
SCADA系统针对电力行业或者能源行业开发时,常常需要建立系统模型,常见的模型有一次系统模型,二次系统模型,数据模型等,今天我就介绍下什么事一次系统模型,二次系统模型,以及他们常见的应用。
1、scada系统中的一次系统模型
一次系统模型其实就是针对电力系统或者能源系统现场的一次设备建立模型,那么什么一次设备呢?一次设备如何映射到SCADA系统中呢?
电力系统的一次设备是指所有电力系统设备和开关设备。如:发电机、变压器、断路器、隔离开关、母线、电力电缆、输电线路等。我平常看到的高压线路,或者我们家门口的配电箱等这些都是一次设备,这些一次设备通过电压高低或者电流大小,在或者不同的区域或者区间,电力通过输电线路将电力输送到用电用户。
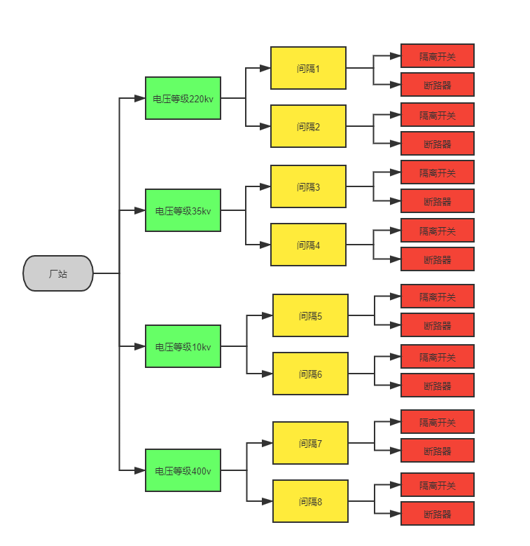
一般电力输送的基本原则是高压输电,这样可以减少输电损耗;输送到达用户侧,在进行降压,分配给用户,所以这里就涉及到一个名词“电压等级”,不同电压等级区间又有断路器,隔离开关,等控制设备,因此把这些区间又进行了划分,这里涉及到一个名词:“间隔”,每个间隔中就有各种设备用于对电力线路的控制。
我们对一次设备有了简单的了解,那我们简单介绍下,如何将一次设备建模,通常我们我建模就是按照实际现场的场景建模,如我们对某个变电站或者发电站建模,首先就有一个厂站,一个厂站接入几个电压等级的一次线路,每个电压等级下面划分不同的间隔,每个间隔中又有许多一次设备。

2、scada系统中的二次系统模型
二次系统模型其实是针对电力系统或者能源系统现场的二次设备监理模型,那么什么是二次设备呢?二次设备如何映射到SCADA系统中呢?
二次系统中的二次设备主要应用于运行、保护和监视一次系统中的一次设备的所有装置。如我们常见的继电保护装置,测控装置,测量仪表、继电器、操作开关、按钮、自动控制设备、计算机、信号设备、控制电缆及提供这些设备能源的一些装置(如蓄电池、硅整流器等)
那一次设备是如何检测或者控制一次设备的,通过我们检测一次设备的对象主要有电压,电流等参数,这些对象在一次设备或者一次线路上是非常大的,不能直接通过二次设备接入,要通过电压互感器和电流互感器将一次设备的高电压和大电流转换为低电压和小电流在接入到我们的二次设备中,这样就可以实现二次系统监控一次系统了。
二次系统的模型映射通常是针对一次设备的检测对象建模,如我们对220kv高压线路的电压,电流,断路器的开关状态采集和检测,那么我们就需要二次设备如继电保护装置将电压电流接入进来,我们的scada系统建立继电保护装置模型,将继电保护装置中的电压,电流等信息接入到SCADA系统中,因此,在SCADA系统二次系统的建模就是针对现场的二次设备建模。
二次设备的建模主要有通信模型,就是跟现场的二次设备如何通信,才能把数据接入进来;其次接入点模型,就是关联测点。
我们一般将测点分为四类:分别是遥测,遥信,遥脉,遥控遥调。
一般我们在SCADA模型将实际的物理设备称之为IED装置,每个IED装置从逻辑上划分采集单元,每个采集单元可以建立四遥模型。

3 二次系统检测和控制一次系统

图中描述了,二次系统模型与一次系统模型的关系图,一次系统中的一次设备的遥测,遥信等测点数据,通过二次系统采集后接入到SCADA系统,这样就可以实现数据一次系统数据的检测和控制了。
4 遥测,遥信,遥脉,遥调,遥控介绍
- 遥测
遥测:模拟量输入,Analog Input(AI)。例如:电压、电流、风速,实时有功功率等。
变化频率:一般在10秒内变化一次。
数值类型:整形、浮点型等。
量纲:多数有。

- 遥信
遥测:数字量输入,Digital Input(DI)。例如:开关刀闸位置状态。
变化频率:很少变化。
数值类型:0/1/2/3。
量纲:多数没有。
单点遥信:只有一个位置触点的遥信,值为0/1.
双点遥信:有两个触点的遥信,常闭触点和常开触点,有效值为10和01,00和11是无效值。

- 遥脉
遥脉:电度量,PI。例如:有功发电量、无功发电量。
数值类型:整形、长整型、双精度浮点型,较少使用浮点型。
量纲:必须有,kwh、mwh、wh等。
类型:日、月、年、总发电量,累计值、变化值、翻转值。
查询类型:直接查询、先冻结再查询

- 遥调
遥调:模拟量输出,Analog Output(AO)。例如:有功限功率值。
数值类型:整形、浮点型等。
量纲:多数有。
类型:遥调预置、遥调执行、遥调取消。
- 遥控
遥控:数字量输出,Digital Output(DO)。例如:开关刀闸开合命令。
数值类型:0/1。
量纲:多数没有。
类型:遥控预置、遥控执行、遥控取消。
特殊操作类型:脉冲式控制。
总结
本节,主要介绍了SCADA系统模型与实际现场的系统的知识,通过本节,我们能大体了解了SCADA系统的建模原则,以及了解了SCADA系统是如何与实际现场的系统建立关系。
如果对你有帮助,记得关注我,我是小吉,期待你的加入,我们一起成长!