动手学深度学习实现DAY-2

节选自“ElitesAI·动手学深度学习PyTorch版”

  • Task03:过拟合、欠拟合及其解决方案;梯度消失、梯度爆炸;循环神经网络进阶(1天)
  • Task04:机器翻译及相关技术;注意力机制与Seq2seq模型;Transformer(1天)
  • Task05:卷积神经网络基础;leNet;卷积神经网络进阶(1天)

过拟合、欠拟合及其解决方案

  1. 过拟合、欠拟合的概念
  2. 权重衰减
  3. 丢弃法

模型选择、过拟合和欠拟合

训练误差和泛化误差

在解释上述现象之前,我们需要区分训练误差(training error)和泛化误差(generalization error)。通俗来讲,前者指模型在训练数据集上表现出的误差,后者指模型在任意一个测试数据样本上表现出的误差的期望,并常常通过测试数据集上的误差来近似。计算训练误差和泛化误差可以使用之前介绍过的损失函数,例如线性回归用到的平方损失函数和softmax回归用到的交叉熵损失函数。

机器学习模型应关注降低泛化误差。

模型选择

验证数据集

从严格意义上讲,测试集只能在所有超参数和模型参数选定后使用一次。不可以使用测试数据选择模型,如调参。由于无法从训练误差估计泛化误差,因此也不应只依赖训练数据选择模型。鉴于此,我们可以预留一部分在训练数据集和测试数据集以外的数据来进行模型选择。这部分数据被称为验证数据集,简称验证集(validation set)。例如,我们可以从给定的训练集中随机选取一小部分作为验证集,而将剩余部分作为真正的训练集。

K折交叉验证

由于验证数据集不参与模型训练,当训练数据不够用时,预留大量的验证数据显得太奢侈。一种改善的方法是K折交叉验证(K-fold cross-validation)。在K折交叉验证中,我们把原始训练数据集分割成K个不重合的子数据集,然后我们做K次模型训练和验证。每一次,我们使用一个子数据集验证模型,并使用其他K-1个子数据集来训练模型。在这K次训练和验证中,每次用来验证模型的子数据集都不同。最后,我们对这K次训练误差和验证误差分别求平均。

过拟合和欠拟合

接下来,我们将探究模型训练中经常出现的两类典型问题:

  • 一类是模型无法得到较低的训练误差,我们将这一现象称作欠拟合(underfitting);
  • 另一类是模型的训练误差远小于它在测试数据集上的误差,我们称该现象为过拟合(overfitting)。 在实践中,我们要尽可能同时应对欠拟合和过拟合。虽然有很多因素可能导致这两种拟合问题,在这里我们重点讨论两个因素:模型复杂度和训练数据集大小。

模型复杂度

为了解释模型复杂度,我们以多项式函数拟合为例。给定一个由标量数据特征xx和对应的标量标签yy组成的训练数据集,多项式函数拟合的目标是找一个KK阶多项式函数

y^=b+∑k=1Kxkwky^=b+∑k=1Kxkwk

来近似 yy。在上式中,wkwk是模型的权重参数,bb是偏差参数。与线性回归相同,多项式函数拟合也使用平方损失函数。特别地,一阶多项式函数拟合又叫线性函数拟合。

给定训练数据集,模型复杂度和误差之间的关系:

Image Name

训练数据集大小

影响欠拟合和过拟合的另一个重要因素是训练数据集的大小。一般来说,如果训练数据集中样本数过少,特别是比模型参数数量(按元素计)更少时,过拟合更容易发生。此外,泛化误差不会随训练数据集里样本数量增加而增大。因此,在计算资源允许的范围之内,我们通常希望训练数据集大一些,特别是在模型复杂度较高时,例如层数较多的深度学习模型。

多项式函数拟合实验

In [3]:

%matplotlib inline
import torch
import numpy as np
import sys
sys.path.append("/home/kesci/input")
import d2lzh1981 as d2l
print(torch.__version__)
1.3.0

初始化模型参数

In [4]:

n_train, n_test, true_w, true_b = 100, 100, [1.2, -3.4, 5.6], 5
features = torch.randn((n_train + n_test, 1))
poly_features = torch.cat((features, torch.pow(features, 2), torch.pow(features, 3)), 1) 
labels = (true_w[0] * poly_features[:, 0] + true_w[1] * poly_features[:, 1]
          + true_w[2] * poly_features[:, 2] + true_b)
labels += torch.tensor(np.random.normal(0, 0.01, size=labels.size()), dtype=torch.float)

In [5]:

features[:2], poly_features[:2], labels[:2]

Out[5]:

(tensor([[-0.8589],
         [-0.2534]]), tensor([[-0.8589,  0.7377, -0.6335],
         [-0.2534,  0.0642, -0.0163]]), tensor([-2.0794,  4.4039]))

定义、训练和测试模型

In [6]:

def semilogy(x_vals, y_vals, x_label, y_label, x2_vals=None, y2_vals=None,
             legend=None, figsize=(3.5, 2.5)):
    # d2l.set_figsize(figsize)
    d2l.plt.xlabel(x_label)
    d2l.plt.ylabel(y_label)
    d2l.plt.semilogy(x_vals, y_vals)
    if x2_vals and y2_vals:
        d2l.plt.semilogy(x2_vals, y2_vals, linestyle=':')
        d2l.plt.legend(legend)

In [7]:

num_epochs, loss = 100, torch.nn.MSELoss()

def fit_and_plot(train_features, test_features, train_labels, test_labels):
    # 初始化网络模型
    net = torch.nn.Linear(train_features.shape[-1], 1)
    # 通过Linear文档可知,pytorch已经将参数初始化了,所以我们这里就不手动初始化了
    
    # 设置批量大小
    batch_size = min(10, train_labels.shape[0])    
    dataset = torch.utils.data.TensorDataset(train_features, train_labels)      # 设置数据集
    train_iter = torch.utils.data.DataLoader(dataset, batch_size, shuffle=True) # 设置获取数据方式
    
    optimizer = torch.optim.SGD(net.parameters(), lr=0.01)                      # 设置优化函数,使用的是随机梯度下降优化
    train_ls, test_ls = [], []
    for _ in range(num_epochs):
        for X, y in train_iter:                                                 # 取一个批量的数据
            l = loss(net(X), y.view(-1, 1))                                     # 输入到网络中计算输出,并和标签比较求得损失函数
            optimizer.zero_grad()                                               # 梯度清零,防止梯度累加干扰优化
            l.backward()                                                        # 求梯度
            optimizer.step()                                                    # 迭代优化函数,进行参数优化
        train_labels = train_labels.view(-1, 1)
        test_labels = test_labels.view(-1, 1)
        train_ls.append(loss(net(train_features), train_labels).item())         # 将训练损失保存到train_ls中
        test_ls.append(loss(net(test_features), test_labels).item())            # 将测试损失保存到test_ls中
    print('final epoch: train loss', train_ls[-1], 'test loss', test_ls[-1])    
    semilogy(range(1, num_epochs + 1), train_ls, 'epochs', 'loss',
             range(1, num_epochs + 1), test_ls, ['train', 'test'])
    print('weight:', net.weight.data,
          '\nbias:', net.bias.data)

三阶多项式函数拟合(正常)

In [8]:

fit_and_plot(poly_features[:n_train, :], poly_features[n_train:, :], labels[:n_train], labels[n_train:])
final epoch: train loss 8887.298828125 test loss 1145.94287109375
weight: tensor([[-8.5120, 19.0351, 12.8616]]) 
bias: tensor([-5.4607])

线性函数拟合(欠拟合)

In [9]:

fit_and_plot(features[:n_train, :], features[n_train:, :], labels[:n_train], labels[n_train:])
final epoch: train loss 781.689453125 test loss 329.79852294921875
weight: tensor([[26.8753]]) 
bias: tensor([6.1426])

训练样本不足(过拟合)

In [10]:

fit_and_plot(poly_features[0:2, :], poly_features[n_train:, :], labels[0:2], labels[n_train:])
final epoch: train loss 6.23520565032959 test loss 409.9844665527344
weight: tensor([[ 0.9729, -0.9612,  0.7259]]) 
bias: tensor([1.6334])

权重衰减

方法

权重衰减等价于 L2L2 范数正则化(regularization)。正则化通过为模型损失函数添加惩罚项使学出的模型参数值较小,是应对过拟合的常用手段。

L2 范数正则化(regularization)

L2L2范数正则化在模型原损失函数基础上添加L2L2范数惩罚项,从而得到训练所需要最小化的函数。L2L2范数惩罚项指的是模型权重参数每个元素的平方和与一个正的常数的乘积。以线性回归中的线性回归损失函数为例

ℓ(w1,w2,b)=1n∑i=1n12(x(i)1w1+x(i)2w2+b−y(i))2ℓ(w1,w2,b)=1n∑i=1n12(x1(i)w1+x2(i)w2+b−y(i))2

其中w1,w2w1,w2是权重参数,bb是偏差参数,样本ii的输入为x(i)1,x(i)2x1(i),x2(i),标签为y(i)y(i),样本数为nn。将权重参数用向量w=[w1,w2]w=[w1,w2]表示,带有L2L2范数惩罚项的新损失函数为

ℓ(w1,w2,b)+λ2n|w|2,ℓ(w1,w2,b)+λ2n|w|2,

其中超参数λ>0λ>0。当权重参数均为0时,惩罚项最小。当λλ较大时,惩罚项在损失函数中的比重较大,这通常会使学到的权重参数的元素较接近0。当λλ设为0时,惩罚项完全不起作用。上式中L2L2范数平方|w|2|w|2展开后得到w21+w22w12+w22。 有了L2L2范数惩罚项后,在小批量随机梯度下降中,我们将线性回归一节中权重w1w1和w2w2的迭代方式更改为

w1w2←(1−ηλ|B|)w1−η|B|∑i∈Bx(i)1(x(i)1w1+x(i)2w2+b−y(i)),←(1−ηλ|B|)w2−η|B|∑i∈Bx(i)2(x(i)1w1+x(i)2w2+b−y(i)).w1←(1−ηλ|B|)w1−η|B|∑i∈Bx1(i)(x1(i)w1+x2(i)w2+b−y(i)),w2←(1−ηλ|B|)w2−η|B|∑i∈Bx2(i)(x1(i)w1+x2(i)w2+b−y(i)).

可见,L2L2范数正则化令权重w1w1和w2w2先自乘小于1的数,再减去不含惩罚项的梯度。因此,L2L2范数正则化又叫权重衰减。权重衰减通过惩罚绝对值较大的模型参数为需要学习的模型增加了限制,这可能对过拟合有效。

高维线性回归实验从零开始的实现

下面,我们以高维线性回归为例来引入一个过拟合问题,并使用权重衰减来应对过拟合。设数据样本特征的维度为pp。对于训练数据集和测试数据集中特征为x1,x2,…,xpx1,x2,…,xp的任一样本,我们使用如下的线性函数来生成该样本的标签:

y=0.05+∑i=1p0.01xi+ϵy=0.05+∑i=1p0.01xi+ϵ

其中噪声项ϵϵ服从均值为0、标准差为0.01的正态分布。为了较容易地观察过拟合,我们考虑高维线性回归问题,如设维度p=200p=200;同时,我们特意把训练数据集的样本数设低,如20。

In [11]:

%matplotlib inline
import torch
import torch.nn as nn
import numpy as np
import sys
sys.path.append("/home/kesci/input")
import d2lzh1981 as d2l

print(torch.__version__)
1.3.0

初始化模型参数

与前面观察过拟合和欠拟合现象的时候相似,在这里不再解释。

In [12]:

n_train, n_test, num_inputs = 20, 100, 200
true_w, true_b = torch.ones(num_inputs, 1) * 0.01, 0.05

features = torch.randn((n_train + n_test, num_inputs))
labels = torch.matmul(features, true_w) + true_b
labels += torch.tensor(np.random.normal(0, 0.01, size=labels.size()), dtype=torch.float)
train_features, test_features = features[:n_train, :], features[n_train:, :]
train_labels, test_labels = labels[:n_train], labels[n_train:]

In [13]:

# 定义参数初始化函数,初始化模型参数并且附上梯度
def init_params():
    w = torch.randn((num_inputs, 1), requires_grad=True)
    b = torch.zeros(1, requires_grad=True)
    return [w, b]

定义L2范数惩罚项

In [14]:

def l2_penalty(w):
    return (w**2).sum() / 2

定义训练和测试

In [15]:

batch_size, num_epochs, lr = 1, 100, 0.003
net, loss = d2l.linreg, d2l.squared_loss

dataset = torch.utils.data.TensorDataset(train_features, train_labels)
train_iter = torch.utils.data.DataLoader(dataset, batch_size, shuffle=True)

def fit_and_plot(lambd):
    w, b = init_params()
    train_ls, test_ls = [], []
    for _ in range(num_epochs):
        for X, y in train_iter:
            # 添加了L2范数惩罚项
            l = loss(net(X, w, b), y) + lambd * l2_penalty(w)
            l = l.sum()
            
            if w.grad is not None:
                w.grad.data.zero_()
                b.grad.data.zero_()
            l.backward()
            d2l.sgd([w, b], lr, batch_size)
        train_ls.append(loss(net(train_features, w, b), train_labels).mean().item())
        test_ls.append(loss(net(test_features, w, b), test_labels).mean().item())
    d2l.semilogy(range(1, num_epochs + 1), train_ls, 'epochs', 'loss',
                 range(1, num_epochs + 1), test_ls, ['train', 'test'])
    print('L2 norm of w:', w.norm().item())

