数据结构
主要内容:
数据结构简介
线性结构
树形结构
数据结构简介
1 什么是数据结构
简单地说,数据结构是以某种特定的布局方式存储数据的容器,这种"布局方式"决定了数据结构对于某些操作是高效的,而对于其他操作则是低效的.所以我们需要理解各种数据结构,才能在处理实际问题时选取最合适的数据结构。
数据结构=逻辑结构+物理结构(顺序、链式、索引、散列)
逻辑结构:数据元素间抽象化的相互关系
物理结构:(存储结构),在计算机存储器中的存储形式
2 数据结构逻辑分类
数据结构从逻辑上划分为三种基本类型:
2.1线性结构
数据结构中的元素存在一对一的相互关系;
常见的线性结构:
线性表,栈,队列,串(一维数组)等。
2.2树形结构
数据结构中的元素存在一对多的相互关系;
常见树形结构:
二叉树,红黑树,B 树,哈夫曼树等。
2.3图形结构
数据结构中的元素存在多对多的相互关系;
常见图形结构:
有向图,无向图,简单图等。
二、线性结构
1 栈结构
1.1 栈的定义
栈是一种只能从一端存取数据且遵循“后进先出(LIFO)”原则的相信存储结构。
1.2实现栈容器
1.2.1 创建栈容器
/**
* 自定义栈容器
*/
public class MyStack<E> {
private Object[] arr;//存放元素的物理结构
private int stackLength = 4;//数组的默认长度
private int size; //记录栈容器的元素个数
private int index = -1;//操作数组下标位置的指针
/**
* 判断栈容器是否为空
* @return
*/
public boolean empty(){
return false;
}
/**
* 获取栈顶元素
* @return
*/
public E pop(){
return null;
}
/**
* 向栈容器中添加元素
* @param item
* @return
*/
public E push(E item){
return null;
}
public static void main(String[] args) {
}
}
1.2.2 实现添加元素
/**
* 向栈容器中添加元素
* @param item
* @return
*/
public E push(E item){
//初始化数组
this.capacity();
//向数组中添加元素
this.arr[++index]=item;
//记录元素个数
this.size++;
return item;
}
/**
* 数组初始化或者以1.5倍容量对数组扩容
*/
private void capacity(){
//数据初始化
if(this.arr == null){
this.arr = new Object[this.stackLength];
}
//以1.5倍对数组扩容
if(this.size - (this.stackLength-1) >= 0){
this.stackLength = this.stackLength + (this.stackLength >> 1);
this.arr = Arrays.copyOf(this.arr,this.stackLength);
}
}
1.2.3 实现获取元素
/**
* 获取栈顶元素
* @return
*/
public E pop(){
//如果栈容器中没有元素则抛出异常
if(this.index == -1){
throw new EmptyStackException();
}
//记录元素个数
this.size--;
//返回栈顶元素
return (E) this.arr[index--];
}
1.2.4 判断栈容器是否为空
/**
* 判断栈容器是否为空
* @return
*/
public boolean empty(){
return this.size == 0;
}
2 链表结构
2.1链表结构的定义
2.1.1 什么是链表
链表结构是由许多节点构成的,每个节点都包含两部分:
- 数据部分:保存该节点的实际数据。
- 地址部分:保存的是上一个或下一个节点的地址。
2.1.2 链表分类
- 单向链表
- 双向链表
- 双向循环链表
2.1.3 链表的特点
- 结点在存储器中的位置是任意的,即逻辑上相邻的数据元素在物理上不一定相邻。
- 访问时只能通过头或者尾指针进入链表,并通过每个结点的指针域向后或向前扫描其余结点,所以寻找第一个结点和最后一个结点所花费的时间不等。
链表的优缺点:
- 优点:数据元素的个数可以自由扩充 、插入、删除等操作不必移动数据,只需修改链接指针,修改效率较高。
- 缺点:必须采用顺序存取,即存取数据元素时,只能按链表的顺序进行访问,访问节点效率较低。
2.2单向链表结构
2.2.1 单向链表定义
单向链表(单链表)是链表的一种,其特点是链表的链接方向是单向的,对链表的访问要通过从头部开始顺序读取。

2.2.2 实现单向链表
2.2.2.1 创建链表接口
/**
* 基于链表结构存取元素的方法 API 定义
* @param <E>
*/
public interface MyList<E> {
void add(E element);
E get(int index);
int size();
E remove(int index);
}
2.2.2.2 创建单向链表类
/**
* 基于单向链表实现元素存取的容器
* @param <E>
*/
public class MySinglyLinkedList<E> implements MyList<E> {
/**
* 向链表中添加元素
* @param element
*/
@Override
public void add(E element) {
}
/**
* 根据元素的位置获取元素
* @param index
* @return
*/
@Override
public E get(int index) {
return null;
}
/**
* 获取元素个数
* @return
*/
@Override
public int size() {
return 0;
}
/**
* 根据元素的位置删除元素
* @param index
* @return
*/
@Override
