目 录
自从计算机发展开始,计算机相关技术的发展速度越来越快,在信息化高速发展的今天,计算机应用技术似乎已经应用到了各个领域。在校园二手交易方面,之前的交易方式都是到二手市场就行处理,浪费掉了很多资源,比如所大四毕业以后一些对自己来说不需要的二手自行车或者电子产品,大家很多时候都把他当做了废品进行处理,或者要搬运到二手市场进行买卖,用户的体验度就会急剧下降,很多校园也开始开发校园二手信息网站,这样的系统给用户带来了新的体验,尤其是在时间和空间上,让使用者不管身在何处,只要连上网就能够进行交易。此校园二手信息网站的开发项目以PHP技术进行开发,使用MySQL数据库,对本校园二手信息网站的各个功能以及用户的需求做出了解释,然后根据用户二手买卖的需求,再介绍了系统的总体设计以及其详细设计,给用户提供了校园二手信息网站的总体结构的搭建方法。从而满足用户自主交易的需求。
关键词:PHP技术;MYSQL;校园二手信息网站
Abstract
Since the beginning of computer development, computer-related technologies have developed faster and faster. Today, with the rapid development of information technology, computer application technology seems to have been applied to various fields. In terms of second-hand transactions on campus, the previous transaction method was to deal with the second-hand market, which wastes a lot of resources. For example, after graduating from the college, some second-hand bicycles or electronic products that are not needed for them are often used by everyone. When the waste products are disposed of or transported to the second-hand market for trading, the user's experience will drop sharply. Many campuses have also begun to develop campus second-hand information websites. Such a system brings new experiences to users, especially in time In terms of space and space, users can conduct transactions no matter where they are, as long as they are connected to the Internet. The development project of this campus second-hand information website is developed with PHP technology and uses MySQL database to explain the functions of the campus second-hand information website and the needs of users, and then introduce the overall design of the system according to the needs of users for second-hand buying and selling. As well as its detailed design, it provides users with the construction method of the overall structure of the campus second-hand information website. So as to meet the needs of users' autonomous transactions.
Keywords: PHP technology; MYSQL; campus second-hand information website
1绪论
1.1 研究背景
现下大多数行业都在逐步的将电商都信息化带入到自己企业中,其中主要是以电商服务为主导的互联网平台。像目前如果主要致力于校园的二手交易,就要紧紧围绕校园二手来展开。通过互联网平台的赋能,能够给二手市场提供智能化的服务,在为用户提供实质性便利的同时,提高校园资源的利用效率。所以校园二手信息网站更加符合时下校园用户的需求,更加能适应二手行业目前的竞争压力[1]。该校园二手信息网站以“互联网+”C2C服务为模式,在为用户提供在线自主选择二手商品的同时,可以帮助卖家实现二手的利用率,同样也可以为二手行业的智能化发展做出努力。
在国外的校园二手交易方面,发展最快的属美国,日本在战后也引进了美国的经验,在校园二手经营方面有了长足的发展,随后推广至欧洲,慢慢全世界都在使用校园二手信息网了。而在国内,最开始使用二手交易的平台应该是五八同城,但是五八上面的各种信息太多,不管是校园二手,其他二手也可以上传,而且不能够线上交易,随后各种二手交易平台也主键罚站起来,比如咸鱼、瓜子,二手交易平台以其的优势,节省了时间和人力,二手行业现如今也越来越利用信息化技术来提高服务效率和质量。
校园二手信息网站不仅可以提高产品的使用率,也可以减轻使用者以及服务人员的工作量,便于用户通过网络维护管理,提高了服务效率,同时也有效减少了因为人工疏漏而会产生的错误,提高了用户体验和服务质量。
