第五章 定积分及应用
知识点思维导图

一、背景
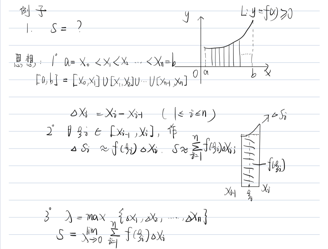
已知函数y=f(x),求S的值的一类问题。
分析问题的思路:
(1)
①确定区间[a,b],a=x0<x1<x2…<xn=b
② [a,b]=[x0,x1]U[x1,x2]U…U[xn-1,xn]
③ △xi=xi-1(1《i《n)
(2)在[xi,xi-1]内取任意一点₰i,找到₰i与△Si的关系
(3)设λ=max{△x1,△x2…△xn},找到S与λ、f(₰i)和△xi的关系
例:
- 如图:已知L:y=f(x),在[a,b]内,与x轴所围成的面积S是多少?
- 已知速度v=v(t),t为时间,t∈[a,b],则路程S=?
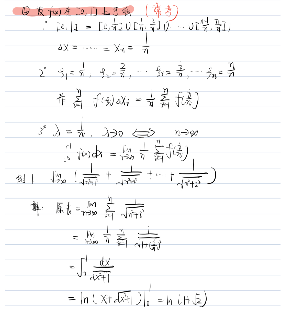
二、定积分的定义
1、定义
2、注解(Notes):
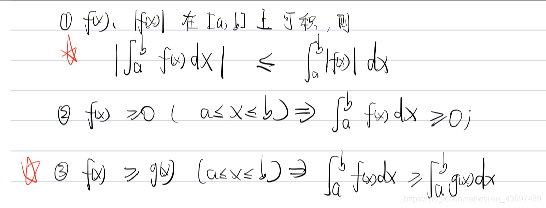
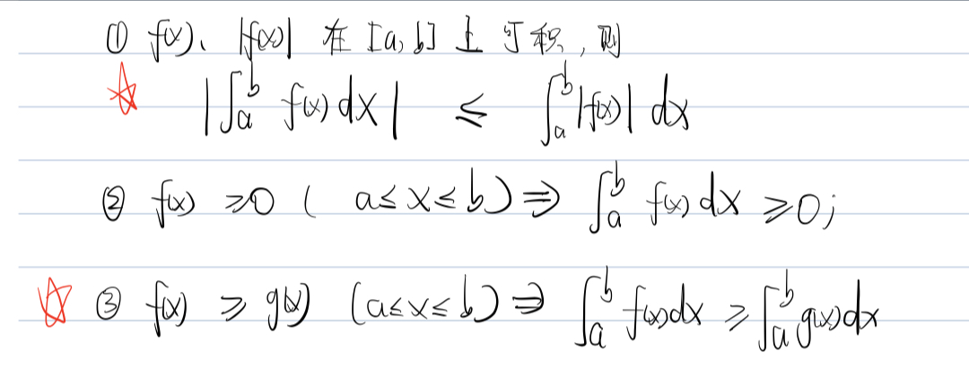
三、定积分的一般性质
1、注解(Notes):
2、一般性质:

6、积分中值定理(最重要)
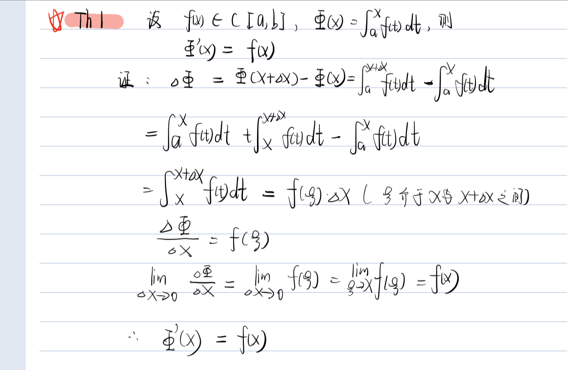