观察过拟合

In [16]:

fit_and_plot(lambd=0)
L2 norm of w: 11.6444091796875

使用权重衰减

In [17]:

fit_and_plot(lambd=3)
L2 norm of w: 0.04063604772090912

简洁实现

In [18]:

def fit_and_plot_pytorch(wd):
    # 对权重参数衰减。权重名称一般是以weight结尾
    net = nn.Linear(num_inputs, 1)
    nn.init.normal_(net.weight, mean=0, std=1)
    nn.init.normal_(net.bias, mean=0, std=1)
    optimizer_w = torch.optim.SGD(params=[net.weight], lr=lr, weight_decay=wd) # 对权重参数衰减
    optimizer_b = torch.optim.SGD(params=[net.bias], lr=lr)  # 不对偏差参数衰减
    
    train_ls, test_ls = [], []
    for _ in range(num_epochs):
        for X, y in train_iter:
            l = loss(net(X), y).mean()
            optimizer_w.zero_grad()
            optimizer_b.zero_grad()
            
            l.backward()
            
            # 对两个optimizer实例分别调用step函数,从而分别更新权重和偏差
            optimizer_w.step()
            optimizer_b.step()
        train_ls.append(loss(net(train_features), train_labels).mean().item())
        test_ls.append(loss(net(test_features), test_labels).mean().item())
    d2l.semilogy(range(1, num_epochs + 1), train_ls, 'epochs', 'loss',
                 range(1, num_epochs + 1), test_ls, ['train', 'test'])
    print('L2 norm of w:', net.weight.data.norm().item())

In [19]:

fit_and_plot_pytorch(0)
L2 norm of w: 13.361410140991211

In [20]:

fit_and_plot_pytorch(3)
L2 norm of w: 0.051789578050374985

丢弃法

多层感知机中神经网络图描述了一个单隐藏层的多层感知机。其中输入个数为4,隐藏单元个数为5,且隐藏单元hihi(i=1,…,5i=1,…,5)的计算表达式为

hi=ϕ(x1w1i+x2w2i+x3w3i+x4w4i+bi)hi=ϕ(x1w1i+x2w2i+x3w3i+x4w4i+bi)

这里ϕϕ是激活函数,x1,…,x4x1,…,x4是输入,隐藏单元ii的权重参数为w1i,…,w4iw1i,…,w4i,偏差参数为bibi。当对该隐藏层使用丢弃法时,该层的隐藏单元将有一定概率被丢弃掉。设丢弃概率为pp,那么有pp的概率hihi会被清零,有1−p1−p的概率hihi会除以1−p1−p做拉伸。丢弃概率是丢弃法的超参数。具体来说,设随机变量ξiξi为0和1的概率分别为pp和1−p1−p。使用丢弃法时我们计算新的隐藏单元h′ihi′

h′i=ξi1−phihi′=ξi1−phi

由于E(ξi)=1−pE(ξi)=1−p,因此

E(h′i)=E(ξi)1−phi=hiE(hi′)=E(ξi)1−phi=hi

即丢弃法不改变其输入的期望值。让我们对之前多层感知机的神经网络中的隐藏层使用丢弃法,一种可能的结果如图所示,其中h2h2和h5h5被清零。这时输出值的计算不再依赖h2h2和h5h5,在反向传播时,与这两个隐藏单元相关的权重的梯度均为0。由于在训练中隐藏层神经元的丢弃是随机的,即h1,…,h5h1,…,h5都有可能被清零,输出层的计算无法过度依赖h1,…,h5h1,…,h5中的任一个,从而在训练模型时起到正则化的作用,并可以用来应对过拟合。在测试模型时,我们为了拿到更加确定性的结果,一般不使用丢弃法

Image Name

丢弃法从零开始的实现

In [21]:

%matplotlib inline
import torch
import torch.nn as nn
import numpy as np
import sys
sys.path.append("/home/kesci/input")
import d2lzh1981 as d2l

print(torch.__version__)
1.3.0

In [22]:

def dropout(X, drop_prob):
    X = X.float()
    assert 0 <= drop_prob <= 1
    keep_prob = 1 - drop_prob
    # 这种情况下把全部元素都丢弃
    if keep_prob == 0:
        return torch.zeros_like(X)
    mask = (torch.rand(X.shape) < keep_prob).float()
    
    return mask * X / keep_prob

In [23]:

X = torch.arange(16).view(2, 8)
dropout(X, 0)

Out[23]:

tensor([[ 0.,  1.,  2.,  3.,  4.,  5.,  6.,  7.],
        [ 8.,  9., 10., 11., 12., 13., 14., 15.]])

In [24]:

dropout(X, 0.5)

Out[24]:

tensor([[ 0.,  0.,  0.,  6.,  8., 10.,  0., 14.],
        [ 0.,  0., 20.,  0.,  0.,  0., 28.,  0.]])

In [25]:

dropout(X, 1.0)

Out[25]:

tensor([[0., 0., 0., 0., 0., 0., 0., 0.],
        [0., 0., 0., 0., 0., 0., 0., 0.]])

In [26]:

# 参数的初始化
num_inputs, num_outputs, num_hiddens1, num_hiddens2 = 784, 10, 256, 256

W1 = torch.tensor(np.random.normal(0, 0.01, size=(num_inputs, num_hiddens1)), dtype=torch.float, requires_grad=True)
b1 = torch.zeros(num_hiddens1, requires_grad=True)
W2 = torch.tensor(np.random.normal(0, 0.01, size=(num_hiddens1, num_hiddens2)), dtype=torch.float, requires_grad=True)
b2 = torch.zeros(num_hiddens2, requires_grad=True)
W3 = torch.tensor(np.random.normal(0, 0.01, size=(num_hiddens2, num_outputs)), dtype=torch.float, requires_grad=True)
b3 = torch.zeros(num_outputs, requires_grad=True)

params = [W1, b1, W2, b2, W3, b3]

In [27]:

drop_prob1, drop_prob2 = 0.2, 0.5

def net(X, is_training=True):
    X = X.view(-1, num_inputs)
    H1 = (torch.matmul(X, W1) + b1).relu()
    if is_training:  # 只在训练模型时使用丢弃法
        H1 = dropout(H1, drop_prob1)  # 在第一层全连接后添加丢弃层
    H2 = (torch.matmul(H1, W2) + b2).relu()
    if is_training:
        H2 = dropout(H2, drop_prob2)  # 在第二层全连接后添加丢弃层
    return torch.matmul(H2, W3) + b3

In [28]:

def evaluate_accuracy(data_iter, net):
    acc_sum, n = 0.0, 0
    for X, y in data_iter:
        if isinstance(net, torch.nn.Module):
            net.eval() # 评估模式, 这会关闭dropout
            acc_sum += (net(X).argmax(dim=1) == y).float().sum().item()
            net.train() # 改回训练模式
        else: # 自定义的模型
            if('is_training' in net.__code__.co_varnames): # 如果有is_training这个参数
                # 将is_training设置成False
                acc_sum += (net(X, is_training=False).argmax(dim=1) == y).float().sum().item() 
            else:
                acc_sum += (net(X).argmax(dim=1) == y).float().sum().item() 
        n += y.shape[0]
    return acc_sum / n

In [29]:

num_epochs, lr, batch_size = 5, 100.0, 256  # 这里的学习率设置的很大,原因与之前相同。
loss = torch.nn.CrossEntropyLoss()
train_iter, test_iter = d2l.load_data_fashion_mnist(batch_size, root='/home/kesci/input/FashionMNIST2065')
d2l.train_ch3(
    net,
    train_iter,
    test_iter,
    loss,
    num_epochs,
    batch_size,
    params,
    lr)
epoch 1, loss 0.0046, train acc 0.549, test acc 0.704
epoch 2, loss 0.0023, train acc 0.785, test acc 0.737
epoch 3, loss 0.0019, train acc 0.825, test acc 0.834
epoch 4, loss 0.0017, train acc 0.842, test acc 0.763
epoch 5, loss 0.0016, train acc 0.848, test acc 0.813

简洁实现

In [30]:

net = nn.Sequential(
        d2l.FlattenLayer(),
        nn.Linear(num_inputs, num_hiddens1),
        nn.ReLU(),
        nn.Dropout(drop_prob1),
        nn.Linear(num_hiddens1, num_hiddens2), 
        nn.ReLU(),
        nn.Dropout(drop_prob2),
        nn.Linear(num_hiddens2, 10)
        )

for param in net.parameters():
    nn.init.normal_(param, mean=0, std=0.01)

In [31]:

optimizer = torch.optim.SGD(net.parameters(), lr=0.5)
d2l.train_ch3(net, train_iter, test_iter, loss, num_epochs, batch_size, None, None, optimizer)
epoch 1, loss 0.0046, train acc 0.553, test acc 0.736
epoch 2, loss 0.0023, train acc 0.785, test acc 0.803
epoch 3, loss 0.0019, train acc 0.818, test acc 0.756
epoch 4, loss 0.0018, train acc 0.835, test acc 0.829
epoch 5, loss 0.0016, train acc 0.848, test acc 0.851

总结

  • 欠拟合现象:模型无法达到一个较低的误差

  • 过拟合现象:训练误差较低但是泛化误差依然较高,二者相差较大

梯度消失、梯度爆炸以及Kaggle房价预测

  1. 梯度消失和梯度爆炸
  2. 考虑到环境因素的其他问题
  3. Kaggle房价预测

梯度消失和梯度爆炸

深度模型有关数值稳定性的典型问题是消失(vanishing)和爆炸(explosion)。

当神经网络的层数较多时,模型的数值稳定性容易变差。

假设一个层数为LL的多层感知机的第ll层H(l)H(l)的权重参数为W(l)W(l),输出层H(L)H(L)的权重参数为W(L)W(L)。为了便于讨论,不考虑偏差参数,且设所有隐藏层的激活函数为恒等映射(identity mapping)ϕ(x)=xϕ(x)=x。给定输入XX,多层感知机的第ll层的输出H(l)=XW(1)W(2)…W(l)H(l)=XW(1)W(2)…W(l)。此时,如果层数ll较大,H(l)H(l)的计算可能会出现衰减或爆炸。举个例子,假设输入和所有层的权重参数都是标量,如权重参数为0.2和5,多层感知机的第30层输出为输入XX分别与0.230≈1×10−210.230≈1×10−21(消失)和530≈9×1020530≈9×1020(爆炸)的乘积。当层数较多时,梯度的计算也容易出现消失或爆炸。

随机初始化模型参数

在神经网络中,通常需要随机初始化模型参数。下面我们来解释这样做的原因。

回顾多层感知机一节描述的多层感知机。为了方便解释,假设输出层只保留一个输出单元o1o1(删去o2o2和o3o3以及指向它们的箭头),且隐藏层使用相同的激活函数。如果将每个隐藏单元的参数都初始化为相等的值,那么在正向传播时每个隐藏单元将根据相同的输入计算出相同的值,并传递至输出层。在反向传播中,每个隐藏单元的参数梯度值相等。因此,这些参数在使用基于梯度的优化算法迭代后值依然相等。之后的迭代也是如此。在这种情况下,无论隐藏单元有多少,隐藏层本质上只有1个隐藏单元在发挥作用。因此,正如在前面的实验中所做的那样,我们通常将神经网络的模型参数,特别是权重参数,进行随机初始化。

Image Name

PyTorch的默认随机初始化

随机初始化模型参数的方法有很多。在线性回归的简洁实现中,我们使用torch.nn.init.normal_()使模型net的权重参数采用正态分布的随机初始化方式。不过,PyTorch中nn.Module的模块参数都采取了较为合理的初始化策略(不同类型的layer具体采样的哪一种初始化方法的可参考源代码),因此一般不用我们考虑。

Xavier随机初始化

还有一种比较常用的随机初始化方法叫作Xavier随机初始化。 假设某全连接层的输入个数为aa,输出个数为bb,Xavier随机初始化将使该层中权重参数的每个元素都随机采样于均匀分布

U(−6a+b−−−−−√,6a+b−−−−−√).U(−6a+b,6a+b).