本校园二手信息网站一共分为六个章节进行介绍,章节内容安排如下:
第一章:引言。第一章主要介绍了校园二手信息网站课题研究的背景,校园二手信息网站的现状和本文的研究内容与主要工作。
第二章:系统需求分析。第二章主要从系统的用户、功能等方面进行需求分析。
第三章:系统设计。第三章主要对系统框架、系统功能模块、数据库进行功能设计。
第四章:系统实现。第四章主要介绍了系统框架搭建、系统界面的实现。
第五章:系统测试。第五章主要对系统的部分界面进行测试并对主要功能进行测试
2 校园二手信息网站系统分析
2.1 可行性分析
在分析了校园二手信息网站的真实需求后,将校园二手信息网站所需要的角色划分整理成了下图2-1和图2-2。
从开发工具来看,由于校园二手信息网站是基于PHP技术的,因此当前市面上的开发工具都可以来开发,这些功能强大的开发工具可以给我来设计毕设带来非常大的方便。
从校园二手信息网站的本身技术来说,对于我来开发一个校园二手信息网站这个毕设是不费事的。校园二手信息网站的开发可以简单的分为前台模块、后台模块开发以及数据库开发。其中的大部分技术难点在我上学时已经使用过了,同时网络上很多技术点可以让我来借鉴。Web后台管理使用PHP、HTML等技术,数据库使用mysql,因此为我在开发校园二手信息网站这个毕设上省去了很多多余代码,这给我的毕设项目编写带来了极大的便利。
从用户体验来看,市面上很多被广泛使用的例如咸鱼等电商案例可以让我来参考,因此我可以综合咸鱼上的页面交互设计的优点,基于我的毕设项目特点来进行改版,最后达到令用户满意的页面交互体验。综上所述,从技术层面来看开发校园二手信息网站是可行的。
从校园二手信息网站的开发成本来看,校园二手信息网站的设计和开发都是我自己完成的,没有其他成本上的开销。
从校园二手信息网站的维护成本来看,校园二手信息网站的开发遵循一套完整的代码编写规范,并且校园二手信息网站的结构设计非常灵活,遵循高内聚低耦合的原则,因此易于维护和迭代开发。
在校园二手信息网站上线之后,上线前期我会根据真实需求来调查,对使用我开发的校园二手信息网站来制定一套符合的使用费。系统运行稳定后我会将推广范围到其他二手行业的中,他们可以自己来注册使用我的校园二手信息网站,只需要缴纳一点点的定金,我会给他们引入广告投资和自营业务。
综合以上的分析,校园二手信息网站所带来的经济效益将会带来极大的收益。并且随着我的推广,来使用我开发的校园二手信息网站的市场将越来越大,校园二手信息网站带来的利润也就越来越多。因此,从经济层面来看开发校园二手信息网站的是可行的。
本次开发的校园二手信息网站是比较简单的,只要会上网的用户就可以使用,进入系统以后,可以根据提示进行对应的操作,不管是系统的操作设计黑石系统的逻辑设计都相对简单,比如说用户想要购买某一个二手产品的时候,首先是要了解二手产品的各种参数,在了解的过程中,我们在这个页面中设置了购买操作,方便用户购买,所以说在用户使用方面看来是比较容易操作的;再来看管理者管理部分,我们对系统价格的设置,各种参数的设置都是固定的,操作者只要进入后就能够实现增删改查,非常方便,综合来说,系统在操作上是可行的。
2.2.1 数据流程
校园二手信息网站主要的目的就是实现对二手商品的在线选购,图2-1就是系统的数据流图。
图2-1商品购买操作展开图
3.3.2 业务流程
分析完系统的数据流,接下来我们来看系统的业务流程,图2-2就是业务流程图:
图2-2业务流程图
按照校园二手信息网站的角色,我划分为了用户管理模块、卖家管理模块和管理员管理模块这三大部分。
用户管理模块:
(1)用户注册登录:用户注册为会员并登录校园二手信息网站;用户对个人信息的增删改查,比如个人资料,密码修改。
(2)用户查看商品:用户进行商品信息的阅览,通过发现喜欢的商品后可以购买+评论+收藏。
(3)校园资讯:用户进行资讯的阅览,查看管理者发布的校园资讯信息。
(4)留言板:用户在留言板这一菜单下对用户提交的查看、同时也可以发布、评论。
(5)商品购买:用户对喜欢的商品可以加购,在购物车里面,当用户确定提交完毕后,将其提交给服务器后台系统,并生成订单。
(6)我的订单:用户在提交订单后,可以对提交的订单进行管理。
卖家管理模块:
(1)我的留言:卖家对用户提交的留言回复、删除。
(2)商城管理:管理员可以对校园二手信息网站中现有的商品进行增删改查。
(3)订单列表:查看购买的我的商品订单,对提交的订单进行管理。
管理员管理模块:
(1)用户管理:管理员可以对前台上注册过的用户信息进行管控,也可以对管理员信息进行管控。
(2)校园资讯管理:管理员在后台可以对校园二手信息网站中显示的校园资讯信息进行增删改查。
(3)留言管理:管理员可以对校园二手信息网站中用户提交的留言以及留言的分类进行增删改查。
(4)分类管理:管理员对校园二手信息网站中商品的分类进行管控。
(5)商城管理:管理员对卖家提交的商品订单进行管控。
(6)系统管理:管理员可以对校园二手信息网站中首页显示的轮播图以及系统中的一些公告发布到系统当中,让用户及时的查看到系统信息,进行合理安排。
校园二手信息网站的非功能性需求比如校园二手信息网站的安全性怎么样,可靠性怎么样,性能怎么样,可拓展性怎么样等。具体可以表示在如下3-1表格中:
表3-1校园二手信息网站非功能需求表
安全性 | 主要指校园二手信息网站数据库的安装,数据库的使用和密码的设定必须合乎规范。 |
可靠性 | 可靠性是指校园二手信息网站能够安装用户的指示进行操作,经过测试,可靠性90%以上。 |
性能 | 性能是影响校园二手信息网站占据市场的必要条件,所以性能最好要佳才好。 |
可扩展性 | 比如数据库预留多个属性,比如接口的使用等确保了系统的非功能性需求。 |
易用性 | 用户只要跟着校园二手信息网站的页面展示内容进行操作,就可以了。 |
可维护性 | 校园二手信息网站开发的可维护性是非常重要的,经过测试,可维护性没有问题 |
2.4 系统用例分析
通过2.3功能的分析,得出了本校园二手信息网站的用例图:
用户角色用例如图2-3所示。