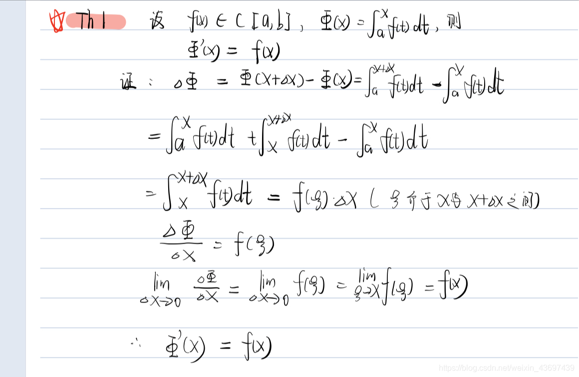
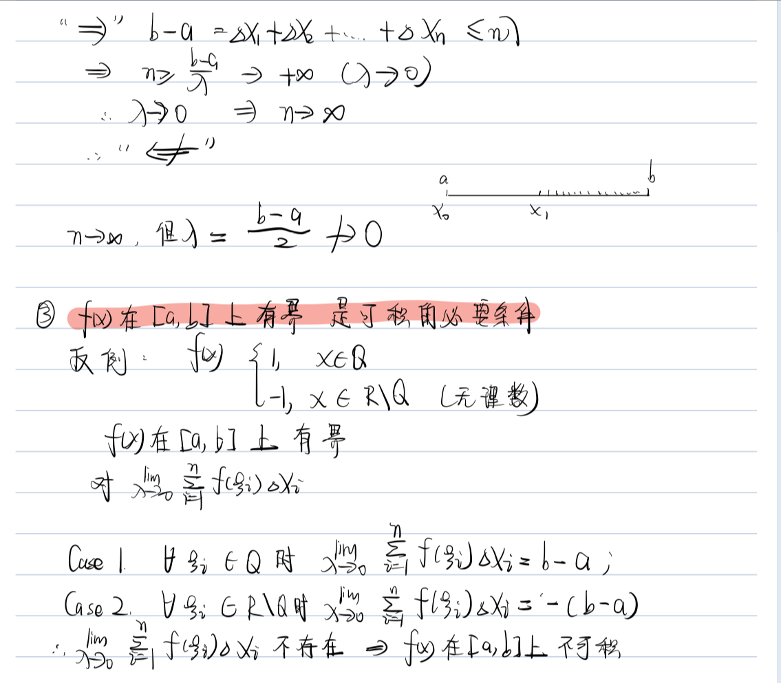
四、积分基本定理(★)
1、两个问题
2、注解(Notes):
3、定理1
注解(Notes):
4、定理2(牛顿莱布尼兹公式)
五、定积分的特殊性质
1、对称区间上函数的定积分性质
2、三角函数定积分性质

3、周期函数的定积分性质
六、反常积分
1、正常积分
2、反常积分
(一)区间无限
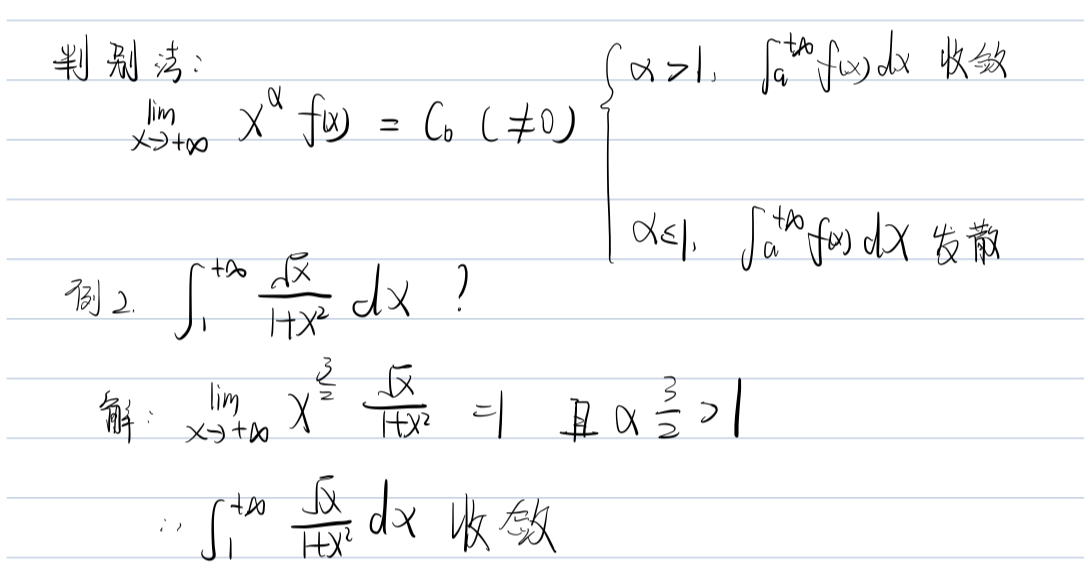
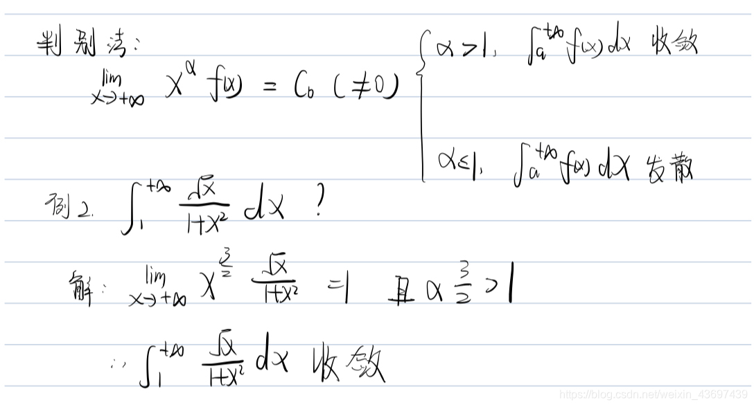
1、[a—+∞)
判别法:
2、(-∞—a]
3、(-∞—+∞)
注解(Notes):┏-函数
(二)区间有限
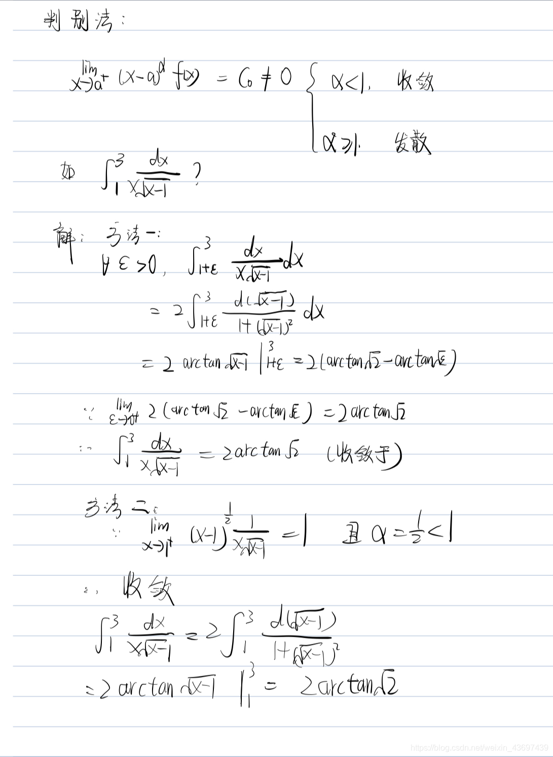
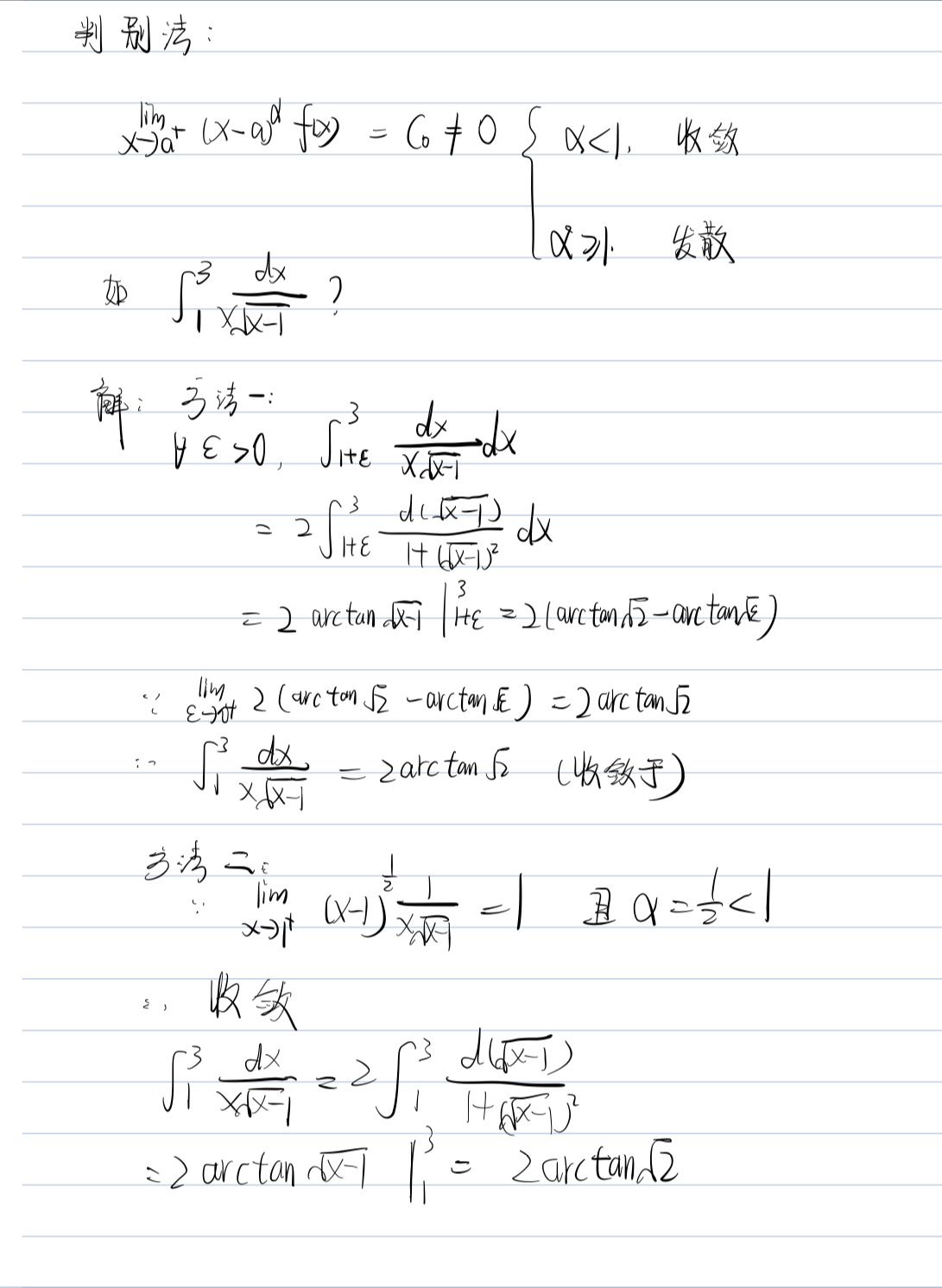
1、(a,b]
判别法:
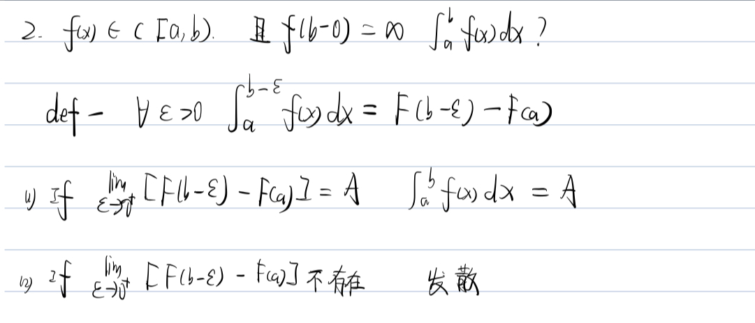
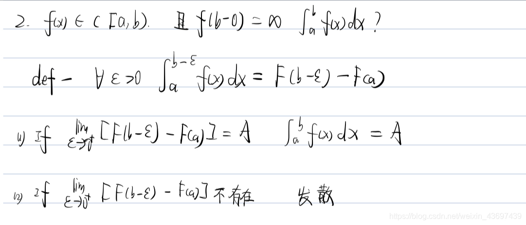
2、[a,b)
判别法:
3、[a,c)U(c,b]
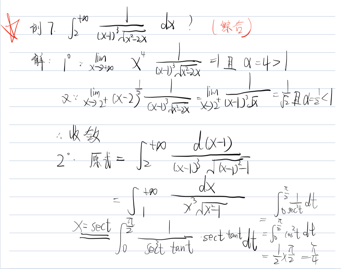
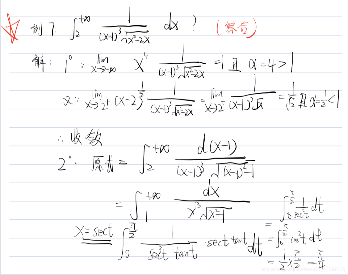
4、综合题:
七、定积分的几何应用
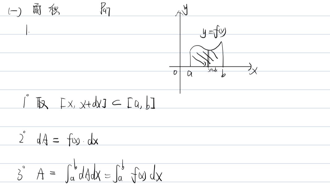
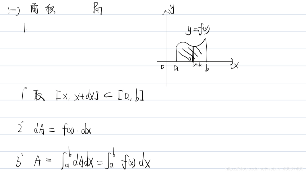
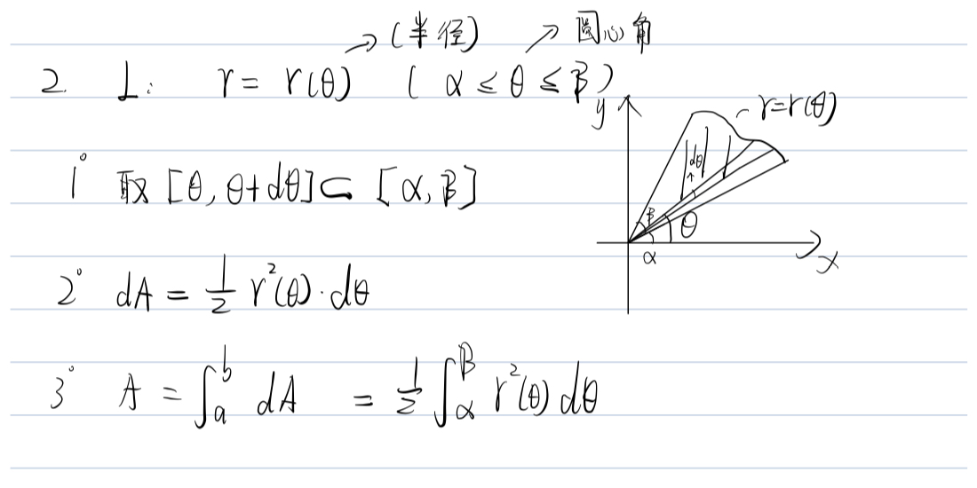
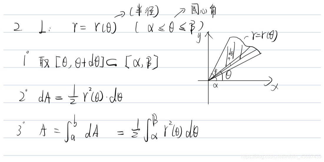
(一)面积
1、情况1
2、情况2
3、情况3
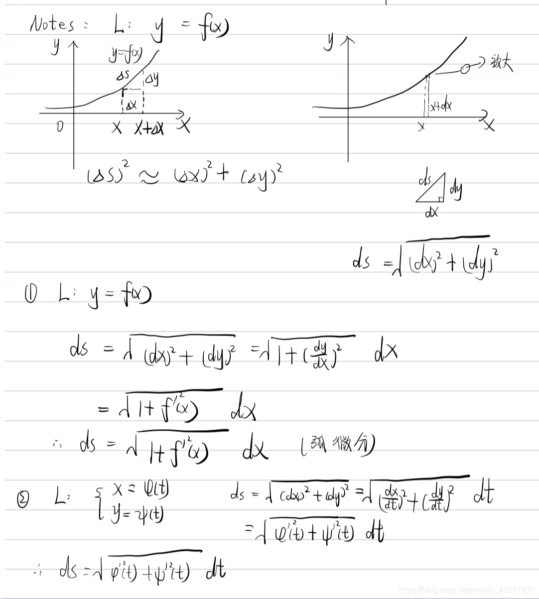
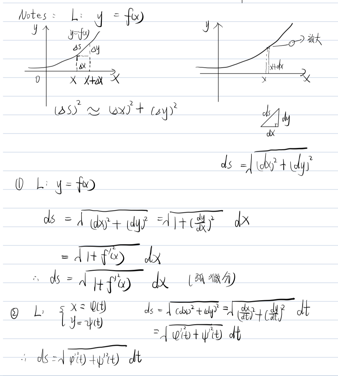
注解(Notes):弧微分ds及相关公式
4、情况4
(二)体积
1、情况1
2、情况2
3、情况3(数一,了解即可)
(三)弧长
1、情况1
2、情况2
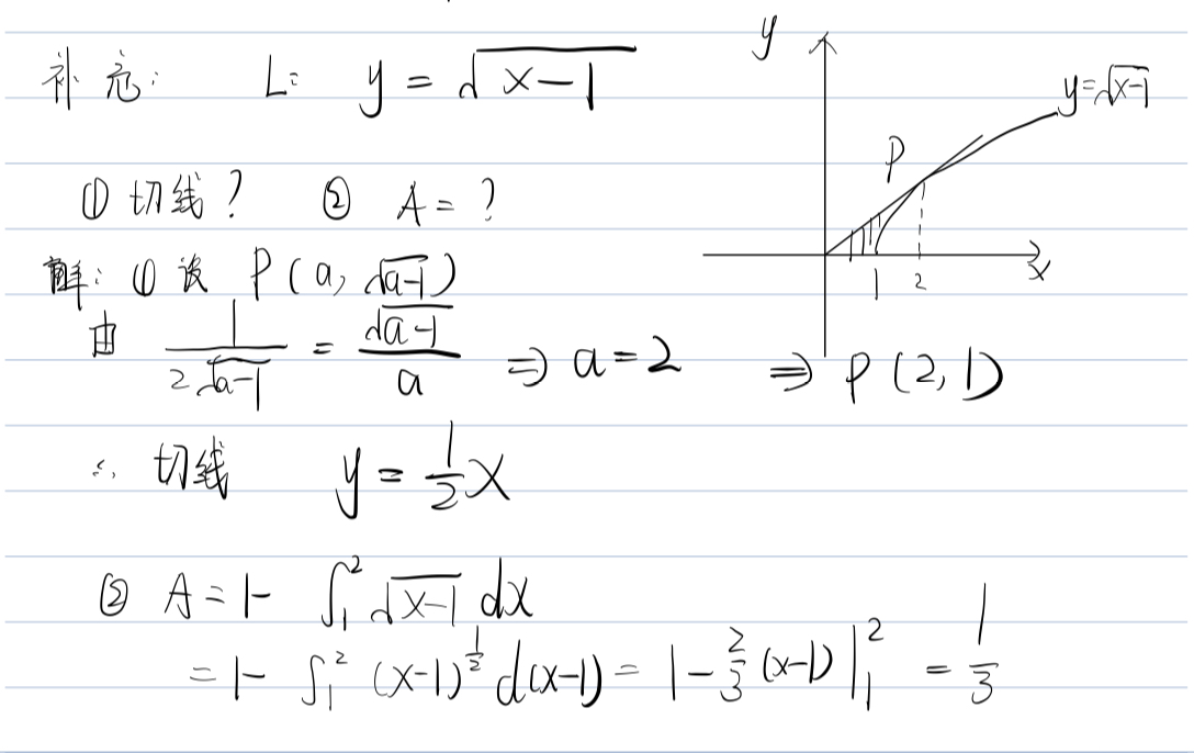
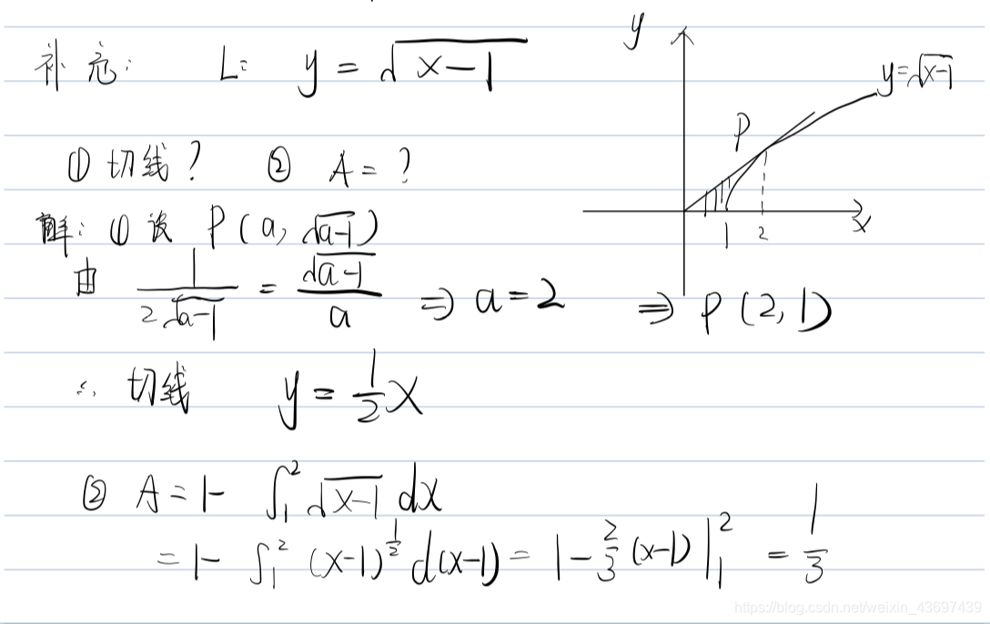
3、补充
4、例题

5、相关公式图表
版权声明:本文为weixin_43697439原创文章,遵循CC 4.0 BY-SA版权协议,转载请附上原文出处链接和本声明。