1. 问题描述:
给定一个二叉树的根节点 root,请找出该二叉树的最底层最左边节点的值。假设二叉树中至少有一个节点。
示例 1:

输入: root = [2,1,3]
输出: 1
示例 2:

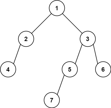
输入: [1,2,3,4,null,5,6,null,null,7]
输出: 7
提示:
二叉树的节点个数的范围是 [1,10 ^ 4]
-2 ^ 31 <= Node.val <= 2 ^ 31 - 1
来源:力扣(LeetCode)
链接:https://leetcode-cn.com/problems/find-bottom-left-tree-value
2. 思路分析:
分析题目可以知道我们可以使用深搜或者宽搜解决,使用宽搜则需要维护一个队列,队列中维护当前节点和当前节点深度的组合(python可以使用元组,c++可以使用结构体),宽搜先搜到的节点一定最左边的节点,我们可以维护当前节点的最大深度maxD,这样当当前节点的深度d更大的时候就更新最大深度maxD和答案res,这样当我们更新答案的时候就满足了两个条件:先搜到的节点并且深度是当前最大的。而使用深搜会更方便,只需要维护节点的深度即可,可以先搜左儿子,然后再搜右儿子,这样可以保证先搜到的节点一定是在最左边的节点,根据当前节点的深度决定是否更新当前的最大深度和答案,所以我们可以声明全局变量来记录当前遍历节点的最大深度maxD和答案res,如果深度更大那么就需要更新当前的最大深度和答案,这样更新的答案一定是当前深度最大并且是最左边的节点。深搜与宽搜的思路都是类似的,都需要维护最大深度maxD。
3. 代码如下:
dfs:
# class TreeNode:
# def __init__(self, val=0, left=None, right=None):
# self.val = val
# self.left = left
# self.right = right
class Solution:
# maxD为最大深度
maxD = 0
res = 0
# d用来记录当前遍历的节点的深度
def dfs(self, root: TreeNode, d: int):
if not root: return
# 深度更大那么就需要更新最大深度maxD和答案res
if d > self.maxD:
self.maxD = d
self.res = root.val
self.dfs(root.left, d + 1)
self.dfs(root.right, d + 1)
def findBottomLeftValue(self, root: TreeNode) -> int:
self.dfs(root, 1)
return self.resbfs:
import collections
# class TreeNode:
# def __init__(self, val=0, left=None, right=None):
# self.val = val
# self.left = left
# self.right = right
class Solution:
def bfs(self, root: TreeNode):
# python中的双端队列
q = collections.deque()
maxD = 1
# 题目保证了至少一个节点
res = root.val
q.append((root, 1))
while q:
poll = q.pop()
node, d = poll[0], poll[1]
if d > maxD:
maxD = d
res = node.val
# 注意是appendleft方法
if node.left: q.appendleft((node.left, d + 1))
if node.right: q.appendleft((node.right, d + 1))
return res
def findBottomLeftValue(self, root: TreeNode) -> int:
return self.bfs(root)版权声明:本文为qq_39445165原创文章,遵循CC 4.0 BY-SA版权协议,转载请附上原文出处链接和本声明。