图2-3 校园二手信息网站用户角色用例图
卖家角色用例如图2-4所示。

图2-4 校园二手信息网站卖家角色用例图
web后台管理上的管理员是维护整个校园二手信息网站中所有数据信息的。管理员角色用例如图2-5所示。

本章主要通过对校园二手信息网站的可行性分析、流程分析、功能需求分析、系统用例分析,确定整个校园二手信息网站要实现的功能。同时也为校园二手信息网站的代码实现和测试提供了标准。
本章主要讨论的内容包括校园二手信息网站的功能模块设计、数据库系统设计。
3.1 系统功能模块设计
在上一章节中主要对系统的功能性需求和非功能性需求进行分析,并且根据需求分析了本校园二手信息网站中的用例。那么接下来就要开始对本校园二手信息网站的架构、主要功能和数据库开始进行设计。校园二手信息网站根据前面章节的需求分析得出,其总体设计模块图如图3-1所示。

图3-1 校园二手信息网站功能模块图
3.1.2用户模块设计
后台管理者能够实现对前台注册的用户增删改查操作,用户模块结构图如下图:
图3-2会员用户模块结构图
3.1.3 留言管理模块设计
校园二手信息网站是一个交流性质的公开平台,会员用户可以在平台上交流,增加用户之间的互动性。但是同时也为了更好的规范留言的内容,给予管理员删除不合适的言论的功能,所以需要专门设计一个留言管理模块,具体的结构图如下:
图3-3评论模块结构图
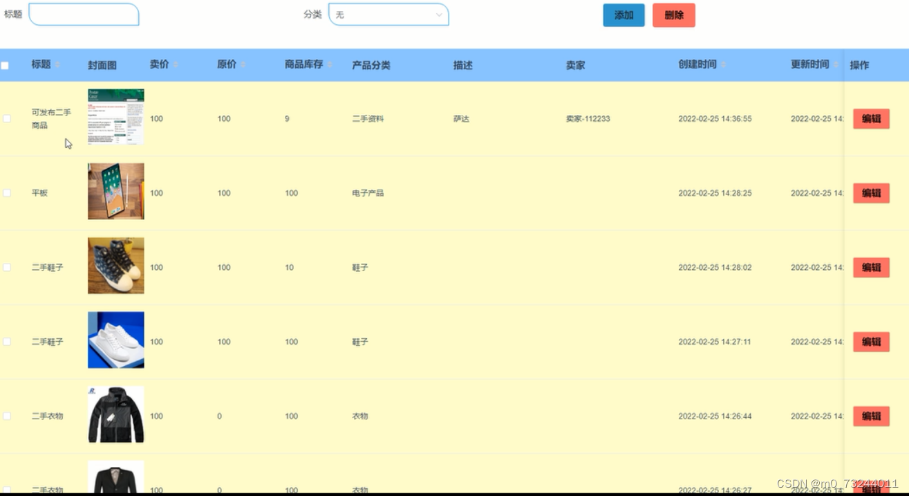
3.1.4商城管理模块设计
校园二手信息网站是中需要存储不少商品信息,其模块功能结构,具体的结构图如下:

