机器学习笔记(8)——数据预处理&特征工程
本文部分/全部图片与文字来源网络或学术论文,仅供学习使用,持续修改完善中。
目录
明确:数据挖掘的一般流程(5步)
获取数据——>数据预处理——>特征选择——>建模——>验证模型效果
1. 数据预处理
数据预处理:是从数据中检测,纠正或删除损坏,不准确或不适用于模型的记录的过程。
可能面对的问题有:数据类型不同,比如有的是文字,有的是数字,有的含时间序列,有的连续,有的间断。也可能,数据的质量不行,有噪声,有异常,有缺失,数据出错,量纲不一,有重复,数据是偏态,数据量太大或太小。
数据预处理的目的:让数据适应模型,匹配模型的需求。
1.1. 数据无纲量化
线性的无量纲化包括中心化(Zero-centered或者Meansubtraction)处理和缩放处理(Scale)。
- 中心化的本质是让所有记录减去一个固定值,即让数据样本数据平移到某个位置。
- 缩放的本质是通过除以一个固定值,将数据固定在某个范围之中,取对数也算是一种缩放处理。
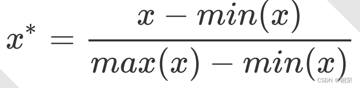
(1)数据归一化:
数据归一化(Normalization,又称Min-Max Scaling):当数据(x)按照最小值中心化后,再按极差(最大值 - 最小值)缩放,数据移动了最小值个单位,并且会被收敛到[0,1]之间,而这个过程,就叫做数据归一化。归一化之后数据服从正态分布。
![]()
from sklearn.preprocessing import MinMaxScaler
data = [[-1, 2], [-0.5, 6], [0, 10], [1, 18]]
import pandas as pd
pd.DataFrame(data)
#实现归一化
scaler = MinMaxScaler() #实例化
scaler = scaler.fit(data) #fit,在这里本质是生成min(x)和max(x)
result = scaler.transform(data) #通过接口导出结果
result
result_ = scaler.fit_transform(data) #训练和导出结果一步达成
scaler.inverse_transform(result) #将归一化后的结果逆转
#使用MinMaxScaler的参数feature_range实现将数据归一化到[0,1]以外的范围中
data = [[-1, 2], [-0.5, 6], [0, 10], [1, 18]]
scaler = MinMaxScaler(feature_range=[5,10]) #依然实例化
result = scaler.fit_transform(data) #fit_transform一步导出结果
result
#当X中的特征数量非常多的时候,fit会报错并表示,数据量太大了我计算不了
#此时使用partial_fit作为训练接口
#scaler = scaler.partial_fit(data)#使用numpy来实现归一化
import numpy as np
X = np.array([[-1, 2], [-0.5, 6], [0, 10], [1, 18]])
#归一化
X_nor = (X - X.min(axis=0)) / (X.max(axis=0) - X.min(axis=0))
X_nor
#逆转归一化
X_returned = X_nor * (X.max(axis=0) - X.min(axis=0)) + X.min(axis=0)
X_returned
(2)数据标准化:
当数据(x)按均值(μ)中心化后,再按标准差(σ)缩放,数据就会服从为均值为0,方差为1的正态分布(即标准正态分布),这个过程就叫做数据标准化。
from sklearn.preprocessing import StandardScaler
data = [[-1, 2], [-0.5, 6], [0, 10], [1, 18]]
scaler = StandardScaler() #实例化
scaler.fit(data) #fit,本质是生成均值和方差
scaler.mean_ #查看均值的属性mean_
scaler.var_ #查看方差的属性var_
x_std = scaler.transform(data) #通过接口导出结果
x_std.mean() #导出的结果是一个数组,用mean()查看均值
x_std.std() #用std()查看方差
scaler.fit_transform(data) #使用fit_transform(data)一步达成结果
scaler.inverse_transform(x_std) #使用inverse_transform逆转标准化对于StandardScaler和MinMaxScaler来说,空值NaN会被当做是缺失值,在fit的时候忽略,在transform的时候保持缺失NaN的状态显示。并且,尽管去量纲化过程不是具体的算法,但在fit接口中,依然只允许导入至少二维数组,一维数组导入会报错。
(3)选择归一化还是标准化?
