Word2Vec Tutorial
Idea
Word2Vec 是一个可以将单词转换为固定维度向量的工具。
Two model
Skip-Gram(SG)
基本思想
给定中心词,去预测窗口范围内的词。
例如给定句子:
{...,"prolems", "turning", ’into", ’banking", "crises’, "as",...}给定窗口 m = 2 m = 2m=2 ,中心词为
banking。


过程
参数
在开始训练前,把所有的单词以 one-hot 向量表示,输入中心词 x 的时候就是输入该词的 one-hot 向量表示,在输出预测词 y ′ y'y′ 的时候是一个概率向量,这个后面会讲,但是这个预测词对应的真实标签 y yy 则是一个 one-hot 向量。
每个词 w i w_{i}wi 都分别有 v i v_{i}vi 和 u i u_{i}ui 两个向量表示:
- 当 w i w_{i}wi 作为中心词输入时,使用 v i v_{i}vi 参与计算;
- 当 w i w_{i}wi 作为上下文词时,使用 u i u_{i}ui 参与计算。
所以还需要两个重要的矩阵 V VV 和 U UU ,即模型图中的权重矩阵 W V ∗ N W_{V*N}WV∗N 和 W N ∗ V ′ W'_{N*V} WN∗V′:

n nn 是设定好词向量的维度。
数组 V VV 如下图所示:

数组 U UU 如下图所示:前向过程

后向过程
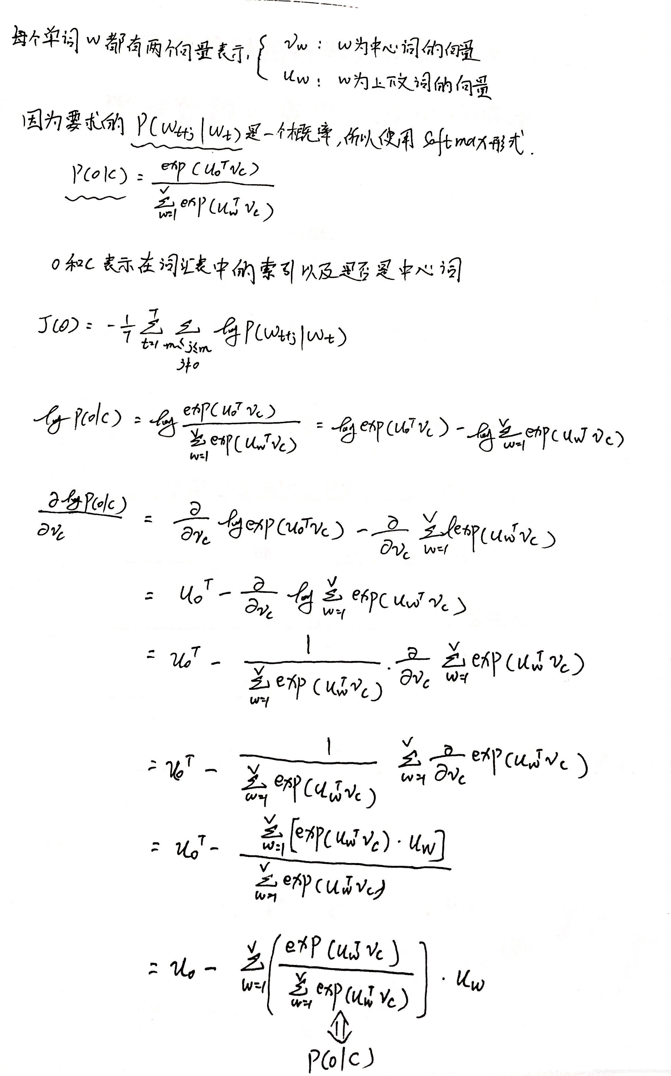
目标函数
单词个数为 T TT ,窗口大小为 m mm ,所有单词的向量表示为 θ \thetaθ 。
目的是通过训练得到合适的 θ \thetaθ , 最大化似然函数 L ( θ ) L(\theta)L(θ) ,即最小化负的对数似然函数 J ( θ ) J(\theta)J(θ) 。

