目录


一、数据的线性结构
1、线性表
(1)顺序存储
用一组地址连续的存储单元依次存储线性表中的数据元素,从而使得逻辑上相邻的元素在物理位置上也相邻。

优点:随机存取表中的元素。
缺点:插入和删除操作需要移动元素。
移动元素的期望值:插入元素n/2个;删除元素(n-1)/2个 (// TODO需要解释)
(2)链式存储
线性表的链式存储是用通过指针链接起来的结点来存储数据元素。
![]()
存储各数据元素的结点的地址并不要求是连续的,因此存储数据元素的同时必须存储元素之间的逻辑关系。另外,结点空间只有在需要的时候才申请,无须事先分配。
![]()
(3)单链表和单向循环链表
单链表只能从头结点开始往后顺序遍历整个链表。
循环单链表可以从表中的任一结点开始遍历整个链表。
单链表

单项循环链表

(4)双向链表和双向循环链表

典型真题一
若对线性表的最常用操作是访问任意指定序号的元素,并在表尾加入和删除元素,则适宜采用( )存储。
- A.顺序表
- B.单链表
- C.双向链表
- D.哈希表
试题分析
采用顺序表(即数组),可以任意访问指定序号的元素,便于在表尾加入和删除元素,但不便于在表头插入和删除元素,在表头操作时需要移动大量元素。
要注意的是,题目中要求在表尾加入和删除元素,而不是在表头操作,因此适宜采用顺序表。
采用链表插入、删除元素较为方便,但是访问指定序号的元素较为麻烦,需要从头指针开始遍历。
参考答案:A
典型真题二
设有一个包含n个元素的有序线性表。在等概率情况下删除其中的一个元素,若采用顺序存储结构,则平均需要移动()个元素;若采用单链表存储,则平均需要移动()个元素。
- A.1 B.(n-1)/2 C.Log2n D.n
- A.0 B.1 C.(n-1)/2 D.n/2
参考答案:B、A
2、栈

(1)顺序存储
预先申请栈空间,栈满则元素不能入栈。

(2)栈的链式存储
用链表表示栈,用链表实现的栈称为链栈。由于栈中元素的插入和删除仅在栈顶一端进行,因此不必另外设置头指针,链表的头指针就是栈顶指针。

应用:表达式求值过程

典型真题一
栈的特点是后进先出,若用单链表作为栈的存储结构,并用头指针作为栈顶指针,则( )。
- A.入栈和出栈操作都不需要遍历链表
- B.入栈和出栈操作都需要遍历链表
- C.入栈操作需要遍历链表而出栈操作不需要
- D.入栈操作不需要遍历链表而出栈操作需要
试题解析:
本题用单链表作为栈的存储结构,因为栈的操作是先进后出,因此无论是入栈还是出栈,都只对栈顶元素操作,而在单链表中用头指针作为栈顶指针,此时无论是出栈还是入栈,都只需要对头指针指向的栈顶指针操作即可,不需要遍历链表。
参考答案:A
3、队列

(1)顺序存储
队列的顺序存储结构又称为顺序队列,它也是利用一组地址连续的 存储单元存放队列中的元素。
由于队列中元素的插入和删除限定在表的两端进行,因此设置队头指针和队尾指针,分别指出当前的队头和队尾。

典型真题一
对于一个长度为n(n>1)且元素互异的序列,令其所有元素依次通过一个初始为空的栈后,再通过一个初始为空的队列。假设队列和栈的容量都足够大,且只要栈非空就可以进行出栈操作,只要队列非空就可以进行出队操作,那么以下叙述中,正确的是( )。
- A出队序列和出栈序列一定互为逆序
- B出队序列和出栈序列一定相同
- C入栈序列与入队序列一定相同
- D入栈序列与入队序列一定互为逆序
试题分析_可以举例分析
本题考查数据结构基础知识。
栈和队列都是线性的数据结构。栈的操作要求是入栈和出栈都在表尾进行,即在栈中有多个元素时,后进去的元素先出来,特点是后进先出,元素入栈的顺序与出栈的顺序可以相同也可以不同。而队列的修改要求是在队尾加入元素,在队头删除元素,特点是先进先出,元素的入队顺序与出队顺序一定相同。将一个栈和队列连接后,进出队列的元素顺序是相同的,而进入队列的元素顺序正是从栈中出来的元素顺序,因此,正确的叙述为出队序列与出栈序列一定相同。
参考答案:B
(2)循环队列