图3-4商城模块结构图
3.1.5订单管理模块设计
校园二手信息网站最重要的一个功能就是购买,其模块功能结构,具体的结构图如下:

图3-5订单模块结构图
数据库设计一般包括需求分析、概念模型设计、数据库表建立三大过程,其中需求分析前面章节已经阐述,概念模型设计有概念模型和逻辑结构设计两部分。
3.2.1 数据库概念结构设计
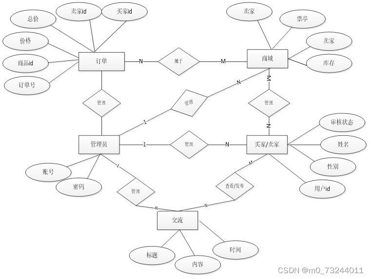
下面是整个校园二手信息网站中主要的数据库表总E-R实体关系图。
图3-6 校园二手信息网站总E-R关系图
下面根据校园二手信息网站的数据库总E-R关系图可以得出校园二手信息网站需要很多E-R图,在此罗列出来一些主要的数据库E-R模型图。

图3-7买家信息E-R关系图

图3-8 留言信息E-R关系图

图3-9 商城管理信息E-R关系图

图3-10 订单信息E-R关系图

图3-11 地址信息E-R关系图

图3-12 校园资讯E-R关系图
通过上一小节中校园二手信息网站中总E-R关系图上得出一共需要创建很多个数据表。在此我主要罗列几个主要的数据库表结构设计。
(1)buyers表如表3-1所示包含了买家id+姓名+性别+审核状态等,主要用在前台用户来登录校园二手信息网站时进行使用。
表3-1 buyers买家信息表
列名 | 数据类型 | 长度 | 允许空 | 说明 |
buyers_id | int | 11 | 否 | 买家id |
full_name | varchar | 64 | 是 | 姓名 |
gender | varchar | 64 | 是 | 性别 |
examine_state | varchar | 16 | 是 | 审核状态 |
recommend | int | 11 | 是 | 智能推荐 |
user_id | int | 11 | 是 | 用户id |
create_time | datetime | 是 | 创建时间 | |
update_time | longtext | 是 | 更新时间 |
(2)forum表如表3-2所示包含了主键+用户id+昵称+封面图+正文+标题+赞数+论坛分类等,主要用在用户交流时进行使用。
表3-2 forum留言信息表
列名 | 数据类型 | 长度 | 允许空 | 说明 |
forum_id | mediumint | 8 | 否 | 留言id |
display | Smallint | 5 | 是 | 排序 |
user_id | mediumint | 8 | 是 | 用户id |
nickname | varchar | 10 | 是 | 昵称 |
praise_len | int | 10 | 是 | 点赞数 |
hits | int | 10 | 是 | 访问数 |
title | varchar | 125 | 是 | 标题 |
keywords | varchar | 125 | 是 | 关键词 |
description | varchar | 125 | 是 | 描述 |
url | varchar | 125 | 是 | 来源地址 |
tag | varchar | 255 | 是 | 标签 |
img | text | 16 | 是 | 封面图 |
content | longtext | 16 | 是 | 正文 |
avatar | Varcha | 255 | 是 | 发帖人头像 |