大多数机器学习算法中,会选择StandardScaler来进行特征缩放,因为MinMaxScaler对异常值非常敏感。在PCA,聚类,逻辑回归,支持向量机,神经网络这些算法中,StandardScaler往往是最好的选择。
MinMaxScaler在不涉及距离度量、梯度、协方差计算以及数据需要被压缩到特定区间时使用广泛,比如数字图像处理中量化像素强度时,都会使用MinMaxScaler将数据压缩于[0,1]区间之中。
1.2.缺失值
import pandas as pd
data_ = pd.read_csv(r".\Narrativedata.csv"
,index_col=0
)#index_col=0将第0列作为索引,不写则认为第0列为特征
data_.head()
data_.loc[:,"Age"] = data_.loc[:,"Age"].fillna(data_.loc[:,"Age"].median())
#.fillna 在DataFrame里面直接进行填补
data_.dropna(axis=0,inplace=True)
#.dropna(axis=0)删除所有有缺失值的行,.dropna(axis=1)删除所有有缺失值的列
#参数inplace,为True表示在原数据集上进行修改,为False表示生成一个复制对象,不修改原数据,默认False
# _data_ = data_.drop(axis=0,inplace=False)
from sklearn.preprocessing import LabelEncoder
y = data_.iloc[:,-1] #要输入的是标签,不是特征矩阵,所以允许一维
le = LabelEncoder() #实例化
le = le.fit(y) #导入数据
label = le.transform(y) #transform接口调取结果
le.classes_ #属性.classes_查看标签中究竟有多少类别
label #查看获取的结果label
le.fit_transform(y) #也可以直接fit_transform一步到位
le.inverse_transform(label) #使用inverse_transform可以逆转1.3. 处理分类型特征
(1)为了让数据适应算法和库,有时必须将数据进行编码,即将文字型数据转换为数值型。
from sklearn.preprocessing import LabelEncoder
y = data.iloc[:,-1] #要输入的是标签,不是特征矩阵,所以允许一维
le = LabelEncoder() #实例化
le = le.fit(y) #导入数据
label = le.transform(y) #transform接口调取结果
le.classes_ #属性.classes_查看标签中究竟有多少类别
label #查看获取的结果label
le.fit_transform(y) #也可以直接fit_transform一步到位
le.inverse_transform(label) #使用inverse_transform可以逆转
data.iloc[:,-1] = label #让标签等于我们运行出来的结果
data.head()
#也可以写为
from sklearn.preprocessing import LabelEncoder
data.iloc[:,-1] = LabelEncoder().fit_transform(data.iloc[:,-1])
1.4.处理连续型特征:二值化与分段
根据阈值将数据二值化(将特征值设置为0或1),用于处理连续型变量。大于阈值的值映射为1,而小于或等于阈值的值映射为0。
#将年龄二值化
data_2 = data.copy()
from sklearn.preprocessing import Binarizer
X = data_2.iloc[:,0].values.reshape(-1,1) #类为特征专用,所以不能使用一维数组
transformer = Binarizer(threshold=30).fit_transform(X)
data_2.iloc[:,0] = transformer
data_2.head()
将连续型变量划分为分类变量的类,能够将连续型变量排序后按顺序分箱后编码。
from sklearn.preprocessing import KBinsDiscretizer
X = data.iloc[:,0].values.reshape(-1,1)
est = KBinsDiscretizer(n_bins=3, encode='ordinal', strategy='uniform')
est.fit_transform(X)
#查看转换后分的箱:变成了一列中的三箱
set(est.fit_transform(X).ravel())
est = KBinsDiscretizer(n_bins=3, encode='onehot', strategy='uniform')
#查看转换后分的箱:变成了哑变量
est.fit_transform(X).toarray()2. 特征选择(特征工程)
特征工程:是将原始数据转换为更能代表预测模型的潜在问题的特征的过程,可以通过挑选最相关的特征,提取特征以及创造特征来实现。;其中创造特征又经常以降维算法的方式实现。