public E remove(int index) {
return null;
}
public static void main(String[] args) {
}
}
2.2.2.3 创建节点类
/**
* 定义单向链表中的节点对象
*/
class Node<E>{
private E item;//存储元素
private Node next;//存储下一个节点对象的地址
Node(E item,Node next){
this.item = item;
this.next = next;
}
}
2.2.2.4 实现添加元素方法
private Node head;//存放链表中的头节点。
private int size;//记录元素个数。
/**
* 向链表中添加元素
* @param element
*/
@Override
public void add(E element) {
//创建节点
Node<E> node = new Node<>(element,null);
//找到尾节点
Node tail = getTail();
//节点的挂接
if(tail == null)
this.head = node;
else
tail.next = node;
//记录元素个数
this.size++;
}
/**
* 找尾节点
*/
private Node getTail(){
//头节点是否存在
if(this.head == null){
return null;
}
//查找尾节点
Node node = this.head;
while(true){
if(node.next == null)break;
node = node.next;//移动指针,指向下一个节点
}
return node;
}
2.2.2.5 实现获取元素方法
/**
* 根据元素的位置获取元素
* @param index
* @return
*/
@Override
public E get(int index) {
//校验 Index 的合法性
this.checkIndex(index);
//根据位置获取指定节点
Node<E> node = this.getNode(index);
//将该节点中的元素返回
return node.item;
}
/**
* 对 Index 进行校验
*/
private void checkIndex(int index){
if(!(index >= 0 && index < this.size)){
throw new IndexOutOfBoundsException("Index: "+index+" Size:"+this.size);
}
}
/**
* 根据位置获取节点
*/
private Node getNode(int index){
Node<E> node = this.head;
for(int i=0;i<index;i++){
node = node.next;
}
return node;
}
2.2.2.6 实现删除元素方法
/**
* 根据元素的位置删除元素
* @param index
* @return
*/
@Override
public E remove(int index) {
//校验 Index 的合法性
this.checkIndex(index);
//根据位置找到该节点对象
Node<E> node = this.getNode(index);
//获取该节点对象中的元素
E item = node.item;
//将该节点对象从单向链表中移除
//判断当前删除的节点是否为头结点
if(this.head == node){
this.head = node.next;
}else{
Node<E> temp = this.head;
for(int i=0;i< index - 1;i++){
temp = temp.next;
}
temp.next = node.next;
}
node.next = null;
//记录元素个数
this.size--;
//将该元素返回
return item;
}
2.2.2.7 实现获取元素个数
/**
* 获取元素个数
* @return
*/
@Override
public int size() {
return this.size;
}
2.3双向链表结构
2.3.1 双向链表定义
双向链表也叫双链表,是链表的一种,它的每个数据结点中都有两个指针,分别指向直接前驱和直接后继。
2.3.2 实现双向链表
2.3.2.1 创建双向链表类
/**
* 基于双向链表实现元素存取的容器
* @param <E>
*/
public class MyDoublyLinkedList<E> implements MyList<E> {
/**
* 向双向链表中添加元素的方法
* @param element
*/
@Override
public void add(E element) {
}
/**
* 根据指定位置获取元素
* @param index
* @return
*/
@Override
public E get(int index) {
return null;
}
/**
* 返回元素的个数
* @return
*/
@Override
public int size() {
return 0;
}
/**
* 根据指定位置删除元素
* @param index
* @return
*/
@Override
public E remove(int index) {
return null;
}
public static void main(String[] args) {
}
}
2.3.2.2 创建节点类
/**
* 定义双向链表的节点对象
*/
class Node<E>{
E item;//记录元素
Node<E> prev;//记录前一个节点对象
Node<E> next;//记录下一个节点对象
Node(Node<E> prev,E item,Node<E> next){
this.prev = prev;
this.item = item;
this.next = next;
}
}
2.3.2.3 实现添加元素方法
