基本术语
(会一直更新)
数乘:矩阵对应元素相乘,乘出结果相加 ,得到的结果是一个数
算法利弊
梯度下降算法
只能找到局部最优,不能找到全局最优
但是神经网络中经常使用梯度下降法,因为神经网络中局部最优点很少
(对每一个点求loss,求和后再更新w的值,因此可以并行计算)
随机梯度下降算法
对每一个点求loss后立刻更新w的值,不能并行计算,计算速度相对梯度下降来说比较慢。可以克服局部最优的缺陷
鞍点
O点为鞍点,导数为0

画图函数
import matplotlib.pyplot as plt
plt.plot(w_list,mse_list) #填入横纵坐标数据
plt.ylabel("loss") #纵坐标名称
plt.xlabel("w") #横坐标名称
plt.show()
PyTorch入门
生成张量矩阵
torch.empty(5,3) #生成一个未初始化的5行3列矩阵
torch.rand(5,3) #生成一个初始化的5行3列矩阵
torch.zeros(5,3,dtype=torch.long) #生成一个全零的5行3列矩阵, 数据类型为long,也可设置为int
x=torch.tensor([2.5,3.5]) #直接将数据封装为张量
y=torch.rand_like(x,dtype=torch.float) #复制张量x得到相同尺寸的新张量,但是数据随机初始化
torch.ones(2,2) # 生成一个2*2 全为1的矩阵
x.new_ones(5,3,dtype=torch.float) #生成一个5行3列全为1的矩阵
x.size() #或者使用x.shape() 得出张量的尺寸
加法 * - /类似
a+b
torch.add(a,b)
torch.add(a,b, out=result) #将结果存到result中,并打印结果
b.add_(a) # a+b的结果直接赋给b ,并打印结果
求均值
x.mean()
判断相等 只是比较数据
# 判断里面的每一个值是否相等
x.eq(y)
# 判断所有是否相等
x.eq(y).all()
切片
a[1:3,1:3] # 行和列都可以进行切片
改变张量的形状 ,保证元素的总数量不变
torch.view()
# 或者 torch.reshape()
torch 的 Tensor 与 NumPy 数组的相互转换
b=a.numpy() # 将Tensor 转换为Nympy数组 b和a共享内存
b=torch.from_numpy(a) # 将Nympy数组 转换为Nympy数组Tensor b和a共享内存
Nympy操作
np.add(a,1,out=a) #Nympy在自己基础上加一,与torch中 a.add_(1)相同
!! 所有在CPU上的Tensors,除了CharTensor,都可以转换为Numpy array并可以反向转换.
pytorch 对a进行转置
# 转置后 b和a仍然用同一个存储区
b=a.permute(1,0)
求实际存储的相距位置
a.stride()
#例子
# a=tensor([[0, 1, 2],
# [3, 4, 5],
# [6, 7, 8]])
# a.stride() =(3,1)
#行数据相距3个,列数据相距1个 (在实际的存储结构中)
查看存储的地址
a.data_ptr()
查看storage的数据
a.storage()
转换成连续存储的
# 转置,并转换为符合连续性条件的tensor ,contiguous 会开辟一个新的存储空间
b = a.permute(1, 0).contiguous()
view 与 reshape 的区别
# reshape方法更强大,可以认为a.reshape = a.view() + a.contiguous().view()
#满足tensor连续性条件时,a.reshape返回的结果与a.view()相同,否则返回的结果与a.contiguous().view()相同
PyTorch Autograd自动求导
autograd包为Tensors上的所有操作提供了自动求导机制
# 注意
w.requires_grad=True # Tensor has to be set to True
# 可以通过.detach()获得一个新的Tensor,拥有相同的内容但不需要自动求导.
print(x.requires_grad) # true
y=x.detach()
print(y.requires_grad) # false
# 终止对计算机图的回溯
# 方式一:
with torch.no_grad(): # 建议使用这种方式
# 操作
# 方式二:
x=x.detach()
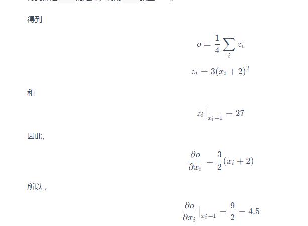
求梯度例子
>>> y = x + 2
>>> z = y * y * 3
>>> out = z.mean()
>>> out.backward()
>>> out
tensor(27., grad_fn=<MeanBackward0>) # grad_fn 表示执行了哪些操作
>>> x.grad
tensor([[4.5000, 4.5000],
[4.5000, 4.5000]])
## out对x求导
out.backward()
# 获得求导后的结果
w.grad
## 防止产生计算图
w.data 获得的还是Tensor,但是可以防止产生计算图
#例如,权重更新要使用data,不能直接使用张量
w.data=w.data-0.01 * w.grad.data
# 获取Tensor的数值
w.item() 获得的是数值 不是Tensor
# 例如 a 是 tensor([-8.])
a.item() # 得到 -8
# 清空w的梯度值(把w的导数清零)
w.grad.data.zero_()

关于文本处理



构建计算图

构建模型的模板

pytroch中的各种优化器

相应的模型函数

各种函数模型
模型函数看上图 “相应的模型函数”
1、Linear Unit
公式: y = x* wT+ b (wT表示w的转置)
torch.nn.Linear(2,3) ## 生成一个3行 2列的weight ,weight的值是随机产生的位于 -1 ~ 1之间
2、Logistic Regression Unit (sigmoid)


y_pred=torch.sigmoid(x)
3、Binary Cross

torch.nn.BCELoss(x,y)
4、SGD
Implements stochastic gradient descent (optionally with momentum).
inorder to update w.data

torch.optim.SGD(model.parameters(),lr=0.01)
5、Softmax

6、Softmax 计算公式

7、NLLLOSS
# 结果只与输入的 数据有关
## 将选取input_softmax中与 target对应的数据加负号 求和 取平均数
output = nn.NLLLoss(input_softmax, target)

where x is the input, y* is the target, w* is the weight, and N is the batch size. If reduction is not 'none' (default 'mean'), then
[外链图片转存失败,源站可能有防盗链机制,建议将图片保存下来直接上传(img-sJrGWtxa-1636725888431)(F:\Desktop\NLP\编程学习\编程\img\image-20211102191241343.png)]
8、CrossEntropyLoss

where x is the input, y is the target, w is the weight, C* is the number of classes, and N* spans the minibatch dimension as well as d*1,…,d**k for the K-dimensional case. If reduction is not 'none' (default 'mean'), then
9、Relu
负数改为0,正数不变


- Input :(∗), where *∗ means any number of dimensions.
- Output : (∗), same shape as the input.

模型构建的四部
Prepare dataset
Design model using Class
inherit from nn.Module
Construct loss and optimizer
using PyTorch API
Training cycle
forward , backward , update
卷积神经网络CNN
Conv2d 卷积层
torch.nn.Conv2d()
卷积核与input内数据直接点乘,相加求和

# 输出测试结果,kernel_size=3 , (padding=0 填充 , strid=1 步长 :都是默认值)
input: torch.Size([1, 2, 5, 5])
output: torch.Size([1, 10, 3, 3])
weight: torch.Size([10, 2, 3, 3])
MaxPool2d 池化层
torch.nn.MaxPool2d()
直接获得卷积核内的最大值,作为结果

1x1的卷积
对应相乘、相加,不改变宽和高

循环神经网络RNN
RNNCell,只执行一次

RNN会自动帮你做循环
RNN的输入输出形状