它的设计主要考虑到,模型参数初始化后,每层输出的方差不该受该层输入个数影响,且每层梯度的方差也不该受该层输出个数影响。

考虑环境因素

协变量偏移

这里我们假设,虽然输入的分布可能随时间而改变,但是标记函数,即条件分布P(y∣x)不会改变。虽然这个问题容易理解,但在实践中也容易忽视。

想想区分猫和狗的一个例子。我们的训练数据使用的是猫和狗的真实的照片,但是在测试时,我们被要求对猫和狗的卡通图片进行分类。

catcatdogdog
Image NameImage NameImage NameImage Name

测试数据:

catcatdogdog
Image NameImage NameImage NameImage Name
 

显然,这不太可能奏效。训练集由照片组成,而测试集只包含卡通。在一个看起来与测试集有着本质不同的数据集上进行训练,而不考虑如何适应新的情况,这是不是一个好主意。不幸的是,这是一个非常常见的陷阱。

统计学家称这种协变量变化是因为问题的根源在于特征分布的变化(即协变量的变化)。数学上,我们可以说P(x)改变了,但P(y∣x)保持不变。尽管它的有用性并不局限于此,当我们认为x导致y时,协变量移位通常是正确的假设。

标签偏移

当我们认为导致偏移的是标签P(y)上的边缘分布的变化,但类条件分布是不变的P(x∣y)时,就会出现相反的问题。当我们认为y导致x时,标签偏移是一个合理的假设。例如,通常我们希望根据其表现来预测诊断结果。在这种情况下,我们认为诊断引起的表现,即疾病引起的症状。有时标签偏移和协变量移位假设可以同时成立。例如,当真正的标签函数是确定的和不变的,那么协变量偏移将始终保持,包括如果标签偏移也保持。有趣的是,当我们期望标签偏移和协变量偏移保持时,使用来自标签偏移假设的方法通常是有利的。这是因为这些方法倾向于操作看起来像标签的对象,这(在深度学习中)与处理看起来像输入的对象(在深度学习中)相比相对容易一些。

病因(要预测的诊断结果)导致 症状(观察到的结果)。

训练数据集,数据很少只包含流感p(y)的样本。

而测试数据集有流感p(y)和流感q(y),其中不变的是流感症状p(x|y)。

概念偏移

另一个相关的问题出现在概念转换中,即标签本身的定义发生变化的情况。这听起来很奇怪,毕竟猫就是猫。的确,猫的定义可能不会改变,但我们能不能对软饮料也这么说呢?事实证明,如果我们周游美国,按地理位置转移数据来源,我们会发现,即使是如图所示的这个简单术语的定义也会发生相当大的概念转变。

Image Name

美国软饮料名称的概念转变美国软饮料名称的概念转变

如果我们要建立一个机器翻译系统,分布P(y∣x)可能因我们的位置而异。这个问题很难发现。另一个可取之处是P(y∣x)通常只是逐渐变化。

Kaggle 房价预测实战

作为深度学习基础篇章的总结,我们将对本章内容学以致用。下面,让我们动手实战一个Kaggle比赛:房价预测。本节将提供未经调优的数据的预处理、模型的设计和超参数的选择。我们希望读者通过动手操作、仔细观察实验现象、认真分析实验结果并不断调整方法,得到令自己满意的结果。

In [3]:

%matplotlib inline
import torch
import torch.nn as nn
import numpy as np
import pandas as pd
import sys
sys.path.append("/home/kesci/input")
import d2lzh1981 as d2l
print(torch.__version__)
torch.set_default_tensor_type(torch.FloatTensor)
1.3.0

获取和读取数据集

比赛数据分为训练数据集和测试数据集。两个数据集都包括每栋房子的特征,如街道类型、建造年份、房顶类型、地下室状况等特征值。这些特征值有连续的数字、离散的标签甚至是缺失值“na”。只有训练数据集包括了每栋房子的价格,也就是标签。我们可以访问比赛网页,点击“Data”标签,并下载这些数据集。

我们将通过pandas库读入并处理数据。在导入本节需要的包前请确保已安装pandas库。 假设解压后的数据位于/home/kesci/input/houseprices2807/目录,它包括两个csv文件。下面使用pandas读取这两个文件。

In [6]:

test_data = pd.read_csv("/home/kesci/input/houseprices2807/house-prices-advanced-regression-techniques/test.csv")
train_data = pd.read_csv("/home/kesci/input/houseprices2807/house-prices-advanced-regression-techniques/train.csv")

训练数据集包括1460个样本、80个特征和1个标签。

In [7]:

train_data.shape

Out[7]:

(1460, 81)

测试数据集包括1459个样本和80个特征。我们需要将测试数据集中每个样本的标签预测出来。

In [8]:

test_data.shape

Out[8]:

(1459, 80)

让我们来查看前4个样本的前4个特征、后2个特征和标签(SalePrice):

In [9]:

train_data.iloc[0:4, [0, 1, 2, 3, -3, -2, -1]]

Out[9]:

 IdMSSubClassMSZoningLotFrontageSaleTypeSaleConditionSalePrice
0160RL65.0WDNormal208500
1220RL80.0WDNormal181500
2360RL68.0WDNormal223500
3470RL60.0WDAbnorml140000

可以看到第一个特征是Id,它能帮助模型记住每个训练样本,但难以推广到测试样本,所以我们不使用它来训练。我们将所有的训练数据和测试数据的79个特征按样本连结。

In [10]:

all_features = pd.concat((train_data.iloc[:, 1:-1], test_data.iloc[:, 1:]))

预处理数据

我们对连续数值的特征做标准化(standardization):设该特征在整个数据集上的均值为μμ,标准差为σσ。那么,我们可以将该特征的每个值先减去μμ再除以σσ得到标准化后的每个特征值。对于缺失的特征值,我们将其替换成该特征的均值。

In [11]:

numeric_features = all_features.dtypes[all_features.dtypes != 'object'].index
all_features[numeric_features] = all_features[numeric_features].apply(
    lambda x: (x - x.mean()) / (x.std()))
# 标准化后,每个数值特征的均值变为0,所以可以直接用0来替换缺失值
all_features[numeric_features] = all_features[numeric_features].fillna(0)

接下来将离散数值转成指示特征。举个例子,假设特征MSZoning里面有两个不同的离散值RL和RM,那么这一步转换将去掉MSZoning特征,并新加两个特征MSZoning_RL和MSZoning_RM,其值为0或1。如果一个样本原来在MSZoning里的值为RL,那么有MSZoning_RL=1且MSZoning_RM=0。

In [12]:

# dummy_na=True将缺失值也当作合法的特征值并为其创建指示特征
all_features = pd.get_dummies(all_features, dummy_na=True)
all_features.shape

Out[12]:

(2919, 331)

可以看到这一步转换将特征数从79增加到了331。

最后,通过values属性得到NumPy格式的数据,并转成Tensor方便后面的训练。

In [13]:

n_train = train_data.shape[0]
train_features = torch.tensor(all_features[:n_train].values, dtype=torch.float)
test_features = torch.tensor(all_features[n_train:].values, dtype=torch.float)
train_labels = torch.tensor(train_data.SalePrice.values, dtype=torch.float).view(-1, 1)

训练模型

In [14]:

loss = torch.nn.MSELoss()

def get_net(feature_num):
    net = nn.Linear(feature_num, 1)
    for param in net.parameters():
        nn.init.normal_(param, mean=0, std=0.01)
    return net

下面定义比赛用来评价模型的对数均方根误差。给定预测值y^1,…,y^ny^1,…,y^n和对应的真实标签y1,…,yny1,…,yn,它的定义为

1n∑i=1n(log(yi)−log(y^i))2−−−−−−−−−−−−−−−−−−−−√.1n∑i=1n(log⁡(yi)−log⁡(y^i))2.

对数均方根误差的实现如下。

In [15]:

def log_rmse(net, features, labels):
    with torch.no_grad():
        # 将小于1的值设成1,使得取对数时数值更稳定
        clipped_preds = torch.max(net(features), torch.tensor(1.0))
        rmse = torch.sqrt(2 * loss(clipped_preds.log(), labels.log()).mean())
    return rmse.item()

下面的训练函数跟本章中前几节的不同在于使用了Adam优化算法。相对之前使用的小批量随机梯度下降,它对学习率相对不那么敏感。我们将在之后的“优化算法”一章里详细介绍它。

In [16]:

def train(net, train_features, train_labels, test_features, test_labels,
          num_epochs, learning_rate, weight_decay, batch_size):
    train_ls, test_ls = [], []
    dataset = torch.utils.data.TensorDataset(train_features, train_labels)
    train_iter = torch.utils.data.DataLoader(dataset, batch_size, shuffle=True)
    # 这里使用了Adam优化算法
    optimizer = torch.optim.Adam(params=net.parameters(), lr=learning_rate, weight_decay=weight_decay) 
    net = net.float()
    for epoch in range(num_epochs):
        for X, y in train_iter:
            l = loss(net(X.float()), y.float())
            optimizer.zero_grad()
            l.backward()
            optimizer.step()
        train_ls.append(log_rmse(net, train_features, train_labels))
        if test_labels is not None:
            test_ls.append(log_rmse(net, test_features, test_labels))
    return train_ls, test_ls

K折交叉验证

我们在模型选择、欠拟合和过拟合中介绍了KK折交叉验证。它将被用来选择模型设计并调节超参数。下面实现了一个函数,它返回第i折交叉验证时所需要的训练和验证数据。

In [17]:

def get_k_fold_data(k, i, X, y):
    # 返回第i折交叉验证时所需要的训练和验证数据
    assert k > 1
    fold_size = X.shape[0] // k
    X_train, y_train = None, None
    for j in range(k):
        idx = slice(j * fold_size, (j + 1) * fold_size)
        X_part, y_part = X[idx, :], y[idx]
        if j == i:
            X_valid, y_valid = X_part, y_part
        elif X_train is None:
            X_train, y_train = X_part, y_part
        else:
            X_train = torch.cat((X_train, X_part), dim=0)
            y_train = torch.cat((y_train, y_part), dim=0)
    return X_train, y_train, X_valid, y_valid

在KK折交叉验证中我们训练KK次并返回训练和验证的平均误差

In [18]:

def k_fold(k, X_train, y_train, num_epochs,
           learning_rate, weight_decay, batch_size):
    train_l_sum, valid_l_sum = 0, 0
    for i in range(k):
        data = get_k_fold_data(k, i, X_train, y_train)
        net = get_net(X_train.shape[1])
        train_ls, valid_ls = train(net, *data, num_epochs, learning_rate,
                                   weight_decay, batch_size)
        train_l_sum += train_ls[-1]
        valid_l_sum += valid_ls[-1]
        if i == 0:
            d2l.semilogy(range(1, num_epochs + 1), train_ls, 'epochs', 'rmse',
                         range(1, num_epochs + 1), valid_ls,
                         ['train', 'valid'])
        print('fold %d, train rmse %f, valid rmse %f' % (i, train_ls[-1], valid_ls[-1]))
    return train_l_sum / k, valid_l_sum / k

模型选择

我们使用一组未经调优的超参数并计算交叉验证误差。可以改动这些超参数来尽可能减小平均测试误差。 有时候你会发现一组参数的训练误差可以达到很低,但是在KK折交叉验证上的误差可能反而较高。这种现象很可能是由过拟合造成的。因此,当训练误差降低时,我们要观察KK折交叉验证上的误差是否也相应降低。

In [19]:

k, num_epochs, lr, weight_decay, batch_size = 5, 100, 5, 0, 64
train_l, valid_l = k_fold(k, train_features, train_labels, num_epochs, lr, weight_decay, batch_size)
print('%d-fold validation: avg train rmse %f, avg valid rmse %f' % (k, train_l, valid_l))
fold 0, train rmse 0.241365, valid rmse 0.223083
fold 1, train rmse 0.229118, valid rmse 0.267488
fold 2, train rmse 0.232072, valid rmse 0.237995
fold 3, train rmse 0.238050, valid rmse 0.218671
fold 4, train rmse 0.231004, valid rmse 0.259185
5-fold validation: avg train rmse 0.234322, avg valid rmse 0.241284

预测并在Kaggle中提交结果

下面定义预测函数。在预测之前,我们会使用完整的训练数据集来重新训练模型,并将预测结果存成提交所需要的格式。

In [20]:

def train_and_pred(train_features, test_features, train_labels, test_data,
                   num_epochs, lr, weight_decay, batch_size):
    net = get_net(train_features.shape[1])
    train_ls, _ = train(net, train_features, train_labels, None, None,
                        num_epochs, lr, weight_decay, batch_size)
    d2l.semilogy(range(1, num_epochs + 1), train_ls, 'epochs', 'rmse')
    print('train rmse %f' % train_ls[-1])
    preds = net(test_features).detach().numpy()
    test_data['SalePrice'] = pd.Series(preds.reshape(1, -1)[0])
    submission = pd.concat([test_data['Id'], test_data['SalePrice']], axis=1)
    submission.to_csv('./submission.csv', index=False)
    # sample_submission_data = pd.read_csv("../input/house-prices-advanced-regression-techniques/sample_submission.csv")

设计好模型并调好超参数之后,下一步就是对测试数据集上的房屋样本做价格预测。如果我们得到与交叉验证时差不多的训练误差,那么这个结果很可能是理想的,可以在Kaggle上提交结果。

In [ ]:

train_and_pred(train_features, test_features, train_labels, test_data, num_epochs, lr, weight_decay, batch_size)

希望大家自己动手完成房价预测的实现,多参与讨论。

 

卷积神经网络基础

本节我们介绍卷积神经网络的基础概念,主要是卷积层和池化层,并解释填充、步幅、输入通道和输出通道的含义。

二维卷积层

本节介绍的是最常见的二维卷积层,常用于处理图像数据。

二维互相关运算

二维互相关(cross-correlation)运算的输入是一个二维输入数组和一个二维核(kernel)数组,输出也是一个二维数组,其中核数组通常称为卷积核或过滤器(filter)。卷积核的尺寸通常小于输入数组,卷积核在输入数组上滑动,在每个位置上,卷积核与该位置处的输入子数组按元素相乘并求和,得到输出数组中相应位置的元素。图1展示了一个互相关运算的例子,阴影部分分别是输入的第一个计算区域、核数组以及对应的输出。

Image Name图1 二维互相关运算

下面我们用corr2d函数实现二维互相关运算,它接受输入数组X与核数组K,并输出数组Y

In [1]:

import torch 
import torch.nn as nn

def corr2d(X, K):
    H, W = X.shape
    h, w = K.shape
    Y = torch.zeros(H - h + 1, W - w + 1)
    for i in range(Y.shape[0]):
        for j in range(Y.shape[1]):
            Y[i, j] = (X[i: i + h, j: j + w] * K).sum()
    return Y

构造上图中的输入数组X、核数组K来验证二维互相关运算的输出。

In [2]:

X = torch.tensor([[0, 1, 2], [3, 4, 5], [6, 7, 8]])
K = torch.tensor([[0, 1], [2, 3]])
Y = corr2d(X, K)
print(Y)
tensor([[19., 25.],
        [37., 43.]])

