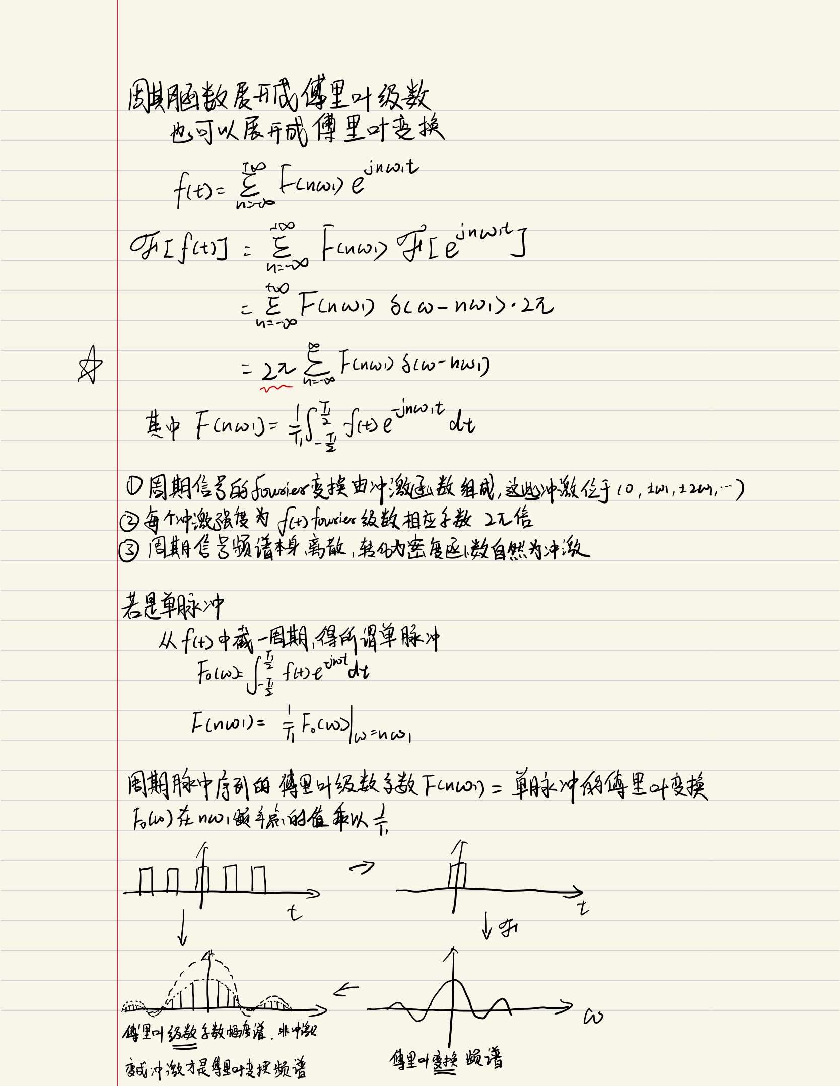
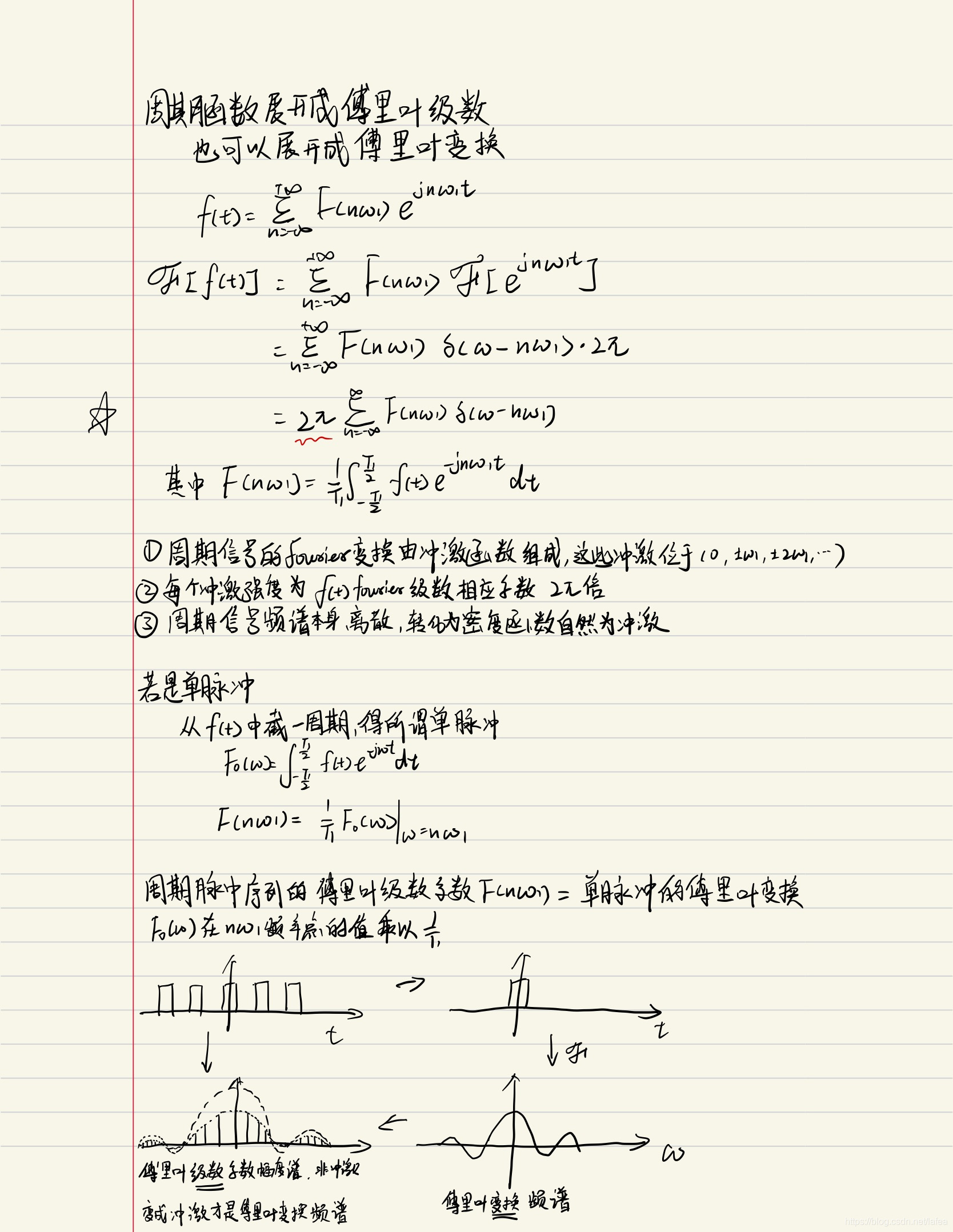
前言与注意点
直 流 分 量 ≠ 基 波 谱 线 间 隔 : 不 含 直 流 : 1 T 含 直 流 : 2 T = 带 宽 幅 度 谱 就 是 c n 或 d n 的 谱 相 位 谱 就 是 φ n 或 θ n 的 谱 直流分量\ne 基波\\\ \\ 谱线间隔:不含直流:\frac 1 T\\ 含直流:\frac 2 T=带宽\\\ \\ 幅度谱就是c_n或d_n的谱\\ 相位谱就是\varphi_n或\theta_n的谱直流分量=基波 谱线间隔:不含直流:T1含直流:T2=带宽 幅度谱就是cn或dn的谱相位谱就是φn或θn的谱
一、常用公式
f ( t ) = a 0 + ∑ n = 1 [ a n cos ( n ω 1 t ) + b n sin ( n ω 1 t ) ] 直 流 分 量 : a 0 = 1 T 1 ∫ t 0 t 0 + T 1 f ( t ) d t 余 弦 分 量 幅 度 : a n = 2 T 1 ∫ t 0 t 0 + T 1 f ( t ) cos ( n ω 1 t ) d t 正 弦 分 量 幅 度 : b n = 2 T 1 ∫ t 0 t 0 + T 1 f ( t ) sin ( n ω 1 t ) d t n = 1 , 2 , 3 , ⋯ 满 足 D i r i c h l e t 条 件 f(t)=a_0+\sum_{n=1}[a_n\cos(n\omega_1t)+b_n\sin(n\omega_1t)]\\\ \\ 直流分量:a_0=\frac 1 {T_1}\int_{t_0}^{t_0+T_1}f(t)dt\\\ \\ 余弦分量幅度:a_n=\frac 2 {T_1}\int_{t_0}^{t_0+T_1}f(t)\cos(n\omega_1t)dt\\\ \\ 正弦分量幅度:b_n=\frac 2 {T_1}\int_{t_0}^{t_0+T_1}f(t)\sin(n\omega_1t)dt\\\ \\ n=1,2,3,\cdots\\\ \\ 满足Dirichlet条件f(t)=a0+n=1∑[ancos(nω1t)+bnsin(nω1t)] 直流分量:a0=T11∫t0t0+T1f(t)dt 余弦分量幅度:an=T12∫t0t0+T1f(t)cos(nω1t)dt 正弦分量幅度:bn=T12∫t0t0+T1f(t)sin(nω1t)dt n=1,2,3,⋯ 满足Dirichlet条件