type | varchar | 是 | 论坛分类 | |
create_time | datetime | 是 | 创建时间 | |
update_time | longtext | 是 | 更新时间 |
(3)mall_management表如表3-3所示,主要在卖家中可以更好的调动商品的价格以及推荐的商品更换,在前端(买家)可以有效的查找商品、直观的看到商品外观和商品的属性等等。
表3-3 mall_management商城管理信息表
列名 | 数据类型 | 长度 | 允许空 | 说明 |
mall_management_id | int | 11 | 否 | 商城管理id |
seller | int | 11 | 是 | 卖家 |
cart_title | varchar | 125 | 是 | 标题 |
cart_img | text | 是 | 封面图 | |
cart_description | varchar | 255 | 是 | 描述 |
cart_price_ago | double | 是 | 原价 | |
cart_price | double | 是 | 卖价 | |
cart_inventory | int | 11 | 是 | 商品库存 |
cart_type | varchar | 64 | 是 | 商品分类 |
cart_content | longtext | 64 | 是 | 正文 |
cart_img_1 | text | 10 | 是 | 主图 |
recommend | int | 11 | 智能推荐 | |
create_time | datetime | 11 | 是 | 创建时间 |
update_time | timestamp | 是 | 更新时间 |
(4)order表如表3-4所示,主要订单信息由前端(买家)发出订单卖家和管理员执行管理而形成的,买家、卖家、管理员都可以在看到订单所有的信息。
表3-4 order订单信息表
列名 | 数据类型 | 长度 | 允许空 | 说明 |
order_id | int | 11 | 否 | 订单id |
order_number | varchar | 64 | 是 | 订单号 |
goods_id | varchar | 64 | 是 | 商品id |
title | varchar | 32 | 是 | 商品标题 |
img | varchar | 255 | 是 | 商品图片 |
price | double | 是 | 价格 | |
price_ago | double | 是 | 原价 | |
num | int | 11 | 是 | 数量 |
price_count | double | 是 | 总价 | |
norms | varchar | 255 | 是 | 规格 |
type | varchar | 64 | 是 | 分类 |
contact_name | varchar | 32 | 是 | 联系人姓名 |
contact_email | varchar | 125 | 是 | 联系人邮箱 |
contact_phone | varchar | 11 | 是 | 联系人手机 |
contact_address | varchar | 125 | 是 | 收货地址 |
postal_code | varchar | 11 | 是 | 邮政编码 |
user_id | varchar | 10 | 是 | 买家id |