二维卷积层

二维卷积层将输入和卷积核做互相关运算,并加上一个标量偏置来得到输出。卷积层的模型参数包括卷积核和标量偏置。

In [3]:

class Conv2D(nn.Module):
    def __init__(self, kernel_size):
        super(Conv2D, self).__init__()
        self.weight = nn.Parameter(torch.randn(kernel_size))
        self.bias = nn.Parameter(torch.randn(1))

    def forward(self, x):
        return corr2d(x, self.weight) + self.bias

下面我们看一个例子,我们构造一张6×86×8的图像,中间4列为黑(0),其余为白(1),希望检测到颜色边缘。我们的标签是一个6×76×7的二维数组,第2列是1(从1到0的边缘),第6列是-1(从0到1的边缘)。

In [4]:

X = torch.ones(6, 8)
Y = torch.zeros(6, 7)
X[:, 2: 6] = 0
Y[:, 1] = 1
Y[:, 5] = -1
print(X)
print(Y)
tensor([[1., 1., 0., 0., 0., 0., 1., 1.],
        [1., 1., 0., 0., 0., 0., 1., 1.],
        [1., 1., 0., 0., 0., 0., 1., 1.],
        [1., 1., 0., 0., 0., 0., 1., 1.],
        [1., 1., 0., 0., 0., 0., 1., 1.],
        [1., 1., 0., 0., 0., 0., 1., 1.]])
tensor([[ 0.,  1.,  0.,  0.,  0., -1.,  0.],
        [ 0.,  1.,  0.,  0.,  0., -1.,  0.],
        [ 0.,  1.,  0.,  0.,  0., -1.,  0.],
        [ 0.,  1.,  0.,  0.,  0., -1.,  0.],
        [ 0.,  1.,  0.,  0.,  0., -1.,  0.],
        [ 0.,  1.,  0.,  0.,  0., -1.,  0.]])

我们希望学习一个1×21×2卷积层,通过卷积层来检测颜色边缘。

In [5]:

conv2d = Conv2D(kernel_size=(1, 2))
step = 30
lr = 0.01
for i in range(step):
    Y_hat = conv2d(X)
    l = ((Y_hat - Y) ** 2).sum()
    l.backward()
    # 梯度下降
    conv2d.weight.data -= lr * conv2d.weight.grad
    conv2d.bias.data -= lr * conv2d.bias.grad
    
    # 梯度清零
    conv2d.weight.grad.zero_()
    conv2d.bias.grad.zero_()
    if (i + 1) % 5 == 0:
        print('Step %d, loss %.3f' % (i + 1, l.item()))
        
print(conv2d.weight.data)
print(conv2d.bias.data)
Step 5, loss 4.569
Step 10, loss 0.949
Step 15, loss 0.228
Step 20, loss 0.060
Step 25, loss 0.016
Step 30, loss 0.004
tensor([[ 1.0161, -1.0177]])
tensor([0.0009])

互相关运算与卷积运算

卷积层得名于卷积运算,但卷积层中用到的并非卷积运算而是互相关运算。我们将核数组上下翻转、左右翻转,再与输入数组做互相关运算,这一过程就是卷积运算。由于卷积层的核数组是可学习的,所以使用互相关运算与使用卷积运算并无本质区别。

特征图与感受野

二维卷积层输出的二维数组可以看作是输入在空间维度(宽和高)上某一级的表征,也叫特征图(feature map)。影响元素xx的前向计算的所有可能输入区域(可能大于输入的实际尺寸)叫做xx的感受野(receptive field)。

以图1为例,输入中阴影部分的四个元素是输出中阴影部分元素的感受野。我们将图中形状为2×22×2的输出记为YY,将YY与另一个形状为2×22×2的核数组做互相关运算,输出单个元素zz。那么,zz在YY上的感受野包括YY的全部四个元素,在输入上的感受野包括其中全部9个元素。可见,我们可以通过更深的卷积神经网络使特征图中单个元素的感受野变得更加广阔,从而捕捉输入上更大尺寸的特征。

填充和步幅

我们介绍卷积层的两个超参数,即填充和步幅,它们可以对给定形状的输入和卷积核改变输出形状。

填充

填充(padding)是指在输入高和宽的两侧填充元素(通常是0元素),图2里我们在原输入高和宽的两侧分别添加了值为0的元素。

Image Name

图2 在输入的高和宽两侧分别填充了0元素的二维互相关计算

如果原输入的高和宽是nhnh和nwnw,卷积核的高和宽是khkh和kwkw,在高的两侧一共填充phph行,在宽的两侧一共填充pwpw列,则输出形状为:

(nh+ph−kh+1)×(nw+pw−kw+1)(nh+ph−kh+1)×(nw+pw−kw+1)

我们在卷积神经网络中使用奇数高宽的核,比如3×33×3,5×55×5的卷积核,对于高度(或宽度)为大小为2k+12k+1的核,令步幅为1,在高(或宽)两侧选择大小为kk的填充,便可保持输入与输出尺寸相同。

步幅

在互相关运算中,卷积核在输入数组上滑动,每次滑动的行数与列数即是步幅(stride)。此前我们使用的步幅都是1,图3展示了在高上步幅为3、在宽上步幅为2的二维互相关运算。

Image Name

图3 高和宽上步幅分别为3和2的二维互相关运算

一般来说,当高上步幅为shsh,宽上步幅为swsw时,输出形状为:

⌊(nh+ph−kh+sh)/sh⌋×⌊(nw+pw−kw+sw)/sw⌋⌊(nh+ph−kh+sh)/sh⌋×⌊(nw+pw−kw+sw)/sw⌋

如果ph=kh−1ph=kh−1,pw=kw−1pw=kw−1,那么输出形状将简化为⌊(nh+sh−1)/sh⌋×⌊(nw+sw−1)/sw⌋⌊(nh+sh−1)/sh⌋×⌊(nw+sw−1)/sw⌋。更进一步,如果输入的高和宽能分别被高和宽上的步幅整除,那么输出形状将是(nh/sh)×(nw/sw)(nh/sh)×(nw/sw)。

当ph=pw=pph=pw=p时,我们称填充为pp;当sh=sw=ssh=sw=s时,我们称步幅为ss。

多输入通道和多输出通道

之前的输入和输出都是二维数组,但真实数据的维度经常更高。例如,彩色图像在高和宽2个维度外还有RGB(红、绿、蓝)3个颜色通道。假设彩色图像的高和宽分别是hh和ww(像素),那么它可以表示为一个3×h×w3×h×w的多维数组,我们将大小为3的这一维称为通道(channel)维。

多输入通道

卷积层的输入可以包含多个通道,图4展示了一个含2个输入通道的二维互相关计算的例子。

Image Name

图4 含2个输入通道的互相关计算

假设输入数据的通道数为cici,卷积核形状为kh×kwkh×kw,我们为每个输入通道各分配一个形状为kh×kwkh×kw的核数组,将cici个互相关运算的二维输出按通道相加,得到一个二维数组作为输出。我们把cici个核数组在通道维上连结,即得到一个形状为ci×kh×kwci×kh×kw的卷积核。

多输出通道

卷积层的输出也可以包含多个通道,设卷积核输入通道数和输出通道数分别为cici和coco,高和宽分别为khkh和kwkw。如果希望得到含多个通道的输出,我们可以为每个输出通道分别创建形状为ci×kh×kwci×kh×kw的核数组,将它们在输出通道维上连结,卷积核的形状即co×ci×kh×kwco×ci×kh×kw。

对于输出通道的卷积核,我们提供这样一种理解,一个ci×kh×kwci×kh×kw的核数组可以提取某种局部特征,但是输入可能具有相当丰富的特征,我们需要有多个这样的ci×kh×kwci×kh×kw的核数组,不同的核数组提取的是不同的特征。

1x1卷积层

最后讨论形状为1×11×1的卷积核,我们通常称这样的卷积运算为1×11×1卷积,称包含这种卷积核的卷积层为1×11×1卷积层。图5展示了使用输入通道数为3、输出通道数为2的1×11×1卷积核的互相关计算。

Image Name

图5 1x1卷积核的互相关计算。输入和输出具有相同的高和宽

1×11×1卷积核可在不改变高宽的情况下,调整通道数。1×11×1卷积核不识别高和宽维度上相邻元素构成的模式,其主要计算发生在通道维上。假设我们将通道维当作特征维,将高和宽维度上的元素当成数据样本,那么1×11×1卷积层的作用与全连接层等价。

卷积层与全连接层的对比

二维卷积层经常用于处理图像,与此前的全连接层相比,它主要有两个优势:

一是全连接层把图像展平成一个向量,在输入图像上相邻的元素可能因为展平操作不再相邻,网络难以捕捉局部信息。而卷积层的设计,天然地具有提取局部信息的能力。

二是卷积层的参数量更少。不考虑偏置的情况下,一个形状为(ci,co,h,w)(ci,co,h,w)的卷积核的参数量是ci×co×h×wci×co×h×w,与输入图像的宽高无关。假如一个卷积层的输入和输出形状分别是(c1,h1,w1)(c1,h1,w1)和(c2,h2,w2)(c2,h2,w2),如果要用全连接层进行连接,参数数量就是c1×c2×h1×w1×h2×w2c1×c2×h1×w1×h2×w2。使用卷积层可以以较少的参数数量来处理更大的图像。

卷积层的简洁实现

我们使用Pytorch中的nn.Conv2d类来实现二维卷积层,主要关注以下几个构造函数参数:

  • in_channels (python:int) – Number of channels in the input imag
  • out_channels (python:int) – Number of channels produced by the convolution
  • kernel_size (python:int or tuple) – Size of the convolving kernel
  • stride (python:int or tuple, optional) – Stride of the convolution. Default: 1
  • padding (python:int or tuple, optional) – Zero-padding added to both sides of the input. Default: 0
  • bias (bool, optional) – If True, adds a learnable bias to the output. Default: True

forward函数的参数为一个四维张量,形状为(N,Cin,Hin,Win)(N,Cin,Hin,Win),返回值也是一个四维张量,形状为(N,Cout,Hout,Wout)(N,Cout,Hout,Wout),其中NN是批量大小,C,H,WC,H,W分别表示通道数、高度、宽度。

代码讲解

In [6]:

X = torch.rand(4, 2, 3, 5)
print(X.shape)

conv2d = nn.Conv2d(in_channels=2, out_channels=3, kernel_size=(3, 5), stride=1, padding=(1, 2))
Y = conv2d(X)
print('Y.shape: ', Y.shape)
print('weight.shape: ', conv2d.weight.shape)
print('bias.shape: ', conv2d.bias.shape)
torch.Size([4, 2, 3, 5])
Y.shape:  torch.Size([4, 3, 3, 5])
weight.shape:  torch.Size([3, 2, 3, 5])
bias.shape:  torch.Size([3])

池化

二维池化层

池化层主要用于缓解卷积层对位置的过度敏感性。同卷积层一样,池化层每次对输入数据的一个固定形状窗口(又称池化窗口)中的元素计算输出,池化层直接计算池化窗口内元素的最大值或者平均值,该运算也分别叫做最大池化或平均池化。图6展示了池化窗口形状为2×22×2的最大池化。

Image Name

图6 池化窗口形状为 2 x 2 的最大池化

二维平均池化的工作原理与二维最大池化类似,但将最大运算符替换成平均运算符。池化窗口形状为p×qp×q的池化层称为p×qp×q池化层,其中的池化运算叫作p×qp×q池化。

池化层也可以在输入的高和宽两侧填充并调整窗口的移动步幅来改变输出形状。池化层填充和步幅与卷积层填充和步幅的工作机制一样。

在处理多通道输入数据时,池化层对每个输入通道分别池化,但不会像卷积层那样将各通道的结果按通道相加。这意味着池化层的输出通道数与输入通道数相等。

池化层的简洁实现

我们使用Pytorch中的nn.MaxPool2d实现最大池化层,关注以下构造函数参数:

  • kernel_size – the size of the window to take a max over
  • stride – the stride of the window. Default value is kernel_size
  • padding – implicit zero padding to be added on both sides

forward函数的参数为一个四维张量,形状为(N,C,Hin,Win)(N,C,Hin,Win),返回值也是一个四维张量,形状为(N,C,Hout,Wout)(N,C,Hout,Wout),其中NN是批量大小,C,H,WC,H,W分别表示通道数、高度、宽度。

代码讲解

In [7]:

X = torch.arange(32, dtype=torch.float32).view(1, 2, 4, 4)
pool2d = nn.MaxPool2d(kernel_size=3, padding=1, stride=(2, 1))
Y = pool2d(X)
print(X)
print(Y)
tensor([[[[ 0.,  1.,  2.,  3.],
          [ 4.,  5.,  6.,  7.],
          [ 8.,  9., 10., 11.],
          [12., 13., 14., 15.]],

         [[16., 17., 18., 19.],
          [20., 21., 22., 23.],
          [24., 25., 26., 27.],
          [28., 29., 30., 31.]]]])
tensor([[[[ 5.,  6.,  7.,  7.],
          [13., 14., 15., 15.]],

         [[21., 22., 23., 23.],
          [29., 30., 31., 31.]]]])