推导过程
对中心词求导:

使用梯度优化算法更新所有的词向量 u c u_{c}uc 和 v j v_{j}vj 。

Continuous Bag of Words(CBOW)
基本思想
给定窗口范围内的词,去预测窗口中间的词。
例如句子:
{"The", "cat", ’jumped", ’over", "the’, "puddle"},窗口大小为 2 ,预测jump的概率。
本质
依次计算输入的中心词 v c v_{c}vc 与窗口内的上下词 u o u_{o}uo 的点积相似度(可换成余弦相似度),并进行 Softmax 归一化。
模型

单词的个数为 V VV,单词向量空间维度为 N NN,上下文单词的个数为 C CC 。
过程
前向过程

简单来说:
- 输入是 C 个上下文词的 one-hot 向量,大小为 C CC 个 [ 1 , V ] [1, V][1,V] 的向量。
- 分别将每个 one-hot 向量与权重矩阵 W V ∗ N W_{V*N}WV∗N 进行点积操作,得到 C CC 个 [ 1 , N ] [1, N][1,N] 的向量,然后累加求平均为一个向量,作为隐层向量的表示。实质上是根据 one-hot 向量中 1 的位置从 W V ∗ N W_{V*N}WV∗N 中取出每个单词的向量进行累加,融合为一个可以表示这些词的总向量。
- 将得到的矩阵与权重矩阵 W N ∗ V ′ W'_{N*V}WN∗V′ 进行点积操作,得到大小为 [ 1 , V ] [1,V][1,V] 的矩阵。实质上是将第二步得到的C个词总向量与 W N ∗ V ′ W'_{N*V}WN∗V′ 中的每一列(每一个单词的向量表示)做点积相似度计算。
- [ 1 , V ] [1,V][1,V] 的矩阵经过 Softmax 函数变换为概率矩阵 y ^ \hat yy^,其中数值最大的那个就代表预测出来的中间词 v c v_{c}vc 的索引。
- 与真实的中间词 v c v_{c}vc 的 one-hot 向量比较,计算误差。
后向过程
前向过程已经说明有了 V VV 和 U UU 向量,即权重矩阵 W V ∗ N W_{V*N}WV∗N 和 W N ∗ V ′ W'_{N*V}WN∗V′ ,模型是如何训练的。后向过程则会说明如何优化参数 V VV 和 U UU 。
使用交叉熵作为损失函数:
H ( y ^ , y ) = − ∑ j = 1 V y j l o g ( y j ^ ) H( \hat{y}, y) = - \sum_{j=1}^{V} y_{j}log(\hat{y_{j}})H(y^,y)=−j=1∑Vyjlog(yj^)
y j ^ \hat{y_{j}}yj^ 的结果是经过 Softmax 计算后的一个概率向量,y j y_{j}yj 则是一个 one-hot 向量。
最小化损失函数:

使用梯度优化算法更新所有的词向量 u c u_{c}uc 和 v j v_{j}vj 。

Two Training methods
Hierarchical softmax
原理
从隐藏层到输出层的 Softmax 时,需要计算 e x p ( u o T v c ) ∑ w = 1 ∣ V ∣ e x p ( u o T v c ) \frac{exp(u_{o}^T v_{c})}{\sum_{w=1}^{\left| V \right|} exp(u_{o}^T v_{c})}∑w=1∣V∣exp(uoTvc)exp(uoTvc) ,然而分母里直接将中心词与所有词进行计算非常耗时,所以就引出了 层次softmax 。
根据单词的个数建立霍夫曼树,作为从隐藏层到实际单词的映射过程,取代了从隐藏层到输出层中 Softmax 的计算结果 y ′ y'y′。
与霍夫曼树编码不同的是,往左时编码为 1,往右时辩吗为 0,刚好和霍夫曼树编码反过来。
每个叶子结点都是一个单词 w ww ,叶子结点总数为词汇表的大小 V VV。
非叶子结点作为其左右子树中所有单词的集合,用符号 θ = n ( w i , k ) \theta =n(w_{i},k)θ=n(wi,k) 表示,k kk 表示该结点属于第几层,θ \thetaθ 是该结点的向量表示。
每一个非叶子结点都要进行一次二分类,既然是二分类,那就用 sigmoid 函数来进行判断。往右走的概率为: σ ( x w , θ ) = 1 1 + e x p ( − x w θ ) \sigma(x_{w}, \theta) = \frac{1}{1 + exp(-x_{w}\theta)}σ(xw,θ)=1+exp(−xwθ)1 ,往坐走的概率为: 1 − σ ( x w , θ ) 1 - \sigma(x_{w}, \theta)1−σ(xw,θ) 。