merchant_id` | mediumint | 8 | 是 | 卖家id |
description | varchar | 255 | 是 | 描述 |
state | varchar | 16 | 是 | 状态 |
create_time | datetime | 是 | 创建时间 | |
update_time | timestamp | 是 | 更新时间 |
(5)address表如表3-5所示,主包含了收货地址id+姓名+手机+邮编+地址,主要用在用户对提交订单选择地址的时候进行使用。
表3-5 address收货地址信息表
列名 | 数据类型 | 长度 | 允许空 | 说明 |
address_id | int | 11 | 否 | 收货地址id |
name | varchar | 32 | 是 | 姓名 |
phone | varchar | 16 | 是 | 手机 |
postcode | varchar | 8 | 是 | 邮编 |
address | varchar | 255 | 是 | 地址 |
default | int | 11 | 是 | 默认判断 |
user_id | mediumint | 8 | 是 | 用户id |
create_time | datetime | 是 | 创建时间 | |
update_time | longtext | 是 | 更新时间 |
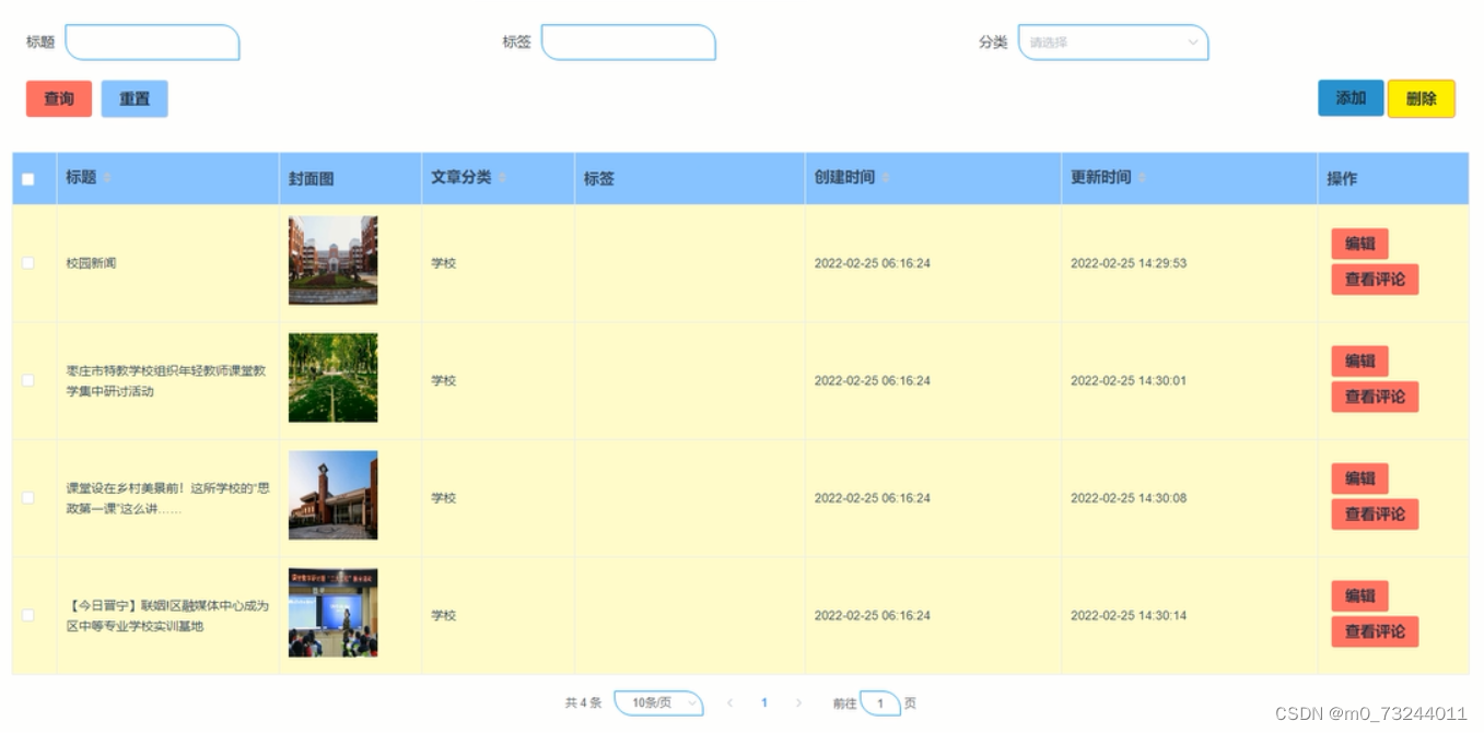
(6)article表如表3-6所示,主要在系统后台(管理员)中可以更好的管控新闻,在前端(买家)可以有效的查找新闻等。
表3-6 article校园资讯信息表
数据类型 | 长度 | 允许空 | 说明 | |
article_id | mediumint | 8 | 否 | 校园资讯id |
title | varchar | 125 | 是 | 标题 |
type | varchar | 64 | 是 | 分类 |
hits | int | 10 | 是 | 点击数 |
praise_len | int | 11 | 是 | 点赞数 |
create_time | datetime | 是 | 创建时间 | |
update_time | timestamp | 是 | 更新时间 | |
source | varchar | 255 | 是 | 来源 |
url | varchar | 255 | 是 | 来源地址 |
tag | varchar | 255 | 是 | 标签 |
content | longtext | 是 | 正文 | |
img | varchar | 255 | 是 | 封面图 |
description | text | 是 | 描述 |
整个校园二手信息网站的需求分析主要对系统总体架构以及功能模块的设计,通过建立E-R模型和数据库逻辑系统设计完成了数据库系统设计。
4 校园二手信息网站详细设计与实现
校园二手信息网站的详细设计与实现主要是根据前面的校园二手信息网站的需求分析和校园二手信息网站的总体设计来设计页面并实现业务逻辑。主要从校园二手信息网站界面实现、业务逻辑实现这两部分进行介绍。
4.1用户功能模块
4.1.1 前台首页界面
当进入校园二手信息网站的时候,首先映入眼帘的是系统的导航栏,下面是轮播图以及系统内容,其主界面展示如下图4-1所示。