private Node head; //记录头节点
private Node tail; //记录尾节点
private int size; //记录元素个数
/**
* 向双向链表中添加元素的方法
* @param element
*/
@Override
public void add(E element) {
this.linkLast(element);
}
/**
* 将节点对象添加到双向链表的尾部
*/
private void linkLast(E element){
//获取尾节点
Node t = this.tail;
//创建节点对象
Node<E> node = new Node<>(t,element,null);
//将新节点定义为尾节点
this.tail = node;
if(t == null){
this.head = node;
}else{
t.next = node;
}
this.size++;
}
2.3.2.4 实现获取元素方法
/**
* 根据指定位置获取元素
* @param index
* @return
*/
@Override
public E get(int index) {
//对 Index 做合法性校验
this.checkIndex(index);
//根据位置查找节点对象
Node<E> node = this.getNode(index);
return node.item;
}
/**
* 校验 Index 的合法性
*/
private void checkIndex(int index){
if(!(index >= 0 && index < this.size)){
throw new IndexOutOfBoundsException("Index: "+index+" Size:"+size);
}
}
/**
* 根据位置获取指定节点对象
*/
private Node getNode(int index){
//判断当前位置距离头或者尾哪个节点更近
if(index < (this.size >> 1)){
Node node = this.head;
for(int i=0;i<index;i++){
node = node.next;
}
return node;
}else{
Node node = this.tail;
for(int i=this.size-1;i>index;i--){
node = node.prev;
}
return node;
}
}
2.3.2.5 实现删除元素方法
/**
* 根据指定位置删除元素
* @param index
* @return
*/
@Override
public E remove(int index) {
//对 Index 进行合法性校验
this.checkIndex(index);
//根据指定位置获取节点对象
Node<E> node = this.getNode(index);
//获取节点对象中的元素
E item = node.item;
//判断当前节点是否为头节点
if(node.prev ==null){
this.head = node.next;
}else{
//完成当前节点的直接前驱节点与当前节点的直接后继节点的挂接
node.prev.next = node.next;
}
//判断当前节点是否为尾节点
if(node.next == null){
this.tail = node.prev;
}else{
//完成当前节点的直接后继节点与当前节点的直接前驱节点的挂接
node.next.prev = node.prev;
}
//当前节点断掉与它直接前驱节点的连接
node.prev = null;
//当前节点断掉与它直接后继节点的连接
node.next = null;
node.item = null;
//记录元素个数
this.size--;
return item;
}
2.3.2.6 获取元素的个数
/**
* 返回元素的个数
* @return
*/
@Override
public int size() {
return this.size;
}
2.3.2.7 实现在双向链表的头添加元素
/**
* 在双向链表的头添加元素
*
*/
public void addFirst(E element){
this.linkFirst(element);
}
/**
* 在链表的头添加元素
*
*/
private void linkFirst(E element){
//获取头节点对象
Node head = this.head;
Node node = new Node(null,element,head);
//将新节点定义为头节点
this.head = node;
//判断当前链表中是否有节点如果没有,那么该节点既是头节点也是尾节点
if(head == null){
this.tail = node;
}else{
head.prev = node;
}
//记录元素个数
this.size++;
}
2.3.2.8 实现在双向链表的尾添加元素
/**
* 在链表的尾添加元素
* @param element
*/
public void addLast(E element){
this.linkLast(element);
}
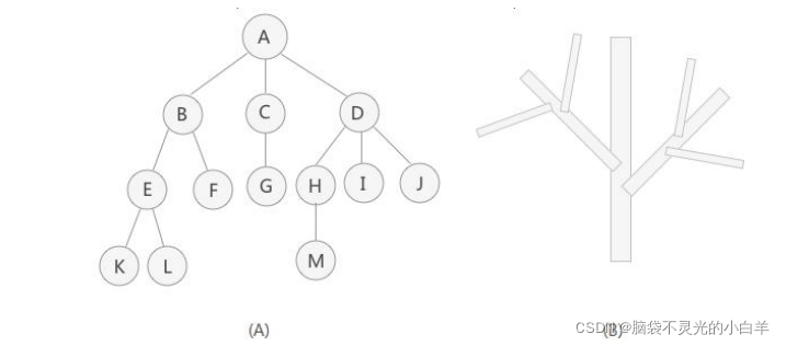
三、 树形结构
1 树形结构简介
树结构是一种非线性存储结构,存储的是具有“一对多”关系的数据元素的集合。
2 树的相关术语
2.1结点(Node)
使用树结构存储的每一个数据元素都被称为“结点”。
2.2结点的度(Degree of Node)
某个结点所拥有的子树的个数。
2.3树的深度(Degree of Tree)
树中结点的最大层次数。
2.4叶子结点(Leaf Node)
度为 0 的结点,也叫终端结点。
2.5分支结点(Branch Node)
度不为 0 的结点,也叫非终端结点或内部结点。
2.6孩子(Child)
也可称之为子树或者子结点,表示当前结点下层的直接结点。
2.7双亲(Parent)
也可称之为父结点,表示当前结点的直接上层结点。
2.8根节点(Root Node)
没有双亲结点的结点。在一个树形结构中只有一个根节点。