典型真题
设某循环队列Q的定义中有front和rear两个域变量,其中,front指示队头元素的位置,rear指示队尾元素之后的位置,如下图所示。若该队列的容量为M,则其长度为()。

- A (Q.rear-Q.front +1) B (Q.rear-Q.front+M)
- C (Q.rear-Q.front+1)%M D (Q.rear-Q.front+M)%M
试题分析
本题考查数据结构基础知识。根据题目中所给的示意图,Q.front为队头元素的指针,Q.rear表示队尾元素之后的一个空位置,故队列长度为Q.rear-Q.front,由于队列中存储位置编号是在0~M-1之间循环的,Q.rear-Q.front的结果有可能是负数,故在Q.rear-Q.front基础上加上M可恢复为正数,而此正数有可能超出0~M-1的范围,故用整除,M取余运算恢复一下,因此长度计算的式子为(Q.rear-Q.front+M)%M。
参考答案:D
(3)链接存储
用链接存储线性表实现队列,用链表实现的队列称为链接队列。

典型真题
队列的特点是先进先出,若用循环单链表表示队列,则( )。
- A.入队列和出队列操作都不需要遍历链表
- B.入队列和出队列操作都需要遍历链表
- C.入队列操作需要遍历链表而出队列操作不需要
- D.入队列操作不需要遍历链表而出队列操作需要
参考答案:A
(4)双端队列
某双端队列如下图所示,要求元素进出队列必须在同一端口,即从A端进入的元素必须从A端出、从B端进入的元素必须从B端出。

典型真题
双端队列是指在队列的两个端口都可以加入和删除元素,如下图所示,现在要求元素进队列和出队列必须在同一端口。
即从a端进队的元素必须从a端出,从b端进队的元素必须从b端出。
则对于四个元素的序列a.b.c.d,若要。求前两个元素a.b从a端口按次序全部进入队列。后两个元素Cd从b端口按次序全部进入队列,则不可能得到的出队序列是( )。
- A.d、a、b、c B.d、c、b、a
- C.b、a、d、c D.b、d、c、a
相当于两个栈
参考答案:A
4、串
串是仅由字符构成的有限序列,是一种线性表。一般记为s= ‘a1a2......an’(n>0),其中,s是串的名称,用单引号括起来的字符序列是串值。串的基本概念:
- 空串:长度为零的串称为空串,空串不包含任何字符。
- 空格串:由一个或多个空格组成的串。
- 子串:由串中任意长度的连续字符构成的序列称为子串。
含有子串的串称为主串。空串是任意串的子串。
典型真题
设S是一个长度为n的非空字符串,其中的字符各不相同,则其互异的非平凡子串(非空且不同于S本身)个数为 ( ) 。
- A.2n-1 B.n²
- C.n(n+1)/2 D.(n+2) (n-1)/2
试题分析
任取一个字符串abcd,它的非空子集有:a、b、c、d、ab、bc、cd、abc、bcd共9个。注意:abd、acd、bd、ad等不属于它的子串。
参考答案:D
二、数据的非线性结构
1、二维数组和特殊矩阵
二维数组

特殊矩阵——只考虑这一种
这一种的存储方式也是两种:按行存和按列存

典型真题一
某n阶的三对角矩阵A如下图所示,按行将元素存储在一堆数组M 中,设a1,1存储在M[1],那么ai,j(1<=i,j<=n且ai,j位于三条对角线中),存储在M()。

- A.i+2j B.2i+j C.i+2j-2 D.2i+j-2
试题分析
本题用带入法,取满足题干要求的i和j的数值,带入四个选项可得选项D是正确答案。使用a1,1存储在M[1],和a2,1存储在M[2]进行代入计算
参考答案:C
典型真题二
对于一个n阶的对称矩阵A,将其下三角区域(含主对角线)的元素按行存储在一维数组中,设元素A[i][y]存放在S[k]中,且S[1]=A[0][0],则k与i,y(i<=y)的对应关系是( )。
- A.K=i(i+1)/2+y-1 B.k=i(i+1)/2+y+1
- C.K=i(i-1)/2+y-1 D.k=i(i-1)/2+y-1
试题分析
这道题可以将“S[1]=A[0][0]”这个条件带入四个选项中,
只有选项B符合要求。
参考答案:B
2、树

3、二叉树
度为2的树——>二叉树,即每个节点最多有两个孩子节点。
满二叉树:每个节点都有两个分支。
完全二叉树:除了最下边一层,所有上层都是满二叉树,并且最底层元素从左到右排列。


