
其中,f(t)称为原函数,F(s)称为象函数。 一个函数可以进行拉氏变换的充要条件为:(1)在t<0时,f(t)=0; (2)在t≥0的任一有限区间内,f(t)是分段连续的; (3)当t→﹢∞时,f(t)的增长速度不超过某一指数函数,即:
接下来为大家介绍几种常见的时间常数拉氏变换,大家在看下面几种时间常数拉氏变换的时候可将几个时间常数与这三个条件一一对应,有助于理解记忆。 1、单位脉冲函数 单位脉冲函数数学表达式为:
其对应的图像为:
我们来看一个脉冲信号:
从图中可看出,脉冲函数就像脉冲信号一样,在时间的一个微段dt内,信号强度快速增长,可达到无穷大,而单位脉冲函数指的是其微段dt与增长的高度的乘积为1,即h(dt)=1。 其拉氏变换为:
该函数有一个重要性质:
f(t)为任意连续函数,当f(t)=e^(-st)时,该性质即可看为单位脉冲函数的拉氏变换。 2、单位阶跃函数 单位阶跃函数的数学表达式为:
其函数图像为:
其拉氏变换为:
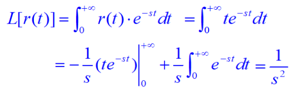
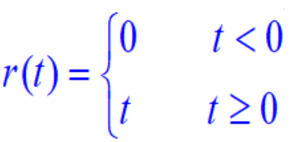
3、单位斜坡函数 单位斜坡函数的数学表达式为:
函数图像为:
其拉氏变换为:
其被积函数为幂函数与指数函数乘积,使用分部积分法求解(反对幂三指) ,这只是推到过程,我们使用的时候只需记住t的拉氏变换为1/s^2即可。 4、单位加速度函数 单位加速度函数的数学表达式为:
其函数图像为:
其拉氏变换为:
求解过程与单位斜坡函数的拉氏变换求解过程相同,这里只需记住1/2T^2的拉氏变换为1/s^3。
5、指数函数 指数函数的数学表达式为:
其函数图像为:
其拉氏变换为:
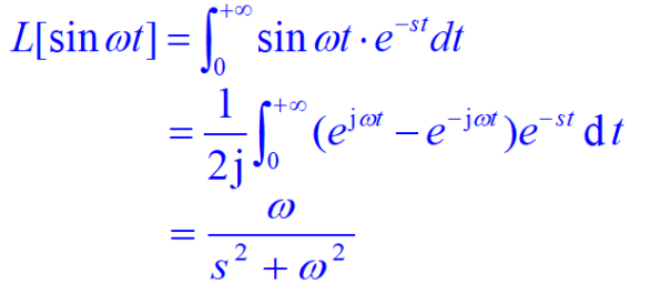
求解过程为凑微分法。 6、正弦函数 正弦函数的数学表达式为:
其拉氏变换为:
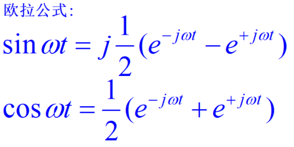
求解时先使用欧拉公式将正弦函数变为指数函数,再凑微分,欧拉公式为:
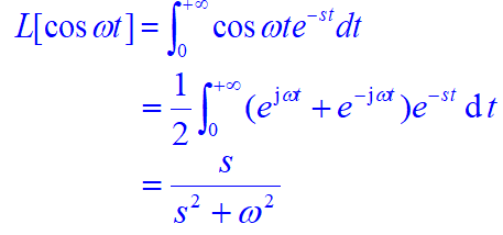
7、余弦函数 余弦函数的数学表达式为:
其拉氏变换为:
8、幂函数 幂函数的数学表达式为:
其拉氏变换为:
求解时使用换元法,令u=st。 将n=0,1,2带入即为单位阶跃函数、单位斜坡函数与单位加速度函数的拉氏变换公式。 由于求解过程过长,使用公式编辑器时过于繁琐,所以只写了求解的大概思路,如需详细求解过程,可私信小编,发送手写求解过程。☞ 本文作者:知识旅途 ☞ 责任编辑:Chico (微信18221669001)

版权声明:本文为weixin_39796116原创文章,遵循CC 4.0 BY-SA版权协议,转载请附上原文出处链接和本声明。