可能面对的问题有:特征之间有相关性,特征和标签无关,特征太多或太小,或者干脆就无法表现出应有的数 据现象或无法展示数据的真实面貌。
特征工程的目的:1) 降低计算成本,2) 提升模型上限。
特征选择完全独立于任何机器学习算法。它是根据各种统计检验中的分数以及相关性的各项指标来选择特征。
2.1.过滤法fliter
2.1.1方差过滤
方差阈值过滤:如一个特征本身的方差很小,就表示样本在这个特征上基本没有差异,可能特征中的大多数值都一样,甚至整个特征的取值都相同,那这个特征对于样本区分没有什么作用。所以无论接下来的特征工程要做什么,都要优先消除方差为0的特征。
#去掉方差为0的特征
from sklearn.feature_selection import VarianceThreshold
selector = VarianceThreshold() #实例化,不填参数默认方差为0
X_var0 = selector.fit_transform(X) #获取删除不合格特征之后的新特征矩阵
#也可以直接写成 X = VairanceThreshold().fit_transform(X)
X_var0.shape#(42000, 708)
pd.DataFrame(X_var0).head()#根据阈值,删除阈值一下的所有特征
import numpy as np
# X.var()#每一列的方差
X_fsvar = VarianceThreshold(np.median(X.var().values)).fit_transform(X)
print(X.var().values.shape)
print(np.median(X.var().values))
X_fsvar.shape#(42000, 392)#若特征是伯努利随机变量,假设p=0.8,即二分类特征中某种分类占到80%以上的时候删除特征
X_bvar = VarianceThreshold(.8 * (1 - .8)).fit_transform(X)
X_bvar.shape方差过滤的效果:
- 最近邻算法KNN,单棵决策树,支持向量机SVM,神经网络,回归算法,都需要遍历特征或升维来进行运算,所以他们本身的运算量就很大,需要的时间就很长,因此方差过滤这样的特征选择对他们来说就尤为重要。
- 但对于不需要遍历特征的算法,比如随机森林,它随机选取特征进行分枝,本身运算就非常快速,因此特征选择对它来说效果平平。
- 过滤法的主要对象是:需要遍历特征或升维的算法们,而过滤法的主要目的是:在维持算法表现的前提下,帮助算法们降低计算成本。

选取超参数threshold:每个数据集不一样,只能自己去尝试。这里的方差阈值,其实相当于是一个超参数,要选定最优的超参数,我们可以画学习曲线,找模型效果最好的点。
2.1.2卡方过滤
卡方过滤是专门针对离散型标签(即分类问题)的相关性过滤。卡方检验类feature_selection.chi2计算每个非负特征和标签之间的卡方统计量,并依照卡方统计量由高到低为特征排名。再结合feature_selection.SelectKBest这个可以输入”评分标准“来选出前K个分数最高的特征的类,我们可以借此除去最可能独立于标签,与我们分类目的无关的特征。
如果卡方检验检测到某个特征中所有的值都相同,会提示我们使用方差先进行方差过滤。
可以使用threshold=中位数时完成的方差过滤的数据来做卡方检验(如果方差过滤后模型的表现反而降低了,那我们就不会使用方差过滤后的数据,而是使用原数据)
from sklearn.ensemble import RandomForestClassifier as RFC
from sklearn.model_selection import cross_val_score
from sklearn.feature_selection import SelectKBest
from sklearn.feature_selection import chi2
#假设在这里我一直我需要300个特征
X_fschi = SelectKBest(chi2, k=300).fit_transform(X_fsvar, y)
X_fschi.shape
确定超惨k:数据量很大,模型很复杂的时候,我们也许不能先去跑一遍模型看看效果,而是希望最开始就能够选择一个最优的超参数k。因此需要绘制学习曲线。
#======【TIME WARNING: 5 mins】======#
%matplotlib inline
import matplotlib.pyplot as plt
score = []
for i in range(390,200,-10):
X_fschi = SelectKBest(chi2, k=i).fit_transform(X_fsvar, y)
once = cross_val_score(RFC(n_estimators=10,random_state=0),X_fschi,y,cv=5).mean()
score.append(once)
plt.plot(range(390,200,-10),score)
plt.show()卡方检验的本质是推测两组数据之间的差异,其检验的原假设是”两组数据是相互独立的”。卡方检验返回卡方值和P值两个统计量,其中卡方值很难界定有效的范围,而p值,我们一般使用0.01或0.05作为显著性水平,即p值判断的边界。