二叉树:
- 在二叉树的第 i 层上最多有2^(i-1)个结点(i≧1)——>每一层的元素,为2的(n-1)次方个
- 深度为 k 的二叉树最多有(2^k)-1个结点(k≧1)——>有n层就有2的n次方-1个元素(根节点只有一个)
- 对于任何一棵二叉树,如果其叶子结点数为N0 ,度为 2 的结点数为N2,则N0=N2+1

完全二叉树:——使用画图代入法
——求二叉树的深度
—— log以2为底n的对数向下取整 + 1 ——>“L”符号为向下取整,倒过来为向上取整
如果i=1(i表示第1个节点),则结点i无父结点,是二叉树的根;如果i>1,则,父结点是⌊i/2⌋;
如果2i>n(节点个数),则结点i为叶子结点,无左子结点;否则,其左子结点是2i;
如果2i+1>n,则结点i无右子结点,否则,其右子节点是结点2i+1。
4、二叉树的遍历
二叉树的遍历:是指从根结点出发,按照某种次序依次访问二叉树中所有的结点,使得每个结点被访问一次且仅被访问一次。

前序遍历——节点在前(中、左、右)
先遍历节点——>然后遍历节点的左子树——>最后遍历节点的右子树

中序遍历——节点在中(左、中、右)
先遍历节点的左子树——>然后遍历节点——>最后遍历节点的右子树

后续遍历——节点在后(左、右、中)
先遍历节点的左子树——>然后遍历节点的右子树——>最后遍历节点
典型真题一
某二叉树的中序,先序遍历序列分别为{20,30,10,50,40},{10,20,30,40,50}则该二叉树的后序遍历序列为( )。
- A.50,40,30,20,10
- B.30,20,10,50,40
- C.30,20,50,40,10
- D.20,30,10,40,50
试题分析
根据要求构造出二叉树。

可以看出后序遍历是 30,20,50,40,10
参考答案:C
典型真题二
已知某二叉树的先序遍历序列为A B C D E F、中序遍历序列为B A D C F E,则可以确定该二叉树( )。
- A.是单支树(即非叶子结点都只有一个孩子)
- B.高度为4(即结点分布在4层上)
- C.根结点的左子树为空
- D.根结点的右子树为空
试题解析:

根据先序遍历和中序遍历序列可以构造出二叉树高度为4的所以
选择B
参考答案:B
5、二叉树的存储

(1)顺序存储

典型真题一

试题分析
为题干中B的子树构造一些虚拟的结点,所以 D、E、F 对应的数组元素下标为6、7、14。
参考答案:D
(2)链式存储

典型真题
设某二叉树采用二叉链表表示(即结点的两个指针分别指示左、右孩子)。当该二叉树包含 k 个节点时,其二叉链表节点中必有()个空的孩子指针。
- A.k-1
- B.K
- C.k+1
- D.2k
试题分析
二叉链表中每个结点有2个指针,一共有2K个指针。在二叉树中除了根结点之外,其他的结点都有一条边进入该结点,即一个指针指向该结点,所以二叉树中边的总个数为k-1,也就说 明非空指针的个数为k-1个。那么空指针的个数为:总的结点数-非空指针的个数=2k-(k-1)=k+1。
参考答案:C
6、二叉查找树
二叉排序树又称为二叉查找树,其定义为二叉排序树或者是一棵空二叉树,或者是具有如下性质的二叉树:
(1)若它的左子树非空,则左子树上所有结点的值均小于根结点。
(2)若它的右子树非空,则右子树上所有结点的值均大于根结点。
(3)左、右子树本身又各是一棵二叉排序树。

如果中序遍历二叉排序树,就能得到一个排好序的结点序列。
典型真题

试题分析
注意27在31的后面可以得到答案C
试题答案:C
7、哈夫曼树
哈夫曼编码——>压缩文件
一定条件下,寻找目标数据,为了减少判断次数,选取合适的根节点

设置:A不及格、B及格、C中等、D良好、E优秀,根据数据占比和深度计算带权长度

带权路径长度WPL1=1×5+2×15+3×40+4×30+4×10=315
带权路径长度WPL2=3×5+3×15+2×40+2×30+2×10=220
给定N个权值作为N个叶子结点,构造一棵二叉树,若该树的带权路径长度达到最小,称这样的二叉树为最优二叉树,也称为哈夫曼树(HuffmanTree)。哈夫曼树是带权路径长度最短的树,权值较大的结点离根较近。

