最近在看地理建模题目,其中提到了建立回归模型后计算相关系数;当时有点疑问,这个相关系数是从原始数据算出,还是用回归后的拟合数据计算。
后来想了想应该是原始数据计算的,用回归方程算出的x,y肯定在一条直线上,相关系数直接就是1了。虽然想法有些耿直,但是为了验证一下,同时也顺路写写代码,于是使用Python计算相关系数。
提前将数据整理为csv格式了,四列分别为ID、原始y、原始x、和拟合y。
原始x和y的散点图显示x与y呈现线性相关关系。因此可以建立线性回归模型。
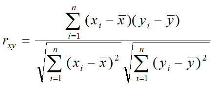
这是相关系数计算公式。据此计算相关关系。
根据公式写出计算代码:
import pandas as pd
from numpy import mean
#相关系数计算公式
def R_Square(x,y):
p1=x2=y2=0.0
#计算平均值
x_=mean(x)
y_=mean(y)
#循环读取每个值,计算对应值的累和
for i in range(len(x)):
p1+=(x[i]-x_)*(y[i]-y_)
x2+=(x[i]-x_)**2
y2+=(y[i]-y_)**2
#print(p1,x2,y2)
#计算相关系数
r=p1/((x2** 0.5)*(y2** 0.5))
return r
#读取数据
df=pd.read_csv("data.csv",encoding='utf-8')
x=df['x'].tolist()
y=df['y'].tolist()
#调用并输出相关系数
print(R_Square(x,y))
上面为拟合值与x的相关系数,下面为原始x、y的相关系数。结果与设想的一样。
新开通了本人的公众号,欢迎关注:燕南路GISer ,专注GIS干货分享,不定期更新。
主要兴趣:GIS、时空数据挖掘、python、机器学习深度学习
CSDN的部分内容会重写再搬迁到公众号,欢迎关注!
版权声明:本文为xza13155原创文章,遵循CC 4.0 BY-SA版权协议,转载请附上原文出处链接和本声明。