im2col
首先,我们来看一种快速的卷积方法:im2col
顾名思义,就是把image转换成col,方便矩阵相乘;
如上图所示,把待卷积的卷积核展开成行向量,把待卷积的图像块展开成列向量,二者相乘即可得到卷积后的结果.
例如,如果大小为[227x227x3]步幅4和填充0的输入与11x11x3滤波器进行卷积,那么我们将在输入中采样[11x11x3]像素块并将每个像素块拉伸为大小 11 * 11 * 3 = 363的列向量。
对于具有步幅4和填充0的大小为227的输入,沿宽度和高度会有((227-11)/ 4)+1 = 55个结果位置,得到尺寸为[363×3025]的输出矩阵X_col。这里的每列都是伸展的感受野,总共有55 * 55 = 3025个。
CONV层的权重以类似的方式伸展成行。例如,如果有96个大小为[11x11x3]的过滤器,则会得到一个大小为[96 x 363]的矩阵W_row(11x11x3 = 363)。
在转换图像和内核之后,卷积可以实现为简单的矩阵乘法,在我们的例子中,W_col [96 x 363]乘以X_col [363 x 3025]得到的矩阵[96 x 3025],最后reshape为[55x55x96]。
2.Winograd算法
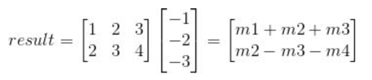
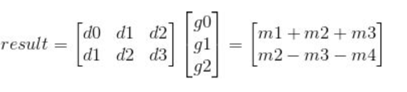
假设我们有输入图像f大小为4和 过滤器大小为3。
然后,使用上面介绍的im2col函数将输入图像转换为:
那么,Winograd怎样才能进一步提高速度呢?它舍弃使用点积,而是使用下面的公式计算结果矩阵。
也就是:
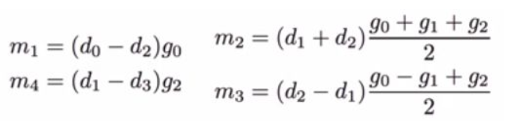
重点开来了!!!下面进行拆解:
关于g的参数计算是可以提前计算的,
这里经过拆解过后,m1+m2+m3=d0g0+d1g1+d2g2
m2-m3-m4=d1g0+d2g1+d3g2
但是比起im2col用了6次乘法,这里只用了4次乘法,乘法次数减少了1.5倍
这样我们就可以得到m1,m2,m3,m4的值。然后用它们来计算卷积而无需计算矩阵的点积。明显,经过这样的变换后,在每个卷积运算时不需要多次计算(g0 + g1 + g2)/ 2和(g0-g1 + g2)/ 2的值,因为滤波器的值是一样的。我们可以在训练网络期间在卷积之前计算一次,并且可以在推理期间预先计算保存。
使用这个算法,我们需要 4次 ADD和4次 MUL操作计算m1,m2,m3,m4,然后基于计算好的m1,m2,m3,m4的值,使用4 个ADD操作得到结果。而在进行普通的点积时,我们将进行6次MUL操作而不是4次。明显Winograd可以将计算成本高昂的MUL操作减少1.5倍,这对速度的提高是非常重要的。
在上面的例子中,我使用了F(4,3),即f(4)和g(3),它需要2次卷积。最小1D算法 F(m,r)与其自身嵌套以获得最小2D算法F(mxm,rxr)。如果我们尝试使用f(4,4)和g(3,3),这需要4次卷积,Winograd算法使用4 * 4 = 16个MUL,对比普通的卷积使用2 * 2 * 9 = 36个MUL,这样可以将MUL减少2.25倍。
参考文章:https://zhuanlan.zhihu.com/p/74567600