目标
找到合适的词向量 x w x_{w}xw 和结点 θ \thetaθ ,以找到词 w 2 w_{2}w2 为例,最大化似然函数:
∏ i = 1 3 P ( n ( w 2 , i ) ) = [ 1 − σ ( x w 2 , θ 1 ) ] [ 1 − σ ( x w 2 , θ 2 ) ] σ ( x w 2 , θ 3 ) \prod_{i=1}^{3}P(n(w_{2}, i)) = [1-\sigma(x_{w_{2}},\theta_1)][1-\sigma(x_{w_{2}},\theta_2)]\sigma(x_{w_{2}},\theta_3) i=1∏3P(n(w2,i))=[1−σ(xw2,θ1)][1−σ(xw2,θ2)]σ(xw2,θ3)
所以,给定要寻找的某个输出词 w ww 所经过的某个结点的概率可以定义为:
$$P(d_i|x_w,\theta_{i-1})=
\begin{cases}
1 - \sigma(x_w \theta_{i-1}) & d_i=1
\sigma(x_w \theta_{i-1}) & d_i=0\
\end{cases}$$
其中 d i ∈ { 0 , 1 } , i = 2 , 3 , L ( w ) d_i \in \{0,1\}, i=2,3,L(w)di∈{0,1},i=2,3,L(w) 为霍夫曼编码,i = 1 i=1i=1 为根结点,$L(w) $ 为到词 w ww 的路径中做包含的结点个数。
那么,设对于要查找的某个输出词 w ww 的概率,即最大似然函数为:
∏ i = 2 L ( w ) P ( d i ∣ x w , θ i − 1 ) = ∏ i = 2 L ( w ) [ 1 − σ ( x w ) θ i − 1 ] d i [ σ ( x w ) θ i − 1 ] 1 − d i \prod_{i=2}^{L(w)} P(d_i|x_w,\theta_{i-1}) = \prod_{i=2}^{L(w)}[1-\sigma(x_w)\theta_{i-1}]^{d_{i}} [\sigma(x_w)\theta_{i-1}]^{1-d_{i}} i=2∏L(w)P(di∣xw,θi−1)=i=2∏L(w)[1−σ(xw)θi−1]di[σ(xw)θi−1]1−di
所以,最后的目标函数为负的对数似然函数
L ( x w , θ i ) = l o g ∏ i = 2 L ( w ) P ( d i ∣ x w , θ i − 1 ) = ∑ i = 2 L ( w ) d i l o g [ 1 − σ ( x w ) θ i − 1 ] + d i l o g [ σ ( x w ) θ i − 1 ] L(x_w, \theta_i) = log \prod_{i=2}^{L(w)} P(d_i|x_w,\theta_{i-1}) = \sum_{i=2}^{L(w)} d_i log [1-\sigma(x_w)\theta_{i-1}] + d_i log [\sigma(x_w)\theta_{i-1}] L(xw,θi)=logi=2∏L(w)P(di∣xw,θi−1)=i=2∑L(w)dilog[1−σ(xw)θi−1]+dilog[σ(xw)θi−1]
将其最小化即可:
m i n L ( x w , θ i ) min L(x_w, \theta_i)minL(xw,θi)
优点
- 计算量由 V VV 变为 l o g 2 V log_{2} Vlog2V 。
- 使用频率越高的词离根结点越近,查找时间越短。
Negative sampling
将其最小化即可:
m i n L ( x w , θ i ) min L(x_w, \theta_i)minL(xw,θi)
Negative sampling