原理
PDlib是基于现代C++的通用多平台框架,在机器学习和图像处理领域提供了一系列相关功能
它在人脸检测中,将人脸视为可分的68个数据点,部分人脸数据可根据这些数据点进行检测
Tereza Soukupová于2016年发表的一篇名为Eye blink detection using facial landmarks的文章中
基于实际数据集使用面部关键点检测器作为输入,提出了简单有效的眨眼检测眨眼算法
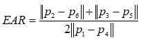
通过定位眼睛和眼睑的轮廓得出眼睛的长宽比(Eye Aspect Ratio,EAR),用于估计睁眼状态
将访问到的左眼数据[43,48]进行编号
分别对应[p1,p6]得出公式:
在睁眼状态时EAR通常保持恒定,而闭眼时EAR趋近于零
右眼进行同理计算后,通过左右眼同步,将得到的左右眼两个EAR进行平均后得出最终结果
实验
阈值是判断睁闭眼的关键,因此合适的阈值可以提高检测的准确度
我们使阈值从0到1变化,步长为0.05,在使用数据集测试后,得到了下图
测试结果显示设置0.2为阈值最合适,也可根据实际情况调整
源代码
本项目的源代码已完全公开
结语
欢迎热爱编程的小伙伴关注我的github博客
以及我的github仓库
里面有一些前端小技巧以及python算法设计跟大家一起分享
我们一起每天进步一点点!
版权声明:本文为weixin_43125306原创文章,遵循CC 4.0 BY-SA版权协议,转载请附上原文出处链接和本声明。