爬楼梯
假设你正在爬楼梯。需要 n 阶你才能到达楼顶。
每次你可以爬 1 或 2 个台阶。你有多少种不同的方法可以爬到楼顶呢?
注意:给定 n 是一个正整数。
示例 1:
输入: 2
输出: 2
解释: 有两种方法可以爬到楼顶。
1. 1 阶 + 1 阶
2. 2 阶
示例2:
输入: 3
输出: 3
解释: 有三种方法可以爬到楼顶。
1. 1 阶 + 1 阶 + 1 阶
2. 1 阶 + 2 阶
3. 2 阶 + 1 阶
解法1:直接递归
class Solution {
public:
int climbStairs(int n) {
vector<int> demo(n+1,-1);
return climb_stairs(0,n,demo);
}
int climb_stairs(int i,int n,vector<int> &demo)
{
if(i>n) return 0;
if(i==n) return 1;
if(demo[i]>0) return demo[i];
demo[i]=climb_stairs(i+1,n,demo)+climb_stairs(i+2,n,demo);
return demo[i];
}
};
这种方法计算出现了冗余所以计算速度慢。
解法2:记忆优化
class Solution {
public:
int climbStairs(int n) {
vector<int> demo(n+1,-1);
return climb_stairs(0,n,demo);
}
int climb_stairs(int i,int n, vector<int> &demo)
{
if(i>n) return 0;
if(i==n) return 1;
if(demo[i]>0) return demo[i];
demo[i]=climb_stairs(i+1,n,demo)+climb_stairs(i+2,n,demo);
return demo[i];
}
};
我们可以把每一步的结果存储在 demo 数组之中,每当函数再次被调用,我们就直接从 demo 数组返回结果。
解法3:动态规划
不难发现,这个问题可以被分解为一些包含最优子结构的子问题,即它的最优解可以从其子问题的最优解来有效地构建,我们可以使用动态规划来解决这一问题。
第 i 阶可以由以下两种方法得到:
在第 (i−1)阶后向上爬一阶。
在第 (i−2) 阶后向上爬 2 阶。
所以到达第 iii 阶的方法总数就是到第 (i−1)阶和第 (i−2) 阶的方法数之和。
令 dp[i] 表示能到达第 i 阶的方法总数:
dp[i]=dp[i−1]+dp[i−2]
dp[i]=dp[i-1]+dp[i-2]
dp[i]=dp[i−1]+dp[i−2]
class Solution {
public:
int climbStairs(int n) {
if(n==1) return 1;
vector<int> s(n+1,-1);
s[1]=1;
s[2]=2;
for(int i=3;i<=n;i++)
{
s[i]=s[i-1]+s[i-2];
}
return s[n];
}
};
解法4:斐波那契数
在上述方法中,我们使用 dp 数组,其中 dp[i]=dp[i−1]+dp[i−2]。可以很容易通过分析得出 dp[i] 其实就是第 i个斐波那契数。
Fib(n)=Fib(n−1)+Fib(n−2)
Fib(n)=Fib(n-1)+Fib(n-2)
Fib(n)=Fib(n−1)+Fib(n−2)
现在我们必须找出以 1 和 2 作为第一项和第二项的斐波那契数列中的第 n 个数,也就是说 Fib(1)=1 且 Fib(2)=2。
class Solution {
public:
int climbStairs(int n) {
if(n==1) return 1;
int first=1;
int second=2;
for(int i=3;i<=n;i++)
{
int third=first+second;
first=second;
second=third;
}
return second;
}
};
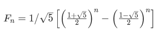
解法5:斐波那契公式

我们可以使用这个公式找到斐波那契数
class Solution {
public:
int climbStairs(int n) {
double sqrt5=sqrt(5);
double fibn=pow((1+sqrt5)/2,n+1)-pow((1-sqrt5)/2,n+1);
return (int)(fibn/sqrt5);
}
};
觉得本文对你有帮助,点个赞噢谢谢
版权声明:本文为weixin_39139505原创文章,遵循CC 4.0 BY-SA版权协议,转载请附上原文出处链接和本声明。