平均池化层使用的是nn.AvgPool2d,使用方法与nn.MaxPool2d相同。

 

course content

  1. lenet 模型介绍
  2. lenet 网络搭建
  3. 运用lenet进行图像识别-fashion-mnist数据集

Convolutional Neural Networks

使用全连接层的局限性:

  • 图像在同一列邻近的像素在这个向量中可能相距较远。它们构成的模式可能难以被模型识别。
  • 对于大尺寸的输入图像,使用全连接层容易导致模型过大。

使用卷积层的优势:

  • 卷积层保留输入形状。
  • 卷积层通过滑动窗口将同一卷积核与不同位置的输入重复计算,从而避免参数尺寸过大。

LeNet 模型

LeNet分为卷积层块和全连接层块两个部分。下面我们分别介绍这两个模块。

Image Name

卷积层块里的基本单位是卷积层后接平均池化层:卷积层用来识别图像里的空间模式,如线条和物体局部,之后的平均池化层则用来降低卷积层对位置的敏感性。

卷积层块由两个这样的基本单位重复堆叠构成。在卷积层块中,每个卷积层都使用5×55×5的窗口,并在输出上使用sigmoid激活函数。第一个卷积层输出通道数为6,第二个卷积层输出通道数则增加到16。

全连接层块含3个全连接层。它们的输出个数分别是120、84和10,其中10为输出的类别个数。

下面我们通过Sequential类来实现LeNet模型。

In [1]:

#import
import sys
sys.path.append("/home/kesci/input")
import d2lzh1981 as d2l
import torch
import torch.nn as nn
import torch.optim as optim
import time

In [2]:

#net
class Flatten(torch.nn.Module):  #展平操作
    def forward(self, x):
        return x.view(x.shape[0], -1)

class Reshape(torch.nn.Module): #将图像大小重定型
    def forward(self, x):
        return x.view(-1,1,28,28)      #(B x C x H x W)
    
net = torch.nn.Sequential(     #Lelet                                                  
    Reshape(),
    nn.Conv2d(in_channels=1, out_channels=6, kernel_size=5, padding=2), #b*1*28*28  =>b*6*28*28
    nn.Sigmoid(),                                                       
    nn.AvgPool2d(kernel_size=2, stride=2),                              #b*6*28*28  =>b*6*14*14
    nn.Conv2d(in_channels=6, out_channels=16, kernel_size=5),           #b*6*14*14  =>b*16*10*10
    nn.Sigmoid(),
    nn.AvgPool2d(kernel_size=2, stride=2),                              #b*16*10*10  => b*16*5*5
    Flatten(),                                                          #b*16*5*5   => b*400
    nn.Linear(in_features=16*5*5, out_features=120),
    nn.Sigmoid(),
    nn.Linear(120, 84),
    nn.Sigmoid(),
    nn.Linear(84, 10)
)

接下来我们构造一个高和宽均为28的单通道数据样本,并逐层进行前向计算来查看每个层的输出形状。

In [3]:

#print
X = torch.randn(size=(1,1,28,28), dtype = torch.float32)
for layer in net:
    X = layer(X)
    print(layer.__class__.__name__,'output shape: \t',X.shape)
Reshape output shape: 	 torch.Size([1, 1, 28, 28])
Conv2d output shape: 	 torch.Size([1, 6, 28, 28])
Sigmoid output shape: 	 torch.Size([1, 6, 28, 28])
AvgPool2d output shape: 	 torch.Size([1, 6, 14, 14])
Conv2d output shape: 	 torch.Size([1, 16, 10, 10])
Sigmoid output shape: 	 torch.Size([1, 16, 10, 10])
AvgPool2d output shape: 	 torch.Size([1, 16, 5, 5])
Flatten output shape: 	 torch.Size([1, 400])
Linear output shape: 	 torch.Size([1, 120])
Sigmoid output shape: 	 torch.Size([1, 120])
Linear output shape: 	 torch.Size([1, 84])
Sigmoid output shape: 	 torch.Size([1, 84])
Linear output shape: 	 torch.Size([1, 10])

可以看到,在卷积层块中输入的高和宽在逐层减小。卷积层由于使用高和宽均为5的卷积核,从而将高和宽分别减小4,而池化层则将高和宽减半,但通道数则从1增加到16。全连接层则逐层减少输出个数,直到变成图像的类别数10。

Image Name

获取数据和训练模型

下面我们来实现LeNet模型。我们仍然使用Fashion-MNIST作为训练数据集。

In [4]:

# 数据
batch_size = 256
train_iter, test_iter = d2l.load_data_fashion_mnist(
    batch_size=batch_size, root='/home/kesci/input/FashionMNIST2065')
print(len(train_iter))
235

为了使读者更加形象的看到数据,添加额外的部分来展示数据的图像

In [5]:

#数据展示
import matplotlib.pyplot as plt
def show_fashion_mnist(images, labels):
    d2l.use_svg_display()
    # 这里的_表示我们忽略(不使用)的变量
    _, figs = plt.subplots(1, len(images), figsize=(12, 12))
    for f, img, lbl in zip(figs, images, labels):
        f.imshow(img.view((28, 28)).numpy())
        f.set_title(lbl)
        f.axes.get_xaxis().set_visible(False)
        f.axes.get_yaxis().set_visible(False)
    plt.show()

for Xdata,ylabel in train_iter:
    break
X, y = [], []
for i in range(10):
    print(Xdata[i].shape,ylabel[i].numpy())
    X.append(Xdata[i]) # 将第i个feature加到X中
    y.append(ylabel[i].numpy()) # 将第i个label加到y中
show_fashion_mnist(X, y)
torch.Size([1, 28, 28]) 3
torch.Size([1, 28, 28]) 8
torch.Size([1, 28, 28]) 1
torch.Size([1, 28, 28]) 4
torch.Size([1, 28, 28]) 0
torch.Size([1, 28, 28]) 0
torch.Size([1, 28, 28]) 4
torch.Size([1, 28, 28]) 9
torch.Size([1, 28, 28]) 4
torch.Size([1, 28, 28]) 7

因为卷积神经网络计算比多层感知机要复杂,建议使用GPU来加速计算。我们查看看是否可以用GPU,如果成功则使用cuda:0,否则仍然使用cpu

In [6]:

# This function has been saved in the d2l package for future use
#use GPU
def try_gpu():
    """If GPU is available, return torch.device as cuda:0; else return torch.device as cpu."""
    if torch.cuda.is_available():
        device = torch.device('cuda:0')
    else:
        device = torch.device('cpu')
    return device

device = try_gpu()
device

Out[6]:

device(type='cpu')

我们实现evaluate_accuracy函数,该函数用于计算模型net在数据集data_iter上的准确率。

In [7]:

#计算准确率
'''
(1). net.train()
  启用 BatchNormalization 和 Dropout,将BatchNormalization和Dropout置为True
(2). net.eval()
不启用 BatchNormalization 和 Dropout,将BatchNormalization和Dropout置为False
'''

def evaluate_accuracy(data_iter, net,device=torch.device('cpu')):
    """Evaluate accuracy of a model on the given data set."""
    acc_sum,n = torch.tensor([0],dtype=torch.float32,device=device),0
    for X,y in data_iter:
        # If device is the GPU, copy the data to the GPU.
        X,y = X.to(device),y.to(device)
        net.eval()
        with torch.no_grad():
            y = y.long()
            acc_sum += torch.sum((torch.argmax(net(X), dim=1) == y))  #[[0.2 ,0.4 ,0.5 ,0.6 ,0.8] ,[ 0.1,0.2 ,0.4 ,0.3 ,0.1]] => [ 4 , 2 ]
            n += y.shape[0]
    return acc_sum.item()/n

我们定义函数train_ch5,用于训练模型。

In [8]:

#训练函数
def train_ch5(net, train_iter, test_iter,criterion, num_epochs, batch_size, device,lr=None):
    """Train and evaluate a model with CPU or GPU."""
    print('training on', device)
    net.to(device)
    optimizer = optim.SGD(net.parameters(), lr=lr)
    for epoch in range(num_epochs):
        train_l_sum = torch.tensor([0.0],dtype=torch.float32,device=device)
        train_acc_sum = torch.tensor([0.0],dtype=torch.float32,device=device)
        n, start = 0, time.time()
        for X, y in train_iter:
            net.train()
            
            optimizer.zero_grad()
            X,y = X.to(device),y.to(device) 
            y_hat = net(X)
            loss = criterion(y_hat, y)
            loss.backward()
            optimizer.step()
            
            with torch.no_grad():
                y = y.long()
                train_l_sum += loss.float()
                train_acc_sum += (torch.sum((torch.argmax(y_hat, dim=1) == y))).float()
                n += y.shape[0]
        test_acc = evaluate_accuracy(test_iter, net,device)
        print('epoch %d, loss %.4f, train acc %.3f, test acc %.3f, '
              'time %.1f sec'
              % (epoch + 1, train_l_sum/n, train_acc_sum/n, test_acc,
                 time.time() - start))

我们重新将模型参数初始化到对应的设备device(cpu or cuda:0)之上,并使用Xavier随机初始化。损失函数和训练算法则依然使用交叉熵损失函数和小批量随机梯度下降。

In [9]:

# 训练
lr, num_epochs = 0.9, 10

def init_weights(m):
    if type(m) == nn.Linear or type(m) == nn.Conv2d:
        torch.nn.init.xavier_uniform_(m.weight)

net.apply(init_weights)
net = net.to(device)

criterion = nn.CrossEntropyLoss()   #交叉熵描述了两个概率分布之间的距离,交叉熵越小说明两者之间越接近
train_ch5(net, train_iter, test_iter, criterion,num_epochs, batch_size,device, lr)
training on cpu
epoch 1, loss 0.0091, train acc 0.100, test acc 0.168, time 21.6 sec
epoch 2, loss 0.0065, train acc 0.355, test acc 0.599, time 21.5 sec
epoch 3, loss 0.0035, train acc 0.651, test acc 0.665, time 21.8 sec
epoch 4, loss 0.0028, train acc 0.717, test acc 0.723, time 21.7 sec
epoch 5, loss 0.0025, train acc 0.746, test acc 0.753, time 21.4 sec
epoch 6, loss 0.0023, train acc 0.767, test acc 0.754, time 21.5 sec
epoch 7, loss 0.0022, train acc 0.782, test acc 0.785, time 21.3 sec
epoch 8, loss 0.0021, train acc 0.798, test acc 0.791, time 21.8 sec
epoch 9, loss 0.0019, train acc 0.811, test acc 0.790, time 22.0 sec
epoch 10, loss 0.0019, train acc 0.821, test acc 0.804, time 22.1 sec

In [10]:

# test
for testdata,testlabe in test_iter:
    testdata,testlabe = testdata.to(device),testlabe.to(device)
    break
print(testdata.shape,testlabe.shape)
net.eval()
y_pre = net(testdata)
print(torch.argmax(y_pre,dim=1)[:10])
print(testlabe[:10])
torch.Size([256, 1, 28, 28]) torch.Size([256])
tensor([9, 2, 1, 1, 6, 1, 2, 6, 5, 7])
tensor([9, 2, 1, 1, 6, 1, 4, 6, 5, 7])

总结:

卷积神经网络就是含卷积层的网络。 LeNet交替使用卷积层和最大池化层后接全连接层来进行图像分类。

 

深度卷积神经网络(AlexNet)

LeNet: 在大的真实数据集上的表现并不尽如⼈意。
1.神经网络计算复杂。
2.还没有⼤量深⼊研究参数初始化和⾮凸优化算法等诸多领域。

机器学习的特征提取:手工定义的特征提取函数
神经网络的特征提取:通过学习得到数据的多级表征,并逐级表⽰越来越抽象的概念或模式。

神经网络发展的限制:数据、硬件

AlexNet

首次证明了学习到的特征可以超越⼿⼯设计的特征,从而⼀举打破计算机视觉研究的前状。
特征:

  1. 8层变换,其中有5层卷积和2层全连接隐藏层,以及1个全连接输出层。
  2. 将sigmoid激活函数改成了更加简单的ReLU激活函数。
  3. 用Dropout来控制全连接层的模型复杂度。
  4. 引入数据增强,如翻转、裁剪和颜色变化,从而进一步扩大数据集来缓解过拟合。

Image Name

In [1]:

#目前GPU算力资源预计17日上线,在此之前本代码只能使用CPU运行。
#考虑到本代码中的模型过大,CPU训练较慢,
#我们还将代码上传了一份到 https://www.kaggle.com/boyuai/boyu-d2l-modernconvolutionalnetwork
#如希望提前使用gpu运行请至kaggle。


import time
import torch
from torch import nn, optim
import torchvision
import numpy as np
import sys
sys.path.append("/home/kesci/input/") 
import d2lzh1981 as d2l
import os
import torch.nn.functional as F

device = torch.device('cuda' if torch.cuda.is_available() else 'cpu')

class AlexNet(nn.Module):
    def __init__(self):
        super(AlexNet, self).__init__()
        self.conv = nn.Sequential(
            nn.Conv2d(1, 96, 11, 4), # in_channels, out_channels, kernel_size, stride, padding
            nn.ReLU(),
            nn.MaxPool2d(3, 2), # kernel_size, stride
            # 减小卷积窗口,使用填充为2来使得输入与输出的高和宽一致,且增大输出通道数
            nn.Conv2d(96, 256, 5, 1, 2),
            nn.ReLU(),
            nn.MaxPool2d(3, 2),
            # 连续3个卷积层,且使用更小的卷积窗口。除了最后的卷积层外,进一步增大了输出通道数。
            # 前两个卷积层后不使用池化层来减小输入的高和宽
            nn.Conv2d(256, 384, 3, 1, 1),
            nn.ReLU(),
            nn.Conv2d(384, 384, 3, 1, 1),
            nn.ReLU(),
            nn.Conv2d(384, 256, 3, 1, 1),
            nn.ReLU(),
            nn.MaxPool2d(3, 2)
        )
         # 这里全连接层的输出个数比LeNet中的大数倍。使用丢弃层来缓解过拟合
        self.fc = nn.Sequential(
            nn.Linear(256*5*5, 4096),
            nn.ReLU(),
            nn.Dropout(0.5),
            #由于使用CPU镜像,精简网络,若为GPU镜像可添加该层
            #nn.Linear(4096, 4096),
            #nn.ReLU(),
            #nn.Dropout(0.5),

            # 输出层。由于这里使用Fashion-MNIST,所以用类别数为10,而非论文中的1000
            nn.Linear(4096, 10),
        )

    def forward(self, img):

        feature = self.conv(img)
        output = self.fc(feature.view(img.shape[0], -1))
        return output