余 弦 形 式 : f ( t ) = c 0 + ∑ n = 1 ∞ c n cos ( n ω 1 t + φ n ) 正 弦 形 式 : f ( t ) = d 0 + ∑ n = 1 ∞ d n sin ( n ω 1 t + θ n ) a 0 = c 0 = d 0 c n = d n = a n 2 + b n 2 a n = c n cos φ n = d n sin θ n b n = − c n sin φ n = d n cos θ n tan θ n = a n b n tan φ n = − b n a n n = 1 , 2 , ⋯ 余弦形式:\\ f(t)=c_0+\sum_{n=1}^\infty c_n\cos(n\omega_1t+\varphi_n)\\\ \\ 正弦形式:\\ f(t)=d_0+\sum_{n=1}^\infty d_n\sin(n\omega_1t+\theta_n)\\\ \\ a_0=c_0=d_0\\ c_n=d_n=\sqrt{a_n^2+b_n^2}\\ a_n=c_n\cos\varphi_n=d_n\sin\theta_n\\ b_n=-c_n\sin\varphi_n=d_n\cos\theta_n\\\ \\ \tan\theta_n=\frac{a_n}{b_n}\\\ \\ \tan\varphi_n=-\frac{b_n}{a_n}\\ n=1,2,\cdots余弦形式:f(t)=c0+n=1∑∞cncos(nω1t+φn) 正弦形式:f(t)=d0+n=1∑∞dnsin(nω1t+θn) a0=c0=d0cn=dn=an2+bn2an=cncosφn=dnsinθnbn=−cnsinφn=dncosθn tanθn=bnan tanφn=−anbnn=1,2,⋯
指 数 形 式 : f ( t ) = ∑ n = − ∞ ∞ F ( n ω 1 ) e j n ω 1 t F ( n ω 1 ) = 1 T 1 ∫ t 0 t 0 + T 1 f ( t ) e − j n ω 1 t d t F ( n ω 1 ) = { 1 2 ( a n − j b n ) , n > 0 1 2 ( a n + j b n ) , n < 0 F 0 = a 0 = c 0 = d 0 ∣ F n ∣ = ∣ F − n ∣ = 1 2 c n = 1 2 d n = 1 2 a n 2 + b n 2 a n = F n + F − n b n = j ( F n − F − n ) a n 2 + b n 2 = 4 F n F − n n = 1 , 2 , ⋯ 指数形式:\\\ \\ f(t)=\sum_{n=-\infty}^{\infty}F(n\omega_1)e^{jn\omega_1t}\\\ \\ F(n\omega_1)=\frac 1 {T_1}\int_{t_0}^{t_0+T_1}f(t)e^{-jn\omega_1t}dt\\\ \\ F(n\omega_1)= \begin{cases} \frac 1 2(a_n-jb_n), & n>0 \\ \frac 1 2(a_n+jb_n), & n<0 \\ \end{cases}\\\ \\ F_0=a_0=c_0=d_0\\ |F_n|=|F_{-n}|=\frac 1 2 c_n=\frac 1 2 d_n=\frac 1 2 \sqrt{a_n^2+b_n^2}\\\ \\ a_n=F_n+F_{-n}\\\ \\ b_n=j(F_n-F_{-n})\\\ \\ a_n^2+b_n^2=4F_nF_{-n}\\ n=1,2,\cdots指数形式: f(t)=n=−∞∑∞F(nω1)ejnω1t F(nω1)=T11∫t0t0+T1f(t)e−jnω1tdt F(nω1)={21(an−jbn),21(an+jbn),n>0n<0 F0=a0=c0=d0∣Fn∣=∣F−n∣=21cn=21dn=21an2+bn2 an=Fn+F−n bn=j(Fn−F−n) an2+bn2=4FnF−nn=1,2,⋯
P = f 2 ( t ) ‾ = 1 T 1 ∫ t 0 t 0 + T 1 f 2 ( t ) d t = a 0 2 + 1 2 ∑ n = 1 ∞ ( a n 2 + b n 2 ) = c 0 2 + 1 2 ∑ n = 1 ∞ c n 2 = ∑ n = − ∞ ∞ ∣ F n ∣ 2 P=\overline{f^2(t)}=\frac 1 {T_1}\int_{t_0}^{t_0+T_1}f^2(t)dt\\\ \\ =a_0^2+\frac1 2\sum_{n=1}^\infty(a_n^2+b_n^2)\\\ \\ =c_0^2+\frac 1 2\sum_{n=1}^\infty c_n^2\\\ \\ =\sum_{n=-\infty}^\infty|F_n|^2P=f2(t)=T11∫t0t0+T1f2(t)dt =a02+21n=1∑∞(an2+bn2) =c02+21n=1∑∞cn2 =n=−∞∑∞∣Fn∣2
二、奇函数,偶函数,奇谐信号,偶谐信号
∗ ∗ 忽 略 掉 直 流 量 来 看 ∗ ∗ 奇 函 数 : f ( t ) = − f ( − t ) , a n = 0 奇 谐 信 号 : f ( t ) = − f ( t ± T 2 ) , n = 1 , 3 , ⋯ ∗ ∗ 可 以 不 忽 略 直 流 量 来 看 ∗ ∗ 偶 函 数 : f ( t ) = f ( − t ) , b n = 0 偶 谐 信 号 : f ( t ) = f ( t ± T 2 ) , n = 2 , 4 , ⋯ **忽略掉直流量来看**\\\ \\ 奇函数:f(t)=-f(-t),a_n=0\\\ \\ 奇谐信号:f(t)=-f(t\pm\frac T 2),n=1,3,\cdots\\\ \\ **可以不忽略直流量来看**\\\ \\ 偶函数:f(t)=f(-t),b_n=0\\\ \\ 偶谐信号:f(t)=f(t\pm\frac T 2),n=2,4,\cdots\\\ \\∗∗忽略掉直流量来看∗∗ 奇函数:f(t)=−f(−t),an=0 奇谐信号:f(t)=−f(t±2T),n=1,3,⋯ ∗∗可以不忽略直流量来看∗∗ 偶函数:f(t)=f(−t),bn=0 偶谐信号:f(t)=f(t±2T),n=2,4,⋯
