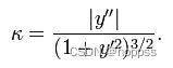
1. 连续曲线计算
利用一阶导和二阶导,求曲率 (不适用与离散点)

2. 离散点最小二乘拟合圆
3. 三个离散点求外接圆, 海伦-秦九韶公式
核心公式: 海伦公式 + 面积公式
a*b*c = 4 * R * S
方法一:海伦-秦九韶公式
三边是a,b,c
令p=(a+b+c)/2
则S=√[p(p-a)(p-b)(p-c)]
方法二:海伦公式
s=√[p﹙p-a)(p-b)(p-c)]
p=½(a+b+c)
推导如下:
这是海伦公式
假设有一个三角形,边长分别为a、b、c,三角形的面积S可由以下公式求得:
S=√[p(p-a)(p-b)(p-c)]
而公式里的p为半周长:
p=(a+b+c)/2
设三角形的三边a、b、c的对角分别为A、B、C,则余弦定理为
cosC = (a^2+b^2-c^2)/2ab
S=1/2*ab*sinC
=1/2*ab*√(1-cos^2 C)
=1/2*ab*√[1-(a^2+b^2-c^2)^2/4a^2*b^2]
=1/4*√[4a^2*b^2-(a^2+b^2-c^2)^2]
=1/4*√[(2ab+a^2+b^2-c^2)(2ab-a^2-b^2+c^2)]
=1/4*√[(a+b)^2-c^2][c^2-(a-b)^2]
=1/4*√[(a+b+c)(a+b-c)(a-b+c)(-a+b+c)]
设p=(a+b+c)/2
则p=(a+b+c)/2, p-a=(-a+b+c)/2, p-b=(a-b+c)/2,p-c=(a+b-c)/2,
上式=√[(a+b+c)(a+b-c)(a-b+c)(-a+b+c)/16]
=√[p(p-a)(p-b)(p-c)]
所以,三角形ABC面积S=√[p(p-a)(p-b)(p-c)]
版权声明:本文为qq_35508344原创文章,遵循CC 4.0 BY-SA版权协议,转载请附上原文出处链接和本声明。