2.9祖先(Ancestor)
从当前结点上层的所有结点。
2.10子孙(Descendant)
当前结点下层的所有结点。
2.11兄弟(Brother)
同一双亲的孩子。
3 二叉树简介
二叉树(Binary Tree)是树形结构的一个重要类型。许多实际问题抽象出来的数据结构往往是二叉树形式,即使是一般的树也能简单地转换为二叉树,而且二叉树的存储结构及其算法都较为简单,因此二叉树显得特别重要。二叉树特点是每个结点最多只能有两棵子树,且有左右之分。
3.1二叉树分类
3.1.1 满二叉树
满二叉树指除最后一层外,每一层上的所有节点都有两个子节点。
3.1.2 完全二叉树
完全二叉树,除最后一层可能不满以外,其他各层都达到该层节点的最大数,最后一层如果不满,该层所有节点都全部靠左排。
3.2二叉树遍历
二叉树遍历的方式:
- 前序遍历:根-左-右
- 中序遍历:左-根-右
- 后序遍历:左-右-根
- 层序遍历:从上至下逐层遍历
3.2.1 前序遍历
前序遍历顺序:根-左-右
3.2.2 中序遍历
中序遍历顺序:左-根-右
3.2.3 后序遍历
后序遍历顺序:左-右-根
3.2.4 层序遍历
层序遍历顺序:
从根节点出发,依次访问左右孩子结点,再从左右孩子出发,依次它们的孩子结点,直到节点访问完毕。
3.3二叉树排序
3.3.1 二叉树排序分析
利用二叉树结构以及遍历方式可以实现基于二叉树的元素排序处理。
3.3.2 二叉树排序实现
3.3.2.1 创建二叉树排序器类
/**
* 基于二叉树结构实现元素排序处理的排序器
*/
public class BinaryTreeSort<E extends Integer> {
/**
* 将元素添加到排序器中
*/
public void add(E element){
}
/**
* 对元素进行排序
*/
public void sort(){
}
public static void main(String[] args) {
}
}
3.3.2.2 创建结点类
/**
* 定义结点类
*/
class Node<E extends Integer>{
private E item;//存放元素
private Node left;//存放左子树地址
private Node right;//存放右子树地址
Node(E item){
this.item = item;
}
/**
* 添加结点
*/
public void addNode(Node node){
//完成新结点中的元素与当前结点中的元素的判断.
//如果新结点中的元素小于当前结点中的元素,那么新结点则放到当前结点的左子树中。
if(node.item.intValue() < this.item.intValue()){
if(this.left == null)
this.left = node;
else
this.left.addNode(node);
}else{
//如果新结点中的元素大于当前结点中的元素,那么新结点则放到当前结点
的右子树中。
if(this.right == null)
this.right = node;
else
this.right.addNode(node);
}
}
/**
* 使用中序遍历二叉树
*/
public void inorderTraversal(){
//找到最左侧的那个结点
if(this.left != null)this.left.inorderTraversal();
System.out.println(this.item);
if(this.right != null)this.right.inorderTraversal();
}
}
3.3.2.3 实现向排序器中添加元素方法
/**
* 将元素添加到排序器中
*/
public void add(E element){
//实例化结点对象
Node<E> node = new Node<>(element);
//判断当前二叉树中是否有根结点。如果没有那么新结点则为根结点
if(this.root == null)
this.root = node;
else
this.root.addNode(node);
}
3.3.2.4 实现排序器中排序方法
/**
* 对元素进行排序
*/
public void sort(){
//判断根结点是否为空
if(this.root == null)return ;
this.root.inorderTraversal();
}
4 自定义树形结构容器
4.1树形结构定义
能够找到当前结点的父结点
能够找到当前结点的子结点
能够找到当前结点的兄弟结点
能够找到当前结点的祖先结点
能够找到当前结点的子孙节点
4.2自定义树形结构分析

4.3实现自定义树形结构容器
4.3.1 创建树形结构容器类
/**
* 基于树形结构实现元素存储的容器
*/
public class MyTree<E> {
/**
* 向容器中添加元素
*/
public void add(E parent,E item){
}
/**
* 获取当前结点的父结点
*/
public E getParent(E item){
return null;
}
/**
* 获取当前结点的子结点
*/
public List<E> getChild(E item){
return null;
}
/**
* 获取当前结点的兄弟结点
*/
public List<E> getBrother(E item){
return null;
}
/**
* 获取当前结点的祖先结点
*/
public List<E> getForefathers(E item){
return null;
}
/**
* 获取当前结点的子孙结点
*/
public List<E> getGrandChildren(E item){
return null;
}
public static void main(String[] args) {
}
}
4.3.2 实现添加元素方法
private Map<E,E> map = new HashMap<>();//String--->String
private Map<E,List<E>> map2 = new HashMap<>();//String ---->List
