[6] 胡腾. 基于小波和倒谱系数的音频数字水印技术研究[D]. 北京邮电大学, 2014.
基于小波和倒谱系数的盲水印算法 [6]
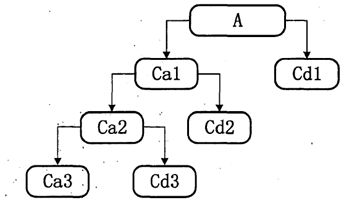
采用三级db4小波变换:

对比各层两个分量的波形,可以看到Ca3保存了大部分音频信号的特征信息

进行小波变换之后,提取Ca3用于做倒谱变换&
版权声明:本文为qq_24502469原创文章,遵循CC 4.0 BY-SA版权协议,转载请附上原文出处链接和本声明。
采用三级db4小波变换:

对比各层两个分量的波形,可以看到Ca3保存了大部分音频信号的特征信息

进行小波变换之后,提取Ca3用于做倒谱变换&