题目
编写一个程序,找到两个单链表相交的起始节点。
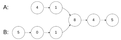
如下面的两个链表,在节点 c1 开始相交:
示例 :
输入:intersectVal = 8, listA = [4,1,8,4,5], listB = [5,0,1,8,4,5], skipA = 2, skipB = 3
输出:Reference of the node with value = 8
输入解释:相交节点的值为 8 (注意,如果两个链表相交则不能为 0)。从各自的表头开始算起,链表 A 为 [4,1,8,4,5],链表 B 为 [5,0,1,8,4,5]。在 A 中,相交节点前有 2 个节点;在 B 中,相交节点前有 3 个节点。
注意:
1、如果两个链表没有交点,返回 null;
2、在返回结果后,两个链表仍须保持原有的结构;
3、可假定整个链表结构中没有循环;
4、程序尽量满足 O(n) 时间复杂度,且仅用 O(1) 内存。
注意点
1、相交节点是指针指向同一节点,不是值相同;
2、如果headA没遍历完,pa继续遍历;如果headA遍历完,则pa指向headB,pa继续遍历;
3、如果headB没遍历完,pb继续遍历;如果headB遍历完,则pb指向headA,pa继续遍历;
4、相当于pa遍历(headA+headB),pb(遍历了headB+headA),只要有相交,则一定会在某一处相等;否则当pa == pb == null时退出循环,返回null.
实现
/**
* Definition for singly-linked list.
* public class ListNode {
* int val;
* ListNode next;
* ListNode(int x) {
* val = x;
* next = null;
* }
* }
*/
public class Solution {
public ListNode getIntersectionNode(ListNode headA, ListNode headB) {
//pa指针默认指向headA
ListNode pa = headA;
//p指针默认指向headB
ListNode pb = headB;
//只要没有相交节点,就一直往下遍历
while(pa != pb){
//如果headA没遍历完,继续遍历;如果遍历完,则pa指向headB,继续遍历
pa = pa == null ? headB : pa.next;
//如果headB没遍历完,继续遍历;如果遍历完,则指向headB,继续遍历
pb = pb == null ? headA : pb.next;
}
return pa;
}
}
版权声明:本文为weixin_43857345原创文章,遵循CC 4.0 BY-SA版权协议,转载请附上原文出处链接和本声明。