In [2]:

net = AlexNet()
print(net)
AlexNet(
  (conv): Sequential(
    (0): Conv2d(1, 96, kernel_size=(11, 11), stride=(4, 4))
    (1): ReLU()
    (2): MaxPool2d(kernel_size=3, stride=2, padding=0, dilation=1, ceil_mode=False)
    (3): Conv2d(96, 256, kernel_size=(5, 5), stride=(1, 1), padding=(2, 2))
    (4): ReLU()
    (5): MaxPool2d(kernel_size=3, stride=2, padding=0, dilation=1, ceil_mode=False)
    (6): Conv2d(256, 384, kernel_size=(3, 3), stride=(1, 1), padding=(1, 1))
    (7): ReLU()
    (8): Conv2d(384, 384, kernel_size=(3, 3), stride=(1, 1), padding=(1, 1))
    (9): ReLU()
    (10): Conv2d(384, 256, kernel_size=(3, 3), stride=(1, 1), padding=(1, 1))
    (11): ReLU()
    (12): MaxPool2d(kernel_size=3, stride=2, padding=0, dilation=1, ceil_mode=False)
  )
  (fc): Sequential(
    (0): Linear(in_features=6400, out_features=4096, bias=True)
    (1): ReLU()
    (2): Dropout(p=0.5, inplace=False)
    (3): Linear(in_features=4096, out_features=10, bias=True)
  )
)

载入数据集

In [3]:

# 本函数已保存在d2lzh_pytorch包中方便以后使用
def load_data_fashion_mnist(batch_size, resize=None, root='/home/kesci/input/FashionMNIST2065'):
    """Download the fashion mnist dataset and then load into memory."""
    trans = []
    if resize:
        trans.append(torchvision.transforms.Resize(size=resize))
    trans.append(torchvision.transforms.ToTensor())
    
    transform = torchvision.transforms.Compose(trans)
    mnist_train = torchvision.datasets.FashionMNIST(root=root, train=True, download=True, transform=transform)
    mnist_test = torchvision.datasets.FashionMNIST(root=root, train=False, download=True, transform=transform)

    train_iter = torch.utils.data.DataLoader(mnist_train, batch_size=batch_size, shuffle=True, num_workers=2)
    test_iter = torch.utils.data.DataLoader(mnist_test, batch_size=batch_size, shuffle=False, num_workers=2)

    return train_iter, test_iter

#batchsize=128
batch_size = 16
# 如出现“out of memory”的报错信息,可减小batch_size或resize
train_iter, test_iter = load_data_fashion_mnist(batch_size,224)
for X, Y in train_iter:
    print('X =', X.shape,
        '\nY =', Y.type(torch.int32))
    break
    
X = torch.Size([16, 1, 224, 224]) 
Y = tensor([5, 2, 9, 3, 1, 8, 3, 3, 2, 6, 1, 6, 2, 4, 4, 8], dtype=torch.int32)

训练

In [4]:

lr, num_epochs = 0.001, 3
optimizer = torch.optim.Adam(net.parameters(), lr=lr)
d2l.train_ch5(net, train_iter, test_iter, batch_size, optimizer, device, num_epochs)

使用重复元素的网络(VGG)

VGG:通过重复使⽤简单的基础块来构建深度模型。
Block:数个相同的填充为1、窗口形状为3×33×3的卷积层,接上一个步幅为2、窗口形状为2×22×2的最大池化层。
卷积层保持输入的高和宽不变,而池化层则对其减半。

Image Name

VGG11的简单实现

In [4]:

def vgg_block(num_convs, in_channels, out_channels): #卷积层个数,输入通道数,输出通道数
    blk = []
    for i in range(num_convs):
        if i == 0:
            blk.append(nn.Conv2d(in_channels, out_channels, kernel_size=3, padding=1))
        else:
            blk.append(nn.Conv2d(out_channels, out_channels, kernel_size=3, padding=1))
        blk.append(nn.ReLU())
    blk.append(nn.MaxPool2d(kernel_size=2, stride=2)) # 这里会使宽高减半
    return nn.Sequential(*blk)

In [5]:

conv_arch = ((1, 1, 64), (1, 64, 128), (2, 128, 256), (2, 256, 512), (2, 512, 512))
# 经过5个vgg_block, 宽高会减半5次, 变成 224/32 = 7
fc_features = 512 * 7 * 7 # c * w * h
fc_hidden_units = 4096 # 任意

In [6]:

def vgg(conv_arch, fc_features, fc_hidden_units=4096):
    net = nn.Sequential()
    # 卷积层部分
    for i, (num_convs, in_channels, out_channels) in enumerate(conv_arch):
        # 每经过一个vgg_block都会使宽高减半
        net.add_module("vgg_block_" + str(i+1), vgg_block(num_convs, in_channels, out_channels))
    # 全连接层部分
    net.add_module("fc", nn.Sequential(d2l.FlattenLayer(),
                                 nn.Linear(fc_features, fc_hidden_units),
                                 nn.ReLU(),
                                 nn.Dropout(0.5),
                                 nn.Linear(fc_hidden_units, fc_hidden_units),
                                 nn.ReLU(),
                                 nn.Dropout(0.5),
                                 nn.Linear(fc_hidden_units, 10)
                                ))
    return net

In [7]:

net = vgg(conv_arch, fc_features, fc_hidden_units)
X = torch.rand(1, 1, 224, 224)

# named_children获取一级子模块及其名字(named_modules会返回所有子模块,包括子模块的子模块)
for name, blk in net.named_children(): 
    X = blk(X)
    print(name, 'output shape: ', X.shape)
vgg_block_1 output shape:  torch.Size([1, 64, 112, 112])
vgg_block_2 output shape:  torch.Size([1, 128, 56, 56])
vgg_block_3 output shape:  torch.Size([1, 256, 28, 28])
vgg_block_4 output shape:  torch.Size([1, 512, 14, 14])
vgg_block_5 output shape:  torch.Size([1, 512, 7, 7])
fc output shape:  torch.Size([1, 10])

In [8]:

ratio = 8
small_conv_arch = [(1, 1, 64//ratio), (1, 64//ratio, 128//ratio), (2, 128//ratio, 256//ratio), 
                   (2, 256//ratio, 512//ratio), (2, 512//ratio, 512//ratio)]
net = vgg(small_conv_arch, fc_features // ratio, fc_hidden_units // ratio)
print(net)
Sequential(
  (vgg_block_1): Sequential(
    (0): Conv2d(1, 8, kernel_size=(3, 3), stride=(1, 1), padding=(1, 1))
    (1): ReLU()
    (2): MaxPool2d(kernel_size=2, stride=2, padding=0, dilation=1, ceil_mode=False)
  )
  (vgg_block_2): Sequential(
    (0): Conv2d(8, 16, kernel_size=(3, 3), stride=(1, 1), padding=(1, 1))
    (1): ReLU()
    (2): MaxPool2d(kernel_size=2, stride=2, padding=0, dilation=1, ceil_mode=False)
  )
  (vgg_block_3): Sequential(
    (0): Conv2d(16, 32, kernel_size=(3, 3), stride=(1, 1), padding=(1, 1))
    (1): ReLU()
    (2): Conv2d(32, 32, kernel_size=(3, 3), stride=(1, 1), padding=(1, 1))
    (3): ReLU()
    (4): MaxPool2d(kernel_size=2, stride=2, padding=0, dilation=1, ceil_mode=False)
  )
  (vgg_block_4): Sequential(
    (0): Conv2d(32, 64, kernel_size=(3, 3), stride=(1, 1), padding=(1, 1))
    (1): ReLU()
    (2): Conv2d(64, 64, kernel_size=(3, 3), stride=(1, 1), padding=(1, 1))
    (3): ReLU()
    (4): MaxPool2d(kernel_size=2, stride=2, padding=0, dilation=1, ceil_mode=False)
  )
  (vgg_block_5): Sequential(
    (0): Conv2d(64, 64, kernel_size=(3, 3), stride=(1, 1), padding=(1, 1))
    (1): ReLU()
    (2): Conv2d(64, 64, kernel_size=(3, 3), stride=(1, 1), padding=(1, 1))
    (3): ReLU()
    (4): MaxPool2d(kernel_size=2, stride=2, padding=0, dilation=1, ceil_mode=False)
  )
  (fc): Sequential(
    (0): FlattenLayer()
    (1): Linear(in_features=3136, out_features=512, bias=True)
    (2): ReLU()
    (3): Dropout(p=0.5, inplace=False)
    (4): Linear(in_features=512, out_features=512, bias=True)
    (5): ReLU()
    (6): Dropout(p=0.5, inplace=False)
    (7): Linear(in_features=512, out_features=10, bias=True)
  )
)

In [10]:

batchsize=16
#batch_size = 64
# 如出现“out of memory”的报错信息,可减小batch_size或resize
# train_iter, test_iter = d2l.load_data_fashion_mnist(batch_size, resize=224)

lr, num_epochs = 0.001, 5
optimizer = torch.optim.Adam(net.parameters(), lr=lr)
d2l.train_ch5(net, train_iter, test_iter, batch_size, optimizer, device, num_epochs)

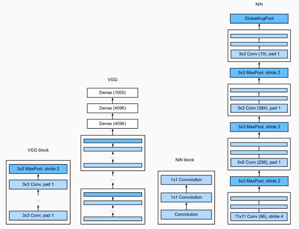
⽹络中的⽹络(NiN)

LeNet、AlexNet和VGG:先以由卷积层构成的模块充分抽取 空间特征,再以由全连接层构成的模块来输出分类结果。
NiN:串联多个由卷积层和“全连接”层构成的小⽹络来构建⼀个深层⽹络。
⽤了输出通道数等于标签类别数的NiN块,然后使⽤全局平均池化层对每个通道中所有元素求平均并直接⽤于分类。

Image Name

1×1卷积核作用
1.放缩通道数:通过控制卷积核的数量达到通道数的放缩。
2.增加非线性。1×1卷积核的卷积过程相当于全连接层的计算过程,并且还加入了非线性激活函数,从而可以增加网络的非线性。
3.计算参数少

In [9]:

def nin_block(in_channels, out_channels, kernel_size, stride, padding):
    blk = nn.Sequential(nn.Conv2d(in_channels, out_channels, kernel_size, stride, padding),
                        nn.ReLU(),
                        nn.Conv2d(out_channels, out_channels, kernel_size=1),
                        nn.ReLU(),
                        nn.Conv2d(out_channels, out_channels, kernel_size=1),
                        nn.ReLU())
    return blk

In [10]:

# 已保存在d2lzh_pytorch
class GlobalAvgPool2d(nn.Module):
    # 全局平均池化层可通过将池化窗口形状设置成输入的高和宽实现
    def __init__(self):
        super(GlobalAvgPool2d, self).__init__()
    def forward(self, x):
        return F.avg_pool2d(x, kernel_size=x.size()[2:])

net = nn.Sequential(
    nin_block(1, 96, kernel_size=11, stride=4, padding=0),
    nn.MaxPool2d(kernel_size=3, stride=2),
    nin_block(96, 256, kernel_size=5, stride=1, padding=2),
    nn.MaxPool2d(kernel_size=3, stride=2),
    nin_block(256, 384, kernel_size=3, stride=1, padding=1),
    nn.MaxPool2d(kernel_size=3, stride=2), 
    nn.Dropout(0.5),
    # 标签类别数是10
    nin_block(384, 10, kernel_size=3, stride=1, padding=1),
    GlobalAvgPool2d(), 
    # 将四维的输出转成二维的输出,其形状为(批量大小, 10)
    d2l.FlattenLayer())

In [11]:

X = torch.rand(1, 1, 224, 224)
for name, blk in net.named_children(): 
    X = blk(X)
    print(name, 'output shape: ', X.shape)
0 output shape:  torch.Size([1, 96, 54, 54])
1 output shape:  torch.Size([1, 96, 26, 26])
2 output shape:  torch.Size([1, 256, 26, 26])
3 output shape:  torch.Size([1, 256, 12, 12])
4 output shape:  torch.Size([1, 384, 12, 12])
5 output shape:  torch.Size([1, 384, 5, 5])
6 output shape:  torch.Size([1, 384, 5, 5])
7 output shape:  torch.Size([1, 10, 5, 5])
8 output shape:  torch.Size([1, 10, 1, 1])
9 output shape:  torch.Size([1, 10])

In [14]:

batch_size = 128
# 如出现“out of memory”的报错信息,可减小batch_size或resize
#train_iter, test_iter = d2l.load_data_fashion_mnist(batch_size, resize=224)

lr, num_epochs = 0.002, 5
optimizer = torch.optim.Adam(net.parameters(), lr=lr)
d2l.train_ch5(net, train_iter, test_iter, batch_size, optimizer, device, num_epochs)

NiN重复使⽤由卷积层和代替全连接层的1×1卷积层构成的NiN块来构建深层⽹络。
NiN去除了容易造成过拟合的全连接输出层,而是将其替换成输出通道数等于标签类别数 的NiN块和全局平均池化层。
NiN的以上设计思想影响了后⾯⼀系列卷积神经⽹络的设计。

GoogLeNet

  1. 由Inception基础块组成。
  2. Inception块相当于⼀个有4条线路的⼦⽹络。它通过不同窗口形状的卷积层和最⼤池化层来并⾏抽取信息,并使⽤1×1卷积层减少通道数从而降低模型复杂度。
  3. 可以⾃定义的超参数是每个层的输出通道数,我们以此来控制模型复杂度。

Image Name

In [12]:

class Inception(nn.Module):
    # c1 - c4为每条线路里的层的输出通道数
    def __init__(self, in_c, c1, c2, c3, c4):
        super(Inception, self).__init__()
        # 线路1,单1 x 1卷积层
        self.p1_1 = nn.Conv2d(in_c, c1, kernel_size=1)
        # 线路2,1 x 1卷积层后接3 x 3卷积层
        self.p2_1 = nn.Conv2d(in_c, c2[0], kernel_size=1)
        self.p2_2 = nn.Conv2d(c2[0], c2[1], kernel_size=3, padding=1)
        # 线路3,1 x 1卷积层后接5 x 5卷积层
        self.p3_1 = nn.Conv2d(in_c, c3[0], kernel_size=1)
        self.p3_2 = nn.Conv2d(c3[0], c3[1], kernel_size=5, padding=2)
        # 线路4,3 x 3最大池化层后接1 x 1卷积层
        self.p4_1 = nn.MaxPool2d(kernel_size=3, stride=1, padding=1)
        self.p4_2 = nn.Conv2d(in_c, c4, kernel_size=1)

    def forward(self, x):
        p1 = F.relu(self.p1_1(x))
        p2 = F.relu(self.p2_2(F.relu(self.p2_1(x))))
        p3 = F.relu(self.p3_2(F.relu(self.p3_1(x))))
        p4 = F.relu(self.p4_2(self.p4_1(x)))
        return torch.cat((p1, p2, p3, p4), dim=1)  # 在通道维上连结输出

GoogLeNet模型

完整模型结构

Image Name

In [16]:

b1 = nn.Sequential(nn.Conv2d(1, 64, kernel_size=7, stride=2, padding=3),
                   nn.ReLU(),
                   nn.MaxPool2d(kernel_size=3, stride=2, padding=1))

b2 = nn.Sequential(nn.Conv2d(64, 64, kernel_size=1),
                   nn.Conv2d(64, 192, kernel_size=3, padding=1),
                   nn.MaxPool2d(kernel_size=3, stride=2, padding=1))

b3 = nn.Sequential(Inception(192, 64, (96, 128), (16, 32), 32),
                   Inception(256, 128, (128, 192), (32, 96), 64),
                   nn.MaxPool2d(kernel_size=3, stride=2, padding=1))

b4 = nn.Sequential(Inception(480, 192, (96, 208), (16, 48), 64),
                   Inception(512, 160, (112, 224), (24, 64), 64),
                   Inception(512, 128, (128, 256), (24, 64), 64),
                   Inception(512, 112, (144, 288), (32, 64), 64),
                   Inception(528, 256, (160, 320), (32, 128), 128),
                   nn.MaxPool2d(kernel_size=3, stride=2, padding=1))

b5 = nn.Sequential(Inception(832, 256, (160, 320), (32, 128), 128),
                   Inception(832, 384, (192, 384), (48, 128), 128),
                   d2l.GlobalAvgPool2d())

net = nn.Sequential(b1, b2, b3, b4, b5, 
                    d2l.FlattenLayer(), nn.Linear(1024, 10))

net = nn.Sequential(b1, b2, b3, b4, b5, d2l.FlattenLayer(), nn.Linear(1024, 10))

X = torch.rand(1, 1, 96, 96)

for blk in net.children(): 
    X = blk(X)
    print('output shape: ', X.shape)

#batchsize=128
batch_size = 16
# 如出现“out of memory”的报错信息,可减小batch_size或resize
#train_iter, test_iter = d2l.load_data_fashion_mnist(batch_size, resize=96)

lr, num_epochs = 0.001, 5
optimizer = torch.optim.Adam(net.parameters(), lr=lr)
d2l.train_ch5(net, train_iter, test_iter, batch_size, optimizer, device, num_epochs)

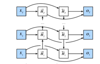
循环神经网络

本节介绍循环神经网络,下图展示了如何基于循环神经网络实现语言模型。我们的目的是基于当前的输入与过去的输入序列,预测序列的下一个字符。循环神经网络引入一个隐藏变量HH,用HtHt表示HH在时间步tt的值。HtHt的计算基于XtXt和Ht−1Ht−1,可以认为HtHt记录了到当前字符为止的序列信息,利用HtHt对序列的下一个字符进行预测。Image Name

循环神经网络的构造

我们先看循环神经网络的具体构造。假设Xt∈Rn×dXt∈Rn×d是时间步tt的小批量输入,Ht∈Rn×hHt∈Rn×h是该时间步的隐藏变量,则:

Ht=ϕ(XtWxh+Ht−1Whh+bh).Ht=ϕ(XtWxh+Ht−1Whh+bh).

其中,Wxh∈Rd×hWxh∈Rd×h,Whh∈Rh×hWhh∈Rh×h,bh∈R1×hbh∈R1×h,ϕϕ函数是非线性激活函数。由于引入了Ht−1WhhHt−1Whh,HtHt能够捕捉截至当前时间步的序列的历史信息,就像是神经网络当前时间步的状态或记忆一样。由于HtHt的计算基于Ht−1Ht−1,上式的计算是循环的,使用循环计算的网络即循环神经网络(recurrent neural network)。

在时间步tt,输出层的输出为:

Ot=HtWhq+bq.Ot=HtWhq+bq.

其中Whq∈Rh×qWhq∈Rh×q,bq∈R1×qbq∈R1×q。

从零开始实现循环神经网络

我们先尝试从零开始实现一个基于字符级循环神经网络的语言模型,这里我们使用周杰伦的歌词作为语料,首先我们读入数据:

In [1]:

import torch
import torch.nn as nn
import time
import math
import sys
sys.path.append("/home/kesci/input")
import d2l_jay9460 as d2l
(corpus_indices, char_to_idx, idx_to_char, vocab_size) = d2l.load_data_jay_lyrics()
device = torch.device('cuda' if torch.cuda.is_available() else 'cpu')

one-hot向量

我们需要将字符表示成向量,这里采用one-hot向量。假设词典大小是NN,每次字符对应一个从00到N−1N−1的唯一的索引,则该字符的向量是一个长度为NN的向量,若字符的索引是ii,则该向量的第ii个位置为11,其他位置为00。下面分别展示了索引为0和2的one-hot向量,向量长度等于词典大小。

In [2]:

def one_hot(x, n_class, dtype=torch.float32):
    result = torch.zeros(x.shape[0], n_class, dtype=dtype, device=x.device)  # shape: (n, n_class)
    result.scatter_(1, x.long().view(-1, 1), 1)  # result[i, x[i, 0]] = 1
    return result
    
x = torch.tensor([0, 2])
x_one_hot = one_hot(x, vocab_size)
print(x_one_hot)
print(x_one_hot.shape)
print(x_one_hot.sum(axis=1))
tensor([[1., 0., 0.,  ..., 0., 0., 0.],
        [0., 0., 1.,  ..., 0., 0., 0.]])
torch.Size([2, 1027])
tensor([1., 1.])

我们每次采样的小批量的形状是(批量大小, 时间步数)。下面的函数将这样的小批量变换成数个形状为(批量大小, 词典大小)的矩阵,矩阵个数等于时间步数。也就是说,时间步tt的输入为Xt∈Rn×dXt∈Rn×d,其中nn为批量大小,dd为词向量大小,即one-hot向量长度(词典大小)。

In [3]:

def to_onehot(X, n_class):
    return [one_hot(X[:, i], n_class) for i in range(X.shape[1])]

X = torch.arange(10).view(2, 5)
inputs = to_onehot(X, vocab_size)
print(len(inputs), inputs[0].shape)
5 torch.Size([2, 1027])

初始化模型参数

In [4]:

num_inputs, num_hiddens, num_outputs = vocab_size, 256, vocab_size
# num_inputs: d
# num_hiddens: h, 隐藏单元的个数是超参数
# num_outputs: q

def get_params():
    def _one(shape):
        param = torch.zeros(shape, device=device, dtype=torch.float32)
        nn.init.normal_(param, 0, 0.01)
        return torch.nn.Parameter(param)

    # 隐藏层参数
    W_xh = _one((num_inputs, num_hiddens))
    W_hh = _one((num_hiddens, num_hiddens))
    b_h = torch.nn.Parameter(torch.zeros(num_hiddens, device=device))
    # 输出层参数
    W_hq = _one((num_hiddens, num_outputs))
    b_q = torch.nn.Parameter(torch.zeros(num_outputs, device=device))
    return (W_xh, W_hh, b_h, W_hq, b_q)

定义模型

函数rnn用循环的方式依次完成循环神经网络每个时间步的计算。

In [5]:

def rnn(inputs, state, params):
    # inputs和outputs皆为num_steps个形状为(batch_size, vocab_size)的矩阵
    W_xh, W_hh, b_h, W_hq, b_q = params
    H, = state
    outputs = []
    for X in inputs:
        H = torch.tanh(torch.matmul(X, W_xh) + torch.matmul(H, W_hh) + b_h)
        Y = torch.matmul(H, W_hq) + b_q
        outputs.append(Y)
    return outputs, (H,)

函数init_rnn_state初始化隐藏变量,这里的返回值是一个元组。

In [6]:

def init_rnn_state(batch_size, num_hiddens, device):
    return (torch.zeros((batch_size, num_hiddens), device=device), )

做个简单的测试来观察输出结果的个数(时间步数),以及第一个时间步的输出层输出的形状和隐藏状态的形状。

In [7]:

print(X.shape)
print(num_hiddens)
print(vocab_size)
state = init_rnn_state(X.shape[0], num_hiddens, device)
inputs = to_onehot(X.to(device), vocab_size)
params = get_params()
outputs, state_new = rnn(inputs, state, params)
print(len(inputs), inputs[0].shape)
print(len(outputs), outputs[0].shape)
print(len(state), state[0].shape)
print(len(state_new), state_new[0].shape)
torch.Size([2, 5])
256
1027
5 torch.Size([2, 1027])
5 torch.Size([2, 1027])
1 torch.Size([2, 256])
1 torch.Size([2, 256])

裁剪梯度

循环神经网络中较容易出现梯度衰减或梯度爆炸,这会导致网络几乎无法训练。裁剪梯度(clip gradient)是一种应对梯度爆炸的方法。假设我们把所有模型参数的梯度拼接成一个向量 gg,并设裁剪的阈值是θθ。裁剪后的梯度

min(θ∥g∥,1)gmin(θ‖g‖,1)g

的L2L2范数不超过θθ。

In [8]:

def grad_clipping(params, theta, device):
    norm = torch.tensor([0.0], device=device)
    for param in params:
        norm += (param.grad.data ** 2).sum()
    norm = norm.sqrt().item()
    if norm > theta:
        for param in params:
            param.grad.data *= (theta / norm)

定义预测函数

以下函数基于前缀prefix(含有数个字符的字符串)来预测接下来的num_chars个字符。这个函数稍显复杂,其中我们将循环神经单元rnn设置成了函数参数,这样在后面小节介绍其他循环神经网络时能重复使用这个函数。

In [9]:

def predict_rnn(prefix, num_chars, rnn, params, init_rnn_state,
                num_hiddens, vocab_size, device, idx_to_char, char_to_idx):
    state = init_rnn_state(1, num_hiddens, device)
    output = [char_to_idx[prefix[0]]]   # output记录prefix加上预测的num_chars个字符
    for t in range(num_chars + len(prefix) - 1):
        # 将上一时间步的输出作为当前时间步的输入
        X = to_onehot(torch.tensor([[output[-1]]], device=device), vocab_size)
        # 计算输出和更新隐藏状态
        (Y, state) = rnn(X, state, params)
        # 下一个时间步的输入是prefix里的字符或者当前的最佳预测字符
        if t < len(prefix) - 1:
            output.append(char_to_idx[prefix[t + 1]])
        else:
            output.append(Y[0].argmax(dim=1).item())
    return ''.join([idx_to_char[i] for i in output])

我们先测试一下predict_rnn函数。我们将根据前缀“分开”创作长度为10个字符(不考虑前缀长度)的一段歌词。因为模型参数为随机值,所以预测结果也是随机的。

In [10]:

predict_rnn('分开', 10, rnn, params, init_rnn_state, num_hiddens, vocab_size,
            device, idx_to_char, char_to_idx)

Out[10]:

'分开濡时食提危踢拆田唱母'

困惑度

我们通常使用困惑度(perplexity)来评价语言模型的好坏。回忆一下“softmax回归”一节中交叉熵损失函数的定义。困惑度是对交叉熵损失函数做指数运算后得到的值。特别地,

  • 最佳情况下,模型总是把标签类别的概率预测为1,此时困惑度为1;
  • 最坏情况下,模型总是把标签类别的概率预测为0,此时困惑度为正无穷;
  • 基线情况下,模型总是预测所有类别的概率都相同,此时困惑度为类别个数。

显然,任何一个有效模型的困惑度必须小于类别个数。在本例中,困惑度必须小于词典大小vocab_size

定义模型训练函数

跟之前章节的模型训练函数相比,这里的模型训练函数有以下几点不同:

  1. 使用困惑度评价模型。
  2. 在迭代模型参数前裁剪梯度。
  3. 对时序数据采用不同采样方法将导致隐藏状态初始化的不同。

In [11]:

def train_and_predict_rnn(rnn, get_params, init_rnn_state, num_hiddens,
                          vocab_size, device, corpus_indices, idx_to_char,
                          char_to_idx, is_random_iter, num_epochs, num_steps,
                          lr, clipping_theta, batch_size, pred_period,
                          pred_len, prefixes):
    if is_random_iter:
        data_iter_fn = d2l.data_iter_random
    else:
        data_iter_fn = d2l.data_iter_consecutive
    params = get_params()
    loss = nn.CrossEntropyLoss()

    for epoch in range(num_epochs):
        if not is_random_iter:  # 如使用相邻采样,在epoch开始时初始化隐藏状态
            state = init_rnn_state(batch_size, num_hiddens, device)
        l_sum, n, start = 0.0, 0, time.time()
        data_iter = data_iter_fn(corpus_indices, batch_size, num_steps, device)
        for X, Y in data_iter:
            if is_random_iter:  # 如使用随机采样,在每个小批量更新前初始化隐藏状态
                state = init_rnn_state(batch_size, num_hiddens, device)
            else:  # 否则需要使用detach函数从计算图分离隐藏状态
                for s in state:
                    s.detach_()
            # inputs是num_steps个形状为(batch_size, vocab_size)的矩阵
            inputs = to_onehot(X, vocab_size)
            # outputs有num_steps个形状为(batch_size, vocab_size)的矩阵
            (outputs, state) = rnn(inputs, state, params)
            # 拼接之后形状为(num_steps * batch_size, vocab_size)
            outputs = torch.cat(outputs, dim=0)
            # Y的形状是(batch_size, num_steps),转置后再变成形状为
            # (num_steps * batch_size,)的向量,这样跟输出的行一一对应
            y = torch.flatten(Y.T)
            # 使用交叉熵损失计算平均分类误差
            l = loss(outputs, y.long())
            
