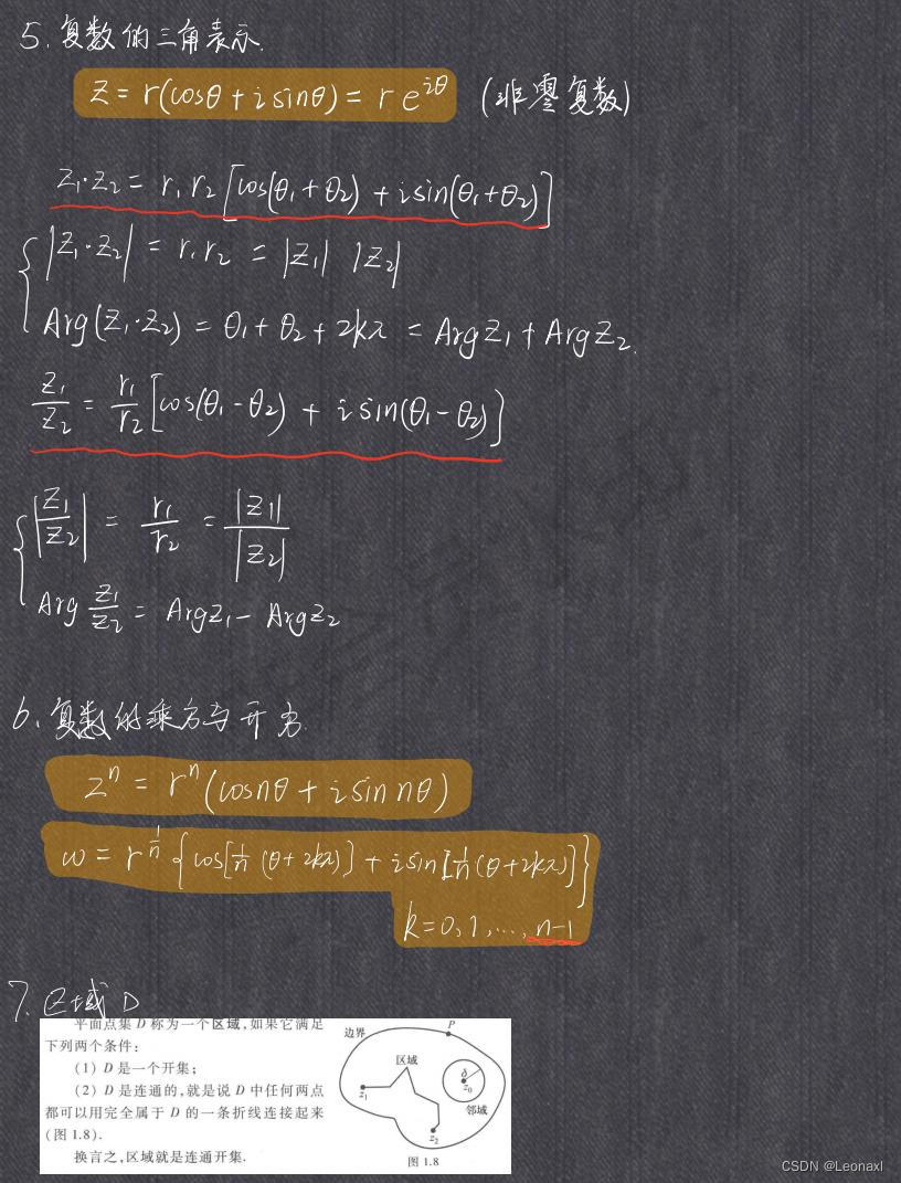
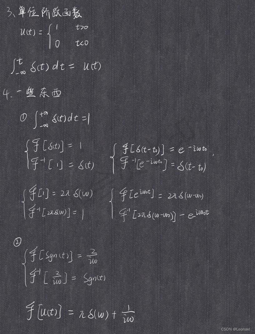
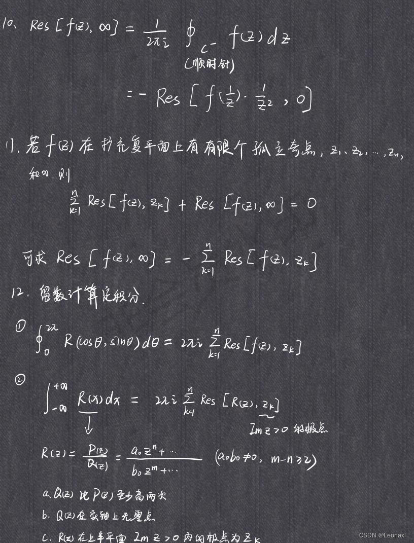
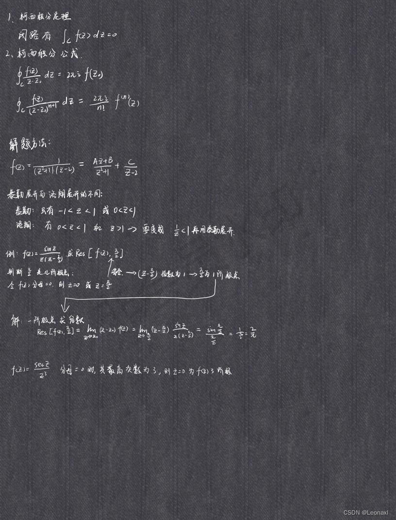
复变函数部分知识点整理自己上课的时候有总结归纳的习惯,笔记主要是向应试方向倾斜的,按着自己学校的考试重点做的,并不是面面俱到。教材是华中科技大 李红 谢松法主编的《复变函数与积分变换》版权声明:本文为qq_53223504原创文章,遵循CC 4.0 BY-SA版权协议,转载请附上原文出处链接和本声明。原文链接:https://blog.csdn.net/qq_53223504/article/details/126771080