1. 离散傅里叶级数
1.1 连续傅里叶级数
在连续时间傅里叶级数当中,可以将连续的信号,进行傅里叶展开,也就是用一组正交的复指数来表示这个信号。连续的周期信号的频谱,在频域当中是离散的。
1.2 离散时间傅里叶级数DFS
离散时间序列,可以看作是有连续时间信号抽样得到,由抽样定理可以知道,时域相乘对应的频域卷积。于是可以知道,离散的傅里叶级数,就是将连续的傅里叶级数的频谱进行搬移。
离散时间傅里叶级数。
1.3 离散的复指数信号
离散复指数信号也可以看作是一个在单位圆上旋转的旋转矢量。只不过其旋转的角度是固定的。
其中N可以看作是周期,其角速度是2π/N,当K越大时,角速度越小,在一圈当中的点就越多。
由此可以得到离散时间傅里叶级数的表达式如下:可以将其看作是一个离散的序列,在一个离散的复指数函数集上的投影。而该信号,就可以以由这个离散的复指数函数集来表示。
2. 离散时间傅里叶变换
2.1 非周期信号的傅里叶变换

2.2 离散信号的傅里叶变换DTFT
一个离散的信号,可以看作是由连续的信号抽样,得到,根据抽样定理,很容易就得到离散的信号的傅里叶变换。
具体的推导过程如下:当N趋近于无穷的时候,可以频谱之间的间隔就很小,频谱也就变得连续。

3. 离散傅里叶变换DFT
在FPGA等数字器件进行数字处理的时候,只能处理数据有限的数据,因此前面介绍的傅里叶级数和傅里叶变换呢,都需要对无穷数据进行处理。为了便于这些设备能够来处理傅里叶变换,就需要对前面的几种傅里叶级数和变换,进一步处理。
3.1 DFT 由来
对一有限长的离散序列 ,将其进行周期的 延拓 。
由于其延拓得到的 序列 是 离散 的,所以其 频谱 是 周期的。
又因为其延拓得到的 序列是 周期 的,所以其 频谱 是 离散 的。
那么对于这个离散的周期序列,取其中一个周期的离散点,就必然对应着频谱上的一个周期内的离散的点。

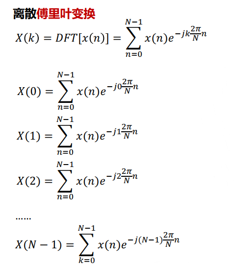
3.2 理解离散傅里叶变换
离散傅里叶变换的公司如下:可以对其中的每一个傅里变换的分开来看,对于频域当中的第0个点的离散傅里叶变换,可以把其看作是,该离散的序列,在一些列离散的复指数信号上的投影。
对于离散的傅里叶逆变换IDFT,也就是可以把其看作是,由一些离散的复指数信号进行线性叠加得到的。




参考: