在前面章节中我们给出了语法解析树对应节点的设计,这些节点能够针对其内容完成中间代码的输出,这一节我们继续完善必要节点的设计,然后手动构造语法树,并驱动语法树实现中间代码生成。
首先我们增加一个赋值节点,也就是Set节点的实现,它对应类似赋值语句"c=a;",在inter内添加一个set.go文件,然后添加代码如下:
package inter
/*
Set 节点对应 c = a+b,因此它包含两部分,分别是左边的ID节点和右边的Op节点
*/
type Set struct {
id ExprInterface
expr ExprInterface
}
func checkType(p1 *Type, p2 *Type) *Type {
//c = a + b , c的类型会转换为右边a+b的类型
if Numberic(p1) && Numberic(p2) {
return p2
} else if p1.Lexeme == "bool" && p2.Lexeme == "bool" {
return p2
}
return nil
}
func NewSet(id ExprInterface, expr ExprInterface) (*Set, error) {
if checkType(id.Type(), expr.Type()) == nil {
return nil, id.Errors("type error")
} else {
return &Set{
id: id,
expr: expr,
}, nil
}
}
func (s *Set) Errors(str string) error {
return s.id.Errors(str)
}
func (s *Set) NewLabel() uint32 {
return s.id.NewLabel()
}
func (s *Set) EmitLable(i uint32) {
s.id.EmitLabel(i)
}
func (s *Set) Emit(code string) {
s.id.Emit(code)
}
func (s *Set) Gen() ExprInterface {
s.expr = s.expr.Gen()
s.Emit(s.id.ToString() + " = " + s.expr.ToString())
return s.id
}
func (s *Set) Reduce() ExprInterface {
return s.id.Reduce()
}
func (s *Set) Type() *Type {
return s.id.Type()
}
func (s *Set) ToString() string {
return s.id.ToString()
}
有了赋值节点后,我们就可以针对赋值语句例如"a=b+c"来生成中间代码,此外我们还需要再增加一个节点也就是常量节点,当编译器读取到类似“3;","5;"等常量时就会构造对应节点,在inter下创建文件constant.go,添加代码如下:
package inter
import (
"lexer"
)
type Constant struct {
expr *Expr
}
func NewConstant(line uint32, token *lexer.Token, expr_type *Type) *Constant{
constant := &Constant{
expr: NewExpr(line, token, expr_type),
}
return constant
}
//定义两个常量 true和false
func GetConstantTrue() *Constant {
tok := lexer.NewToken(lexer.TRUE)
true_type := NewType("bool", lexer.TRUE, 1)
return NewConstant(0, &tok, true_type)
}
func GetConstantFalse() *Constant {
tok := lexer.NewToken(lexer.FALSE)
false_type := NewType("bool", lexer.FALSE, 1)
return NewConstant(0, &tok, false_type)
}
func (c *Constant) Errors(s string) error {
return c.expr.Errors(s)
}
func (c *Constant) NewLabel() uint32 {
return c.expr.NewLabel()
}
func (c *Constant) EmitLabel(l uint32) {
c.expr.EmitLabel(l)
}
func (c *Constant) Emit(code string) {
c.expr.Emit(code)
}
func (c *Constant) Gen() ExprInterface {
return c
}
func (c *Constant) Reduce() ExprInterface {
return c
}
func (c *Constant) Type() *Type {
return c.expr.Type()
}
func (c *Constant) ToString() string {
return c.expr.ToString()
}
完成上面节点实现后,我们在main.go中手动构造一个语法解析树,其代码如下:
package main
import (
"lexer"
"inter"
)
func main() {
expr_type := inter.NewType("int", lexer.BASIC, 4)
id_a := inter.NewID(1, lexer.NewTokenWithString(lexer.ID, "a"), expr_type)
id_b := inter.NewID(1, lexer.NewTokenWithString(lexer.ID, "b"), expr_type)
//a+b
arith1, _ := inter.NewArith(1, lexer.NewTokenWithString(lexer.PLUS, "+"), id_a, id_b)
id_c := inter.NewID(1, lexer.NewTokenWithString(lexer.ID, "c"), expr_type)
id_d := inter.NewID(1, lexer.NewTokenWithString(lexer.ID, "d"), expr_type)
arith2, _ := inter.NewArith(1, lexer.NewTokenWithString(lexer.PLUS, "+"), id_c, id_d)
arith3, _ := inter.NewArith(1, lexer.NewTokenWithString(lexer.MINUS, "-"), arith1, arith2)
//arith3.Reduce()
id_e := inter.NewID(1, lexer.NewTokenWithString(lexer.ID, "e"), expr_type)
//e = (a+b) - (b+c) -> c = t1 - t2
set, _ := inter.NewSet(id_e, arith3)
set.Gen()
}
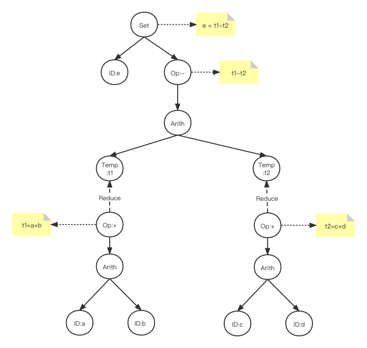
上面代码构造的语法树结构如下:
首先代码段:
expr_type := inter.NewType("int", lexer.BASIC, 4)
id_a := inter.NewID(1, lexer.NewTokenWithString(lexer.ID, "a"), expr_type)
id_b := inter.NewID(1, lexer.NewTokenWithString(lexer.ID, "b"), expr_type)
手动构造了两个ID节点,分别对应变量a,b,然后代码:
arith1, _ := inter.NewArith(1, lexer.NewTokenWithString(lexer.PLUS, "+"), id_a, id_b)
将节点a,b和符号"+"合起来形成一个算术表达式,这个算术表达式执行Reduce操作时,会将a和b两个变量相加,然后OP节点会分配一个临时寄存器变量t1,将他们相加的结果存放到t1,同理变量c+d也会通过Reduce操作,将他们相加的结果存放到临时寄存器变量t2,最后t1和t2通过”-“结合成一个算术表达式,与ID节点e一起构成一个Set节点,其中ID节点e对应Set节点的id字段,t1-t2对应Set节点的expr字段,于是在Set节点调用Gen生成代码是就会形成e = t1 - t2的结果。
上面代码运行后所得结果如下:
可以看到运行结果跟我们的推导是一样的,要想更好的理解代码逻辑,最好还是通过观看调试演示视频,请在b站搜索:Coding迪斯尼,代码下载地址:https://github.com/wycl16514/dragon-compiler-expression-code-generate.git,网盘下载为:链接: https://pan.baidu.com/s/1g8VImSml68jEZuuGXpPKog 提取码: 2185,更多干货