从特征工程的角度,我们希望选取卡方值很大,p值小于0.05的特征,即和标签是相关联的特征。而调用SelectKBest之前,我们可以直接从chi2实例化后的模型中获得各个特征所对应的卡方值和P值。
chivalue, pvalues_chi = chi2(X_fsvar,y)
chivalue
pvalues_chi
#k取多少?我们想要消除所有p值大于设定值,比如0.05或0.01的特征:
k = chivalue.shape[0] - (pvalues_chi > 0.05).sum()
#X_fschi = SelectKBest(chi2, k=填写具体的k).fit_transform(X_fsvar, y)
#cross_val_score(RFC(n_estimators=10,random_state=0),X_fschi,y,cv=5).mean()
2.1.4F检验过滤
F检验,又称ANOVA,方差齐性检验,是用来捕捉每个特征与标签之间的线性关系的过滤方法。它即可以做回归也可以做分类,因此包含feature_selection.f_classif(F检验分类)和feature_selection.f_regression(F检验回归)两个类。
F检验的本质是寻找两组数据之间的线性关系,其原假设是”数据不存在显著的线性关系“。它返回F值和p值两个统计量。和卡方过滤一样,我们希望选取p值小于0.05或0.01的特征,这些特征与标签时显著线性相关的,而p值大于0.05或0.01的特征则被我们认为是和标签没有显著线性关系的特征,应该被删除。
from sklearn.feature_selection import f_classif
F, pvalues_f = f_classif(X_fsvar,y)
pvalues_f
k = F.shape[0] - (pvalues_f > 0.05).sum()
#X_fsF = SelectKBest(f_classif, k=填写具体的k).fit_transform(X_fsvar, y)
#cross_val_score(RFC(n_estimators=10,random_state=0),X_fsF,y,cv=5).mean()2.1.5互信息法过滤
互信息法是用来捕捉每个特征与标签之间的任意关系(包括线性和非线性关系)的过滤方法。和F检验相似,它既可以做回归也可以做分类,并且包含两个类feature_selection.mutual_info_classif(互信息分类)和feature_selection.mutual_info_regression(互信息回归)。这两个类的用法和参数都和F检验一模一样,不过互信息法比F检验更加强大,F检验只能够找出线性关系,而互信息法可以找出任意关系。
互信息法不返回p值或F值类似的统计量,它返回“每个特征与目标之间的互信息量的估计”,这个估计量在[0,1]之间取值,为0则表示两个变量独立,为1则表示两个变量完全相关。
from sklearn.feature_selection import mutual_info_classif as MIC
result = MIC(X_fsvar,y)
k = result.shape[0] - sum(result <= 0)
#X_fsmic = SelectKBest(MIC, k=填写具体的k).fit_transform(X_fsvar, y)
#cross_val_score(RFC(n_estimators=10,random_state=0),X_fsmic,y,cv=5).mean()sklearn中的过滤方法小结:
| 类 | 说明 | 超参数的选择 |
| VarianceThreshold | 方差过滤,可输入方差阈值,返回方差大于 阈值的新特征矩阵 | 看具体数据究竟是含有更多噪 声还是更多有效特征 一般就使用0或1来筛选 也可以画学习曲线或取中位数 跑模型来帮助确认 |
| SelectKBest | 用来选取K个统计量结果最佳的特征,生成 符合统计量要求的新特征矩阵 | 看配合使用的统计量 |
| chi2 | 卡方检验,专用于分类算法,捕捉相关性 | 追求p小于显著性水平的特征 |
| f_classif | F检验分类,只能捕捉线性相关性 要求数据服从正态分布 | 追求p小于显著性水平的特征 |
| f_regression | F检验回归,只能捕捉线性相关性 要求数据服从正态分布 | 追求p小于显著性水平的特征 |
| mutual_info_classif | 互信息分类,可以捕捉任何相关性 不能用于稀疏矩阵 | 追求互信息估计大于0的特征 |
| mutual_info_regression | 互信息回归,可以捕捉任何相关性 不能用于稀疏矩阵 | 追求互信息估计大于0的特征 |
2.2.embedded嵌入法
嵌入法是一种让算法自己决定使用哪些特征的方法,即特征选择和算法训练同时进行。在使用嵌入法时,先使用某些机器学习的算法和模型进行训练,得到各个特征的权值系数,根据权值系数从大到小选择特征。(参见西瓜书的介绍)
相比于过滤法,嵌入法的结果会更加精确到模型的效用本身,对于提高模型效力有更好的效果。并且,由于考虑特征对模型的贡献,因此无关的特征(需要相关性过滤的特征)和无区分度的特征(需要方差过滤的特征)都会因为缺乏对模型的贡献而被删除掉,可谓是过滤法的进化版。
class sklearn.feature_selection.SelectFromModel (estimator, threshold=None, prefit=False, norm_order=1,max_features=None)
| 参数 | 说明 |
| estimator | 使用的模型评估器,只要是带feature_importances_或者coef_属性,或带有l1和l2惩罚 项的模型都可以使用 |
| threshold | 特征重要性的阈值,重要性低于这个阈值的特征都将被删除 |
| prefit | 默认False,判断是否将实例化后的模型直接传递给构造函数。如果为True,则必须直接 调用fit和transform,不能使用fit_transform,并且SelectFromModel不能与 cross_val_score,GridSearchCV和克隆估计器的类似实用程序一起使用。 |
| norm_order | k可输入非零整数,正无穷,负无穷,默认值为1 在评估器的coef_属性高于一维的情况下,用于过滤低于阈值的系数的向量的范数的阶 数。 |
| max_features | 在阈值设定下,要选择的最大特征数。要禁用阈值并仅根据max_features选择,请设置 threshold = -np.inf |
from sklearn.feature_selection import SelectFromModel
from sklearn.ensemble import RandomForestClassifier as RFC
RFC_ = RFC(n_estimators =10,random_state=0)
X_embedded = SelectFromModel(RFC_,threshold=0.005).fit_transform(X,y)
#在这里我只想取出来有限的特征。0.005这个阈值对于有780个特征的数据来说,是非常高的阈值,因为平均每个特征
# 只能够分到大约0.001的feature_importances_
X_embedded.shape
#模型的维度明显被降低了
#同样的,我们也可以画学习曲线来找最佳阈值
#======【TIME WARNING:10 mins】======#
import numpy as np
import matplotlib.pyplot as plt
RFC_.fit(X,y).feature_importances_
threshold = np.linspace(0,(RFC_.fit(X,y).feature_importances_).max(),20)
score = []
for i in threshold:
X_embedded = SelectFromModel(RFC_,threshold=i).fit_transform(X,y)
once = cross_val_score(RFC_,X_embedded,y,cv=5).mean()
score.append(once)
plt.plot(threshold,score)
plt.show()2.3.wrapper包装法
包装法也是一个特征选择和算法训练同时进行的方法,与嵌入法十分相似,它也是依赖于算法自身的选择,比如coef_属性或feature_importances_属性来完成特征选择。
但不同的是,我们往往使用一个目标函数作为黑盒来帮助我们选取特征,而不是自己输入某个评估指标或统计量的阈值。包装法在初始特征集上训练评估器,并且通过coef_属性或通过feature_importances_属性获得每个特征的重要性。
然后,从当前的一组特征中修剪最不重要的特征。在修剪的集合上递归地重复该过程,直到最终到达所需数量的要选择的特征。区别于过滤法和嵌入法的一次训练解决所有问题,包装法要使用特征子集进行多次训练,因此它所需要的计算成本是最高的。
class sklearn.feature_selection.RFE (estimator, n_features_to_select=None, step=1, verbose=0)
#======【TIME WARNING: 15 mins】======#
score = []
for i in range(1,751,50):
X_wrapper = RFE(RFC_,n_features_to_select=i, step=50).fit_transform(X,y)
once = cross_val_score(RFC_,X_wrapper,y,cv=5).mean()
score.append(once)
plt.figure(figsize=[20,5])
plt.plot(range(1,751,50),score)
plt.xticks(range(1,751,50))
plt.show()小结
过滤法更快速,但更粗糙。包装法和嵌入法更精确,比较适合具体到算法去调整,但计算量比较大,运行时间长。
当数据量很大的时候,优先使用方差过滤和互信息法调整,再上其他特征选择方法。
使用逻辑回归时,优先使用嵌入法。
使用支持向量机时,优先使用包装法