典型真题

- A.1110110101 B.1100111101
- C.1110110100 D.1100111100
- A.20% B.25%
- C.27% D.30%
试题分析
根据题意构造哈夫曼树如下。
- 第一步,从a,b,c,d,e中选取两个频率最小的构造成一棵小的树,题中频率最小的是b和e,构造父亲节点(H)就是(b+e=24);
- 第二部,除去b和e后,从a,c,d和构造父亲节点(H)中再选取两个最小的构成一个小的树,根据题意选取d和c,构造父亲节点(F)就是(d+c=36);
- 第三步,除去c,d后,从a和构造父亲节点(H),构造父亲节点(F)中,选取两个最小的,根据题意,选择构造父亲节点(H)和构造父亲节点(F),得新的构造父亲节点(G)为(24+36=60)
- 第四步,选取剩下的a和构造父亲节点(G),组成一棵新的树,新树的根节点为(60+40=100)

a的编码:0,b的编码100,c的编码111,d的编码110,e的编码:101。
单词“cade”的编码就是“1110110101”。
压缩前,属于定长编码,每个字符用3位编码(2^3 > 5),无压缩的编码长度是:3*(40%+10%+20%+16%+14%)=3*100%=3
压缩后编码长度是:1*40%+3*10%+3*20%+3*16%+3*14%=2.2,压缩率:(3- 2.2)/3=27%
参考答案:A、C
8、图
图G由两个集合V和E组成,记为G=(V,E),其中V是顶点的有穷非空集合,E是V中顶点偶对(称为边)的有穷集合。
通常,也将图G 的顶点集和边集分别记为V(G)和E(G)。E(G)可以是空集。若 E(G)为空,则图G只有顶点而没有边。

(1)无向完全图和有向完全图
1.1-无向完全图——每个顶点与其他顶点之间都有边

1.2-有向完全图——任意两个不同顶点之间都有方向相反的两个弧存在

(2)连通图和强连通图
2.1-连通图
无向图中,任意两个顶点都是连通的
在无向图G中,若从顶点vi<到顶点vj有路径,则称顶点vi和顶点vj 是连通的。如果无向图G中任意两个顶点都是连通的,则称其为连通图。无向图的极大连通子图称为G的连通分量。


2.2-强连通图
有向图中,任意两个顶点都是联通的
有向图中,若任意两个顶点 Vi和 Vj,满足从 Vi到 Vj以及从 Vj 到 Vi都连通,也就是都含有至少一条通路,则称图为强连通图。有向图中的极大连通子图称为有向图的强连通分量。

(3)图的存储——邻接矩阵和邻接表
3.1-邻接矩阵存储
邻接矩阵可以表示每个点与点之间的关系(n*n矩阵),缺点是,如果大量的点之间没有关系,容易造成空间的浪费。
有向图的邻接矩阵不一定对称。

无向图的邻接矩阵是对称的。

3.2-邻接表存储
在图的邻接表中,为图的每个顶点建立一个链表,且第i个链表中的结点代表与顶点i相关联的一条边或由顶点i出发的一条弧。
有n 个顶点的图,需用n个链表表示,这n个链表的头指针通常由顺序线性表存储。

(4)图的遍历
图的遍历是指从某个顶点出发,沿着某条搜索路径对图中的所有顶点进行访问且只访问一 次的过程。
深度优先——>相当于树的前序遍历
广度优先——>相当于树的层序遍历


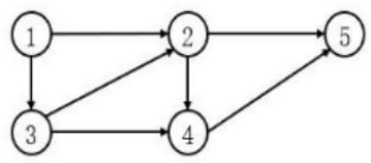
典型真题一
对于如下所示的有向图,其邻接矩阵是一个()的矩阵,采用邻接链表存储时顶点的表结点个数为2,顶点5的表结点个数为0,顶点2和3的表结点个数分别为()。

- A.5 *5 B.5*7
- C.7*5 D.7*7
- A.2.1 B. 2.2
- C.3.4 D.4.3
试题分析
5个结点的有向图若采用邻接矩阵存储是一个5*5 的矩阵, 若采用邻接表的方式存储,顶点2和3的表结点个数分别为2、2。
参考答案:A、B
典型真题二

- A.v0、v1、v2、v3、v4、v5
- B.v0、v2、v4、 v5、v1、v3
- C.v0、v1、v3、v5、v2、v4
- D.v0、v2、v4、v3、v5、v1
试题分析
图中,V1和V2没有先后顺序,V3和V4没有先后顺序。

参考答案:B、A