原文:https://blog.csdn.net/sy243772901/article/details/82108816
导师研究的课题是永磁同步电机的控制,首先给我安排的任务就是将其矢量控制系统仿真搭建出来。本文记录矢量控制系统学习过程。因为是初学我的理解可能不够,其中每个内容的出处都会在文章内标注出来,大家可以参考原文原著。
1、永磁同步电机的数学模型 (参考于解小刚、陈进采用Id=0永磁同步电机矢量控制文章)
永磁同步电机是一个非线性系统,具有多变量、强耦合的特点。我们对其分析的时候有以下假设:
忽略铁芯饱和,不计涡流和磁滞损耗
忽略换相过程中的电枢反应
转子上无阻尼绕组,永磁体无阻尼作用
永磁体产生的磁场和三相绕组产生的感应磁场呈正弦分布
定子绕组电流在气隙中只产生正弦分布的磁势,无高次谐波
按照电动机应用建模
在此理想条件下:
1.1 永磁同步电机在三相静止坐标系下定子电压方程:(下图有误,定子磁链要求个导)
式中Rs为电枢电阻,ψa ψb ψc分别为abc三相磁链,ia ib ic 分别为其 abc三相的相电流。
1.2 三相静止坐标系下磁链方程
其中Laa、Lbb、Lcc为各相绕组自感,且Laa=Lbb=Lcc,式中Mab等为绕组之间互感且均相等。ψf是永磁体磁链,θ为转子N极和a相轴线之间的夹角。
经过CLARK和PARK左边变换后,得到其在dq坐标系下的数学模型:
1.3 dq坐标系下电压方程
其中ud、uq为dq轴电压,id、iq为dq轴电流,ψd、ψq为dq轴磁链,Ld、Lq为dq轴电感,we为转速。
1.4 dq坐标系下磁链方程
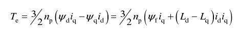
1.5 转矩方程
从上1.5中转矩方程可以看出,电磁转矩由两个部分组成,第一项是永磁体和定子绕组磁链之间相互作用产生,第二项则是由磁阻变化而产生的。这里我们需要区分一下凸极和隐极电机的区别,隐极电机由于Lq=Ld,所以磁阻变化转矩是凸极电机特有的,我们在搭建仿真的时候也需要注意这的电机类型。小结:
永磁同步电机的数学模型解释了其内部构成,有助于我们设计控制策略,我们进行坐标变换和PI参数整定时都需要对其数学模型进行分析,很重要,很重要,很重要,说三遍!!!