图4-1 前台首页界面图
4.1.2 会员注册界面
普通的用户只支持对网站信的浏览,想要购买或者交流就必须登录到系统,如果你没有本校园二手信息网站的账号的话,添加“注册”根据提示输入好用户信息后,点击“注册”按钮后,系统会对输入的信息进行验证,验证输入的账户名和数据库表中已经注册的账户名是否重复,只有都验证没问题后即可会员注册成功。其用会员注册界面展示如下图4-2所示。
图4-2 前台会员注册界面图
4.1.3 会员登录界面
校园二手信息网站中的前台上注册后的会员是可以通过自己的账户名和密码进行登录的,当会员输入完整的自己的账户名和密码信息并点击“登录”按钮后,将会首先验证输入的有没有空数据,再次验证输入的账户名+密码和数据库中当前保存的用户信息是否一致,只有在一致后将会登录成功并自动跳转到校园二手信息网站的首页中;否则将会提示相应错误信息,用户登录界面如下图4-3所示。

图4-3会员登录界面图
4.1.4留言板界面
用户在点击导航栏上面的留言板后,就可以搜索查看留言信息,用户根据自己的喜好可以进行交流,留言板界面如下图4-4所示。

图4-4留言板界面图
4.1.5 收货地址界面
当用户点击“收货地址”右后,就回去显示出目前现有的地址,也可以添加新的地址,界面如下图4-5所示。

图4-5收货地址界面图
4.1.6 商品详情界面
当访客点击了任意商品后将会进入该款商品的详情界面,可以了解到该商品的图片信息、商品信息、价钱信息等,同时可以对该商品进行加购+立即购买+收藏+点赞+评论,商品详情展示页面如图4-6所示。

图4-6 商品详情界面图
4.1.7 我的订单界面
当用户点击“我的订单”链接后就进入自己购买的订单的界面展示,界面如下图4-7所示。

图4-7 我的订单界面图
卖家进入后台后点击“商城管理”,能够看到自己发布的二手信息,对二手商品进行管控。界面如下图4-8所示。

图4-8 商城管理界面图
卖家进入后台后点击“订单列表”,能够看到用户购买自己商品的时候提交的订单。界面如下图4-9所示。

图4-9 订单列表界面图
4.3管理员功能模块
4.3.1 用户管理界面
校园二手信息网站中的管理人员是可以对前台注册的买家和卖家进行管理的,也可以对管理员进行管控。界面如下图4-10所示。

图4-10用户管理界面图
校园二手信息网站中的管理人员是可以对前台用户发布的留言进行管控的,界面如下图4-11所示。

图4-11留言界面图
4.3.3 商城管理界面
校园二手信息网站中的管理人员是可以对校园二手信息网站内的卖家发布的商品进行维护和管理的,支持增删改查操作。界面如下图4-11所示。