对 任 意 周 期 信 号 f ( t ) = f ( t + T ) 可 以 构 造 出 奇 谐 信 号 : F 1 ( t ) = − f ( t − T 2 ) + f ( t ) 可 以 构 造 出 偶 谐 信 号 : F 2 ( t ) = f ( t − T 4 ) + f ( t + T 4 ) 根 据 定 义 带 入 即 可 证 明 ∗ ∗ 对 于 非 奇 谐 非 偶 谐 的 周 期 信 号 f ( t ) ∗ ∗ F 1 ( t ) 仅 仅 能 提 供 f 的 奇 谐 部 分 F 2 ( t ) 仅 仅 能 提 供 f 的 偶 谐 部 分 把 这 两 个 部 分 相 加 才 是 信 号 f ( 别 漏 直 流 量 ) 对任意周期信号\\ f(t)=f(t+T)\\\ \\ 可以构造出奇谐信号:\\ F_1(t)=-f(t-\frac T 2)+f(t)\\\ \\ 可以构造出偶谐信号:\\ F_2(t)=f(t-\frac T 4)+f(t+\frac T 4)\\\ \\ 根据定义带入即可证明\\\ \\ **对于非奇谐非偶谐的周期信号f(t)**\\\ \\ F_1(t)仅仅能提供f的奇谐部分\\ F_2(t)仅仅能提供f的偶谐部分\\ 把这两个部分相加才是信号f(别漏直流量)对任意周期信号f(t)=f(t+T) 可以构造出奇谐信号:F1(t)=−f(t−2T)+f(t) 可以构造出偶谐信号:F2(t)=f(t−4T)+f(t+4T) 根据定义带入即可证明 ∗∗对于非奇谐非偶谐的周期信号f(t)∗∗ F1(t)仅仅能提供f的奇谐部分F2(t)仅仅能提供f的偶谐部分把这两个部分相加才是信号f(别漏直流量)
三、常见傅里叶级数
奇 函 数 矩 形 脉 冲 : m a x : E 2 , m i n : − E 2 f 1 ( t ) = ∑ n = 1 , 3 , ⋯ ∞ 2 E n π sin ( n ω 1 t ) 奇函数矩形脉冲:max :\frac E 2 ,min :-\frac E 2\\ f_1(t)=\sum_{n=1,3,\cdots}^\infty\frac {2E}{n\pi}\sin(n\omega_1t)\\\ \\奇函数矩形脉冲:max:2E,min:−2Ef1(t)=n=1,3,⋯∑∞nπ2Esin(nω1t) 周 期 矩 形 波 : m a x : E , m i n : 0 , 偶 函 数 f 2 ( 0 ) = E f 2 ( t ) = E τ T 1 + ∑ n = 1 ∞ 2 E n π sin ( n π τ T 1 ) cos ( n ω 1 t ) 周期矩形波:max: E , min: 0,\\偶函数f_2(0)=E\\ f_2(t)=\frac{E\tau}{T_1}+\sum_{n=1}^{\infty}\frac{2E}{n\pi}\sin(\frac {n\pi\tau}{T_1})\cos(n\omega_1t)\\\ \\周期矩形波:max:E,min:0,偶函数f2(0)=Ef2(t)=T1Eτ+n=1∑∞nπ2Esin(T1nπτ)cos(nω1t) 周 期 偶 函 数 三 角 信 号 : m a x : E , m i n : 0 , 偶 函 数 f 3 ( 0 ) = 0 f 3 ( t ) = E 2 − ∑ n = 1 , 3 , ⋯ ∞ 4 E n 2 π 2 cos ( n ω 1 t ) 周期偶函数三角信号:max: E , min: 0,\\偶函数f_3(0)=0\\ f_3(t)=\frac E 2-\sum_{n=1,3,\cdots}^\infty\frac{4E}{n^2\pi^2}\cos(n\omega_1t)\\\ \\周期偶函数三角信号:max:E,min:0,偶函数f3(0)=0f3(t)=2E−n=1,3,⋯∑∞n2π24Ecos(nω1t) 半 余 弦 波 信 号 : m a x : E , m i n : 0 偶 函 数 f 4 ( 0 ) = E f 4 ( t ) = E π + E 2 cos ( ω 1 t ) + ∑ n = 2 , 4 , ⋯ ∞ ( − 1 ) n 2 2 E ( 1 − n 2 ) π cos ( n ω 1 t ) f 4 ( t ) = cos ( ω 1 t ) ⋅ f 2 ( t ) 半余弦波信号:max: E , min: 0\\偶函数f_4(0)=E\\ f_4(t)=\frac E \pi+\frac E 2\cos(\omega_1t)+\sum_{n=2,4,\cdots}^\infty(-1)^{\frac n 2}\frac{2E}{(1-n^2)\pi}\cos(n\omega_1t)\\\ \\ f_4(t)=\cos(\omega_1t)\cdot f_2(t)半余弦波信号:max:E,min:0偶函数f4(0)=Ef4(t)=πE+2Ecos(ω1t)+n=2,4,⋯∑∞(−1)2n(1−n2)π2Ecos(nω1t) f4(t)=cos(ω1t)⋅f2(t)半 余 弦 切 顶 脉 冲 信 号 : m a x : E , m i n : 0 偶 函 数 f 5 ( 0 ) = E f 5 ( t ) = E cos ( ω 1 t ) − cos θ 1 − cos θ 半余弦切顶脉冲信号:max: E , min: 0\\偶函数f_5(0)=E\\ f_5(t)=E\frac{\cos(\omega_1t)-\cos\theta}{1-\cos \theta}\\\ \\半余弦切顶脉冲信号:max:E,min:0偶函数f5(0)=Ef5(t)=E1−cosθcos(ω1t)−cosθ
笔记