/**
* 向容器中添加元素
*/
public void add(E parent,E item){
//完成在单结点之间映射
this.map.put(item,parent);
//完成多结点之间映射
List<E> list = this.map2.get(parent);
//判断当前结点下是否含有子结点,如果没有则创建一个新的 List
if(list == null){
list = new ArrayList<>();
this.map2.put(parent,list);
}
list.add(item);
}
4.3.3 获取当前结点的父结点与子结点
4.3.3.1 获取父结点
/**
* 获取当前结点的父结点
*/
public E getParent(E item){
return this.map.get(item);
}
4.3.3.2 获取子结点
/**
* 获取当前结点的子结点
*/
public List<E> getChild(E item){
return this.map2.get(item);
}
4.3.4 获取当前结点的兄弟结点
/**
* 获取当前结点的兄弟结点
*/
public List<E> getBrother(E item){
//获取当前结点的父结点
E parent = this.getParent(item);
//获取当前父结点的所有的子结点
List<E> list = this.getChild(parent);
List<E> brother = new ArrayList<>();
if(list != null){
brother.addAll(list);
brother.remove(item);
}
return brother;
}
4.3.5 获取当前结点的祖先结点
/**
* 获取当前结点的祖先结点
*/
public List<E> getForefathers(E item){
//获取当前结点的父结点
E parent = this.getParent(item);
//结束递归的边界条件
if(parent == null){
return new ArrayList<>();
}
//递归调用,再次获取当前结点父结点的父结点
List<E> list = this.getForefathers(parent);
//将递归到的所有结点元素添加到返回的 List 中
list.add(parent);
return list;
}
4.3.6 获取当前结点的子孙节点
/**
* 获取当前结点的子孙结点
*/
public List<E> getGrandChildren(E item){
//存放所有子孙结点中的元素
List<E> list = new ArrayList<>();
//获取当前结点的子结点
List<E> child = this.getChild(item);
//结束递归的边界条件
if (child == null){
return list;
}
//遍历子结点
for(int i=0;i<child.size();i++){
//获取节点中的元素
E ele = child.get(i);
List<E> temp = this.getGrandChildren(ele);
list.add(ele);
list.addAll(temp);
}
return list;
}
4.3.7 测试自定义容器
public static void main(String[] args) {
//实例化容器
MyTree<String> myTree = new MyTree<>();
//添加元素
myTree.add("root","生物");
myTree.add("生物","植物");
myTree.add("生物","动物");
myTree.add("生物","菌类");
myTree.add("动物","脊椎动物");
myTree.add("动物","脊索动物");
myTree.add("动物","腔肠动物");
myTree.add("脊椎动物","哺乳动物");
myTree.add("脊椎动物","鱼类");
myTree.add("哺乳动物","猫");
myTree.add("哺乳动物","牛");
myTree.add("哺乳动物","人");
System.out.println("---------获取父结点---------");
String parent = myTree.getParent("鱼类");
System.out.println(parent);
System.out.println("---------获取子结点---------");
List<String> child= myTree.getChild("动物");
for(int i=0;i<child.size();i++){
System.out.println(child.get(i));
}
System.out.println("---------获取兄弟结点---------");
List<String> brother = myTree.getBrother("脊椎动物");
for(int i=0;i<brother.size();i++){
System.out.println(brother.get(i));
}
System.out.println("---------获取祖先结点---------");
List<String> foreFathers = myTree.getForefathers("人");
for(int i=0;i<foreFathers.size();i++){
System.out.println(foreFathers.get(i));
}
System.out.println("---------获取子孙结点---------");
List<String> grandChildren = myTree.getGrandChildren("root");
for(int i =0;i<grandChildren.size();i++){
System.out.println(grandChildren.get(i));
}
}