z)
f Z ( z ) = ∫ − ∞ ∞ f ( h ( y , z ) , y ) ∣ ∂ h ( y , z ) ∂ z ∣ d y f_Z(z)=\int_{-\infty}^\infty f(h(y,z),y)|\frac{\partial h(y,z)}{\partial z}|dyfZ(z)=∫−∞∞f(h(y,z),y)∣∂z∂h(y,z)∣dyZ=X+Y

Z=Y/X, Z = XY:

M = max{X,Y}, N = min{X,Y}

设X,Y为相互独立的变量, 他们都服从正态分布N ( 0 , σ 2 ) N(0,σ^2)N(0,σ2),则Z = X 2 + Y 2 Z=\sqrt{X^2+Y^2}Z=X2+Y2的概率密度为
f z ( z ) = { z σ 2 e − z 2 / ( 2 σ 2 ) , z ≥ 0 0 , 其 他 f_z(z)=\begin{cases}\frac{z}{\sigma^2}e^{-z^2/(2\sigma^2)},z\geq0\\ 0,其他\end{cases}fz(z)={σ2ze−z2/(2σ2),z≥00,其他
版权声明:本文为weixin_45883559原创文章,遵循CC 4.0 BY-SA版权协议,转载请附上原文出处链接和本声明。