算“最早时间”时,从左到右算,两数取大
算“最晚时间”时,用最近的节点减去边。例如F=J-5=14-5=9
求“关键路径”:
根据,最早时间=最晚时间,的全部点去找关键路径
例题一:


关键路径:V1V2V5V7 = V1V4V5V7 =10
例题二:


关键路径: ABDIJL = 20
只有等于20才是关键路径

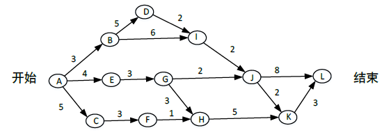
某软件项目的活动图如下图所示,其中顶点表示项目里程碑,连接顶点的边表示包含的活动,边上的数字表示活动的持续时间(天),则完成该项目的最少时间为(?)天。
活动 BD 和 HK 最早可以从第( ?)天开始。(活动 AB 、AE 和 AC 最早从第 1 天开始)。
解析:
1、关键路径:ABDIJL = 20天
2、B点最早是3,3+1=4
H点最早是10,10+1=11
所以BD最早开始时间为第4天,HK最早开始时间为第11天。
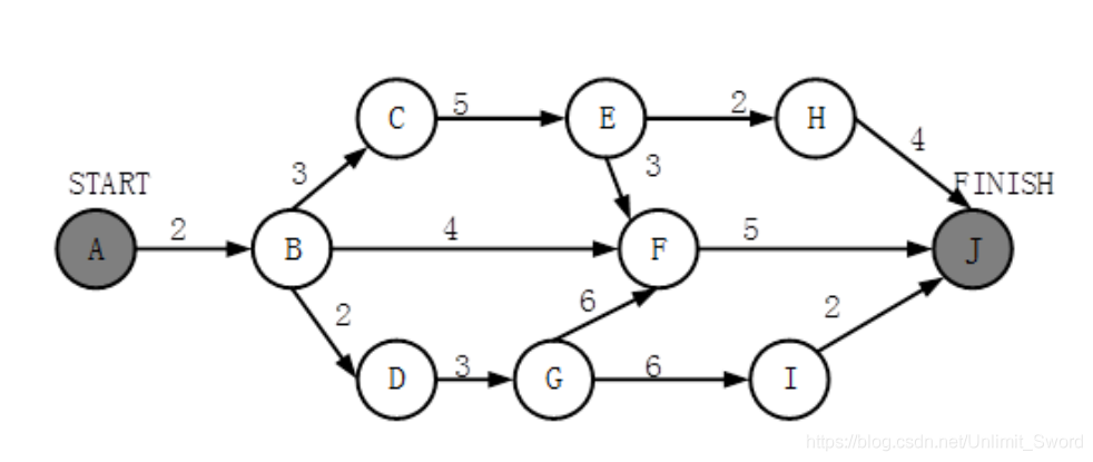
例题三:


关键路径: ABCEFJ = ABDGFJ = 18

某软件项目的活动图如下图所示,其中顶点表示项目里程碑,连接顶点的边表示包含的活动,边上的数字表示活动的持续时间(天)。完成该项目的最少时间为( ?)。
由于某种原因,现在需要同一个开发人员完成 BC 和 BD,到完成该项目如最少时间为(?)天。
解析:
1、关键路径: ABCEFJ = ABDGFJ = 18
2、BC=3天,BD=2天,需同一人完成,
18+3=21(加大的)
最少时间是21天
例题四:


关键路径: ABCEFIKL = ABDGIKL = 22

某软件项目的活动图如下图所示,其中顶点表示项目里程碑,连接顶点的边表示包含的活动,边上的数字表示活动的持续天数,则完成该项目的最少时间为(?)天。活动EH和IJ的松弛时间分别为(?)天。
解析:
1、关键路径: ABCEFIKL = ABDGIKL = 22
2、松弛时间
EH = 22 - ABCEHL = 22 - (2+3+2+4+6) = 22 -17 = 5
E要走关键路径经过的
IJ = 22 - ABDGIJL = 22 - (2+5+2+6+3+1) = 22-19 = 3
I要走关键路径经过的