图4-11商城管理界面图
校园二手信息网站中的管理人员是可以对校园二手信息网站内的资讯信息进行维护和管理的。校园资讯列表界面如下图4-12所示。

图4-12校园资讯列表界面图
5系统测试
系统的前台、后台、数据库完成以后,这个系统才算是完成了一半,我们在这之后要对系统进行最后的一个阶段,那就是测试了,测试对一个系统来说是非常重要的,有的时候开发完一个系统,如果测试不合格的话,这个系统是没有办法进行投入使用的,所有我们要用测试对系统的功能进行检验,把不完善的功能尽量完善,把出现的bug解决掉,然后给用户呈现出一个完美的系统。通过对系统最后一步的测试,使得开发人员对自己的系统更加有信心,更加积极的为后期的系统版本的更新提供支持。
系统测试包括:用户登录功能测试、商品展示功能测试、商品添加、商品搜索、密码修改功能测试,如表5-1、5-2、5-3、5-4、5-5所示:
表5-1 用户登录功能测试表
商品查看功能测试:
表5-2 商品查看功能测试表
管理员添加商品界面测试:
表5-3 管理员添加商品界面测试表
商品搜索功能测试:
表5-4商品搜索功能测试表
密码修改功能测试:
表5-5 密码修改功能测试表
通过编写校园二手信息网站的测试用例,已经检测完毕用户登录模块、商品查看模块、商品添加模块、商品搜索模块、密码修改功能测试,通过这5大模块为校园二手信息网站的后期推广运营提供了强力的技术支撑。
至此论文结束,感谢您的阅读。在此我要感谢我的导师,虽然我在实习期间很忙,论文撰写总是停停改改,但是导师依然十分负责,时不时的询问我的任务进展情况,跟进我的论文进度。虽然我在实习期间很忙,以至于很晚才开始进行论文撰写和编写程序的工作,但是在指导老师的帮助下,我逐步完成了自己的论文和程序,从导师身上也学习到很多知识,和经验,这些知识和经验令我受益匪浅。也从导师身上看到了自己的不足,不论是在即使层面上还是在对待工作的态度上,倒数如同明镜一般照出了我的缺点我的不足。此外,我还要感谢在我实习期间在论文和程序上帮助过我的同学和社会人士,此前我对于PHP开发方面的一些知识还不了解,是他们在我编写程序过程中给了我很多的启发和感想,也帮助了我对于程序的调试和检测。没有他们我是不能顺利完成本次毕业设计的。至此,我的毕业设计就花上了一个圆满的句号了。
[1]网页设计与网站建设从入门到精通[M]. 化学工业出版社.张翔.2012
[2]Java Web应用开发教程[M]. 北京邮电大学出版社.于静.2010
[3]互联网+时代PHP动态网站开发技术[J].周黎宁.科技风.2019(04)
[4] PHP Web程序设计与项目案例开发[M]. 清华大学出版社.马石安. 2019
[5]网站建设与管理基础及实训[M]. 清华大学出版社.吴代文.2013
[6] The Comparison Firebase Realtime Database and MySQL Database Performance using Wilcoxon Signed-Rank Test[J]. Margaretha Ohyver,Jurike V. Moniaga,Iwa Sungkawa,Bonifasius Edwin Subagyo,Ian Argus Chandra.Procedia Computer Science.
[7] 基于PHP的简单网页设计[J]. 李秋锦.科技经济导刊.2019(16)
[8]网络数据库连接技术及运用之研究[J]. 赵辉,熊文俊.电脑知识与技术. 2019(17)
[9] Evgeny A. Antipov, Elena B. Pokryshevskaya.Rank-sales relationship in electronic commerce: Evidence from publicly available data on 11 product categories[J].2016.16
[10] Rapid software integration using structured methods[J]. Mark J. Bennett.Journal of Systems Integration.1992(1)
[11]胡锋.基于PHP及MySQL数据库的行业网站建设[J].电脑知识与技术,2016.
[12]陈云芳,潘利华,陈瑞,刘小清,吴丽.基于PHP语言访问MySQL数据库的实现[J].中国新通信,2015.
[13]李年安.基于PHP的网站编程设计与实现[J].电脑开发与应用,2014.
[14](美)W Jason Gilmore.PHP与MySQL程序设计[M].人民邮电出版社,2011.
[15](澳)威利,(澳)汤姆森.php和mysql web开发(第4版) [M].机械工业出版社,2009.
逝者如斯夫,不舍昼夜。转眼间,大学生会员活便已经接近尾声,人面对着离别与结束,总是充满着不舍与茫然,我亦如此,仍记得那年秋天,我迫不及待的提前一天到了学校,面对学校巍峨的大门,我心里充满了期待:这里,就是我新生活的起点吗?那天,阳光明媚,学校的欢迎仪式很热烈,我面对着一个个对着我微笑的同学,仿佛一缕缕阳光透过胸口照进了我心里,同时,在那天我认识可爱的室友,我们携手共同度过了这难忘的两年。如今,我望着这篇论文的致谢,不禁又要问自己:现在,我们就要说再见了吗?
感慨莫名,不知所言。遥想当初刚来学校的时候,心里总是想着工科学校会过于板正,会缺乏一些柔情,当时心里甚至有一点点排斥,但是随着我对学校的慢慢认识与了解,我才认识到了她的美丽,她的柔情,并且慢慢的喜欢上了这个校园,但是时间太快了,快到我还没有好好体会她的美丽便要离开了,但是她带给我的回忆,永远不会离开我,也许真正离开那天我的眼里会满含泪水,我不是因为难过,我只是想将她的样子映在我的泪水里,刻在我的心里。最后,感谢我的老师们,是你们教授了我们知识与做人的道理;感谢我的室友们,是你们陪伴了我如此之久;感谢每位关心与支持我的人。
少年,追风赶月莫停留,平荒尽处是春山。
免费领取本源代码,请关注点赞+私信