            # 梯度清0
            if params[0].grad is not None:
                for param in params:
                    param.grad.data.zero_()
            l.backward()
            grad_clipping(params, clipping_theta, device)  # 裁剪梯度
            d2l.sgd(params, lr, 1)  # 因为误差已经取过均值,梯度不用再做平均
            l_sum += l.item() * y.shape[0]
            n += y.shape[0]

        if (epoch + 1) % pred_period == 0:
            print('epoch %d, perplexity %f, time %.2f sec' % (
                epoch + 1, math.exp(l_sum / n), time.time() - start))
            for prefix in prefixes:
                print(' -', predict_rnn(prefix, pred_len, rnn, params, init_rnn_state,
                    num_hiddens, vocab_size, device, idx_to_char, char_to_idx))

训练模型并创作歌词

现在我们可以训练模型了。首先,设置模型超参数。我们将根据前缀“分开”和“不分开”分别创作长度为50个字符(不考虑前缀长度)的一段歌词。我们每过50个迭代周期便根据当前训练的模型创作一段歌词。

In [12]:

num_epochs, num_steps, batch_size, lr, clipping_theta = 250, 35, 32, 1e2, 1e-2
pred_period, pred_len, prefixes = 50, 50, ['分开', '不分开']

下面采用随机采样训练模型并创作歌词。

In [13]:

train_and_predict_rnn(rnn, get_params, init_rnn_state, num_hiddens,
                      vocab_size, device, corpus_indices, idx_to_char,
                      char_to_idx, True, num_epochs, num_steps, lr,
                      clipping_theta, batch_size, pred_period, pred_len,
                      prefixes)
epoch 50, perplexity 65.808092, time 0.78 sec
 - 分开 我想要这样 我不要再想 我不要再想 我不要再想 我不要再想 我不要再想 我不要再想 我不要再想 我
 - 不分开 别颗去 一颗两 三颗四 一颗四 三颗四 一颗四 一颗四 一颗四 一颗四 一颗四 一颗四 一颗四 一
epoch 100, perplexity 9.794889, time 0.72 sec
 - 分开 一直在美留 谁在它停 在小村外的溪边 默默等  什么 旧你在依旧 我有儿有些瘦 世色我遇见你是一场
 - 不分开吗 我不能再想 我不 我不 我不 我不 我不 我不 我不 我不 我不 我不 我不 我不 我不 我不 
epoch 150, perplexity 2.772557, time 0.80 sec
 - 分开 有直在不妥 有话它停留 蜥蝪横怕落 不爽就 旧怪堂 是属于依 心故之 的片段 有一些风霜 老唱盘 
 - 不分开吗 然后将过不 我慢 失些  如  静里回的太快 想通 却又再考倒我 说散 你想很久了吧?的我 从等
epoch 200, perplexity 1.601744, time 0.73 sec
 - 分开 那只都它满在我面妈 捏成你的形状啸而过 或愿说在后能 让梭时忆对着轻轻 我想就这样牵着你的手不放开
 - 不分开期 然后将过去 慢慢温习 让我爱上你 那场悲剧 是你完美演出的一场戏 宁愿心碎哭泣 再狠狠忘记 不是
epoch 250, perplexity 1.323342, time 0.78 sec
 - 分开 出愿段的哭咒的天蛦丘好落 拜托当血穿永杨一定的诗篇 我给你的爱写在西元前 深埋在美索不达米亚平原 
 - 不分开扫把的胖女巫 用拉丁文念咒语啦啦呜 她养的黑猫笑起来像哭 啦啦啦呜 我来了我 在我感外的溪边河口默默

接下来采用相邻采样训练模型并创作歌词。

In [14]:

train_and_predict_rnn(rnn, get_params, init_rnn_state, num_hiddens,
                      vocab_size, device, corpus_indices, idx_to_char,
                      char_to_idx, False, num_epochs, num_steps, lr,
                      clipping_theta, batch_size, pred_period, pred_len,
                      prefixes)
epoch 50, perplexity 60.294393, time 0.74 sec
 - 分开 我想要你想 我不要再想 我不要再想 我不要再想 我不要再想 我不要再想 我不要再想 我不要再想 我
 - 不分开 我想要你 你有了 别不我的可爱女人 坏坏的让我疯狂的可爱女人 坏坏的让我疯狂的可爱女人 坏坏的让我
epoch 100, perplexity 7.141162, time 0.72 sec
 - 分开 我已要再爱 我不要再想 我不 我不 我不要再想 我不 我不 我不要 爱情我的见快就像龙卷风 离能开
 - 不分开柳 你天黄一个棍 后知哈兮 快使用双截棍 哼哼哈兮 快使用双截棍 哼哼哈兮 快使用双截棍 哼哼哈兮 
epoch 150, perplexity 2.090277, time 0.73 sec
 - 分开 我已要这是你在著 不想我都做得到 但那个人已经不是我 没有你在 我却多难熬  没有你在我有多难熬多
 - 不分开觉 你已经离 我想再好 这样心中 我一定带我 我的完空 不你是风 一一彩纵 在人心中 我一定带我妈走
epoch 200, perplexity 1.305391, time 0.77 sec
 - 分开 我已要这样牵看你的手 它一定实现它一定像现 载著你 彷彿载著阳光 不管到你留都是晴天 蝴蝶自在飞力
 - 不分开觉 你已经离开我 不知不觉 我跟了这节奏 后知后觉 又过了一个秋 后知后觉 我该好好生活 我该好好生
epoch 250, perplexity 1.230800, time 0.79 sec
 - 分开 我不要 是你看的太快了悲慢 担心今手身会大早 其么我也睡不着  昨晚梦里你来找 我才  原来我只想
 - 不分开觉 你在经离开我 不知不觉 你知了有节奏 后知后觉 后知了一个秋 后知后觉 我该好好生活 我该好好生

循环神经网络的简介实现

定义模型

我们使用Pytorch中的nn.RNN来构造循环神经网络。在本节中,我们主要关注nn.RNN的以下几个构造函数参数:

  • input_size - The number of expected features in the input x
  • hidden_size – The number of features in the hidden state h
  • nonlinearity – The non-linearity to use. Can be either 'tanh' or 'relu'. Default: 'tanh'
  • batch_first – If True, then the input and output tensors are provided as (batch_size, num_steps, input_size). Default: False

这里的batch_first决定了输入的形状,我们使用默认的参数False,对应的输入形状是 (num_steps, batch_size, input_size)。

forward函数的参数为:

  • input of shape (num_steps, batch_size, input_size): tensor containing the features of the input sequence.
  • h_0 of shape (num_layers * num_directions, batch_size, hidden_size): tensor containing the initial hidden state for each element in the batch. Defaults to zero if not provided. If the RNN is bidirectional, num_directions should be 2, else it should be 1.

forward函数的返回值是:

  • output of shape (num_steps, batch_size, num_directions * hidden_size): tensor containing the output features (h_t) from the last layer of the RNN, for each t.
  • h_n of shape (num_layers * num_directions, batch_size, hidden_size): tensor containing the hidden state for t = num_steps.

现在我们构造一个nn.RNN实例,并用一个简单的例子来看一下输出的形状。

In [15]:

rnn_layer = nn.RNN(input_size=vocab_size, hidden_size=num_hiddens)
num_steps, batch_size = 35, 2
X = torch.rand(num_steps, batch_size, vocab_size)
state = None
Y, state_new = rnn_layer(X, state)
print(Y.shape, state_new.shape)
torch.Size([35, 2, 256]) torch.Size([1, 2, 256])

我们定义一个完整的基于循环神经网络的语言模型。

In [16]:

class RNNModel(nn.Module):
    def __init__(self, rnn_layer, vocab_size):
        super(RNNModel, self).__init__()
        self.rnn = rnn_layer
        self.hidden_size = rnn_layer.hidden_size * (2 if rnn_layer.bidirectional else 1) 
        self.vocab_size = vocab_size
        self.dense = nn.Linear(self.hidden_size, vocab_size)

    def forward(self, inputs, state):
        # inputs.shape: (batch_size, num_steps)
        X = to_onehot(inputs, vocab_size)
        X = torch.stack(X)  # X.shape: (num_steps, batch_size, vocab_size)
        hiddens, state = self.rnn(X, state)
        hiddens = hiddens.view(-1, hiddens.shape[-1])  # hiddens.shape: (num_steps * batch_size, hidden_size)
        output = self.dense(hiddens)
        return output, state

类似的,我们需要实现一个预测函数,与前面的区别在于前向计算和初始化隐藏状态。

In [17]:

def predict_rnn_pytorch(prefix, num_chars, model, vocab_size, device, idx_to_char,
                      char_to_idx):
    state = None
    output = [char_to_idx[prefix[0]]]  # output记录prefix加上预测的num_chars个字符
    for t in range(num_chars + len(prefix) - 1):
        X = torch.tensor([output[-1]], device=device).view(1, 1)
        (Y, state) = model(X, state)  # 前向计算不需要传入模型参数
        if t < len(prefix) - 1:
            output.append(char_to_idx[prefix[t + 1]])
        else:
            output.append(Y.argmax(dim=1).item())
    return ''.join([idx_to_char[i] for i in output])

使用权重为随机值的模型来预测一次。

In [18]:

model = RNNModel(rnn_layer, vocab_size).to(device)
predict_rnn_pytorch('分开', 10, model, vocab_size, device, idx_to_char, char_to_idx)

Out[18]:

'分开胸呵以轮轮轮轮轮轮轮'

接下来实现训练函数,这里只使用了相邻采样。

In [19]:

def train_and_predict_rnn_pytorch(model, num_hiddens, vocab_size, device,
                                corpus_indices, idx_to_char, char_to_idx,
                                num_epochs, num_steps, lr, clipping_theta,
                                batch_size, pred_period, pred_len, prefixes):
    loss = nn.CrossEntropyLoss()
    optimizer = torch.optim.Adam(model.parameters(), lr=lr)
    model.to(device)
    for epoch in range(num_epochs):
        l_sum, n, start = 0.0, 0, time.time()
        data_iter = d2l.data_iter_consecutive(corpus_indices, batch_size, num_steps, device) # 相邻采样
        state = None
        for X, Y in data_iter:
            if state is not None:
                # 使用detach函数从计算图分离隐藏状态
                if isinstance (state, tuple): # LSTM, state:(h, c)  
                    state[0].detach_()
                    state[1].detach_()
                else: 
                    state.detach_()
            (output, state) = model(X, state) # output.shape: (num_steps * batch_size, vocab_size)
            y = torch.flatten(Y.T)
            l = loss(output, y.long())
            
            optimizer.zero_grad()
            l.backward()
            grad_clipping(model.parameters(), clipping_theta, device)
            optimizer.step()
            l_sum += l.item() * y.shape[0]
            n += y.shape[0]
        

        if (epoch + 1) % pred_period == 0:
            print('epoch %d, perplexity %f, time %.2f sec' % (
                epoch + 1, math.exp(l_sum / n), time.time() - start))
            for prefix in prefixes:
                print(' -', predict_rnn_pytorch(
                    prefix, pred_len, model, vocab_size, device, idx_to_char,
                    char_to_idx))

训练模型。

In [20]:

num_epochs, batch_size, lr, clipping_theta = 250, 32, 1e-3, 1e-2
pred_period, pred_len, prefixes = 50, 50, ['分开', '不分开']
train_and_predict_rnn_pytorch(model, num_hiddens, vocab_size, device,
                            corpus_indices, idx_to_char, char_to_idx,
                            num_epochs, num_steps, lr, clipping_theta,
                            batch_size, pred_period, pred_len, prefixes)
epoch 50, perplexity 9.405654, time 0.52 sec
 - 分开始一起 三步四步望著天 看星星 一颗两颗三颗四颗 连成线背著背默默许下心愿  一枝杨柳 你的那我 在
 - 不分开 爱情你的手 一人的老斑鸠 腿短毛不多 快使用双截棍 哼哼哈兮 快使用双截棍 哼哼哈兮 快使用双截棍
epoch 100, perplexity 1.255020, time 0.54 sec
 - 分开 我人了的屋我 一定令它心仪的母斑鸠 爱像一阵风 吹完美主  这样 还人的太快就是学怕眼口让我碰恨这
 - 不分开不想我多的脑袋有问题 随便说说 其实我早已经猜透看透不想多说 只是我怕眼泪撑不住 不懂 你的黑色幽默
epoch 150, perplexity 1.064527, time 0.53 sec
 - 分开 我轻外的溪边 默默在一心抽离 有话不知不觉 一场悲剧 我对不起 藤蔓植物的爬满了伯爵的坟墓 古堡里
 - 不分开不想不多的脑 有教堂有你笑 我有多烦恼  没有你烦 有有样 别怪走 快后悔没说你 我不多难熬 我想就
epoch 200, perplexity 1.033074, time 0.53 sec
 - 分开 我轻外的溪边 默默在一心向昏 的愿  古无着我只能 一个黑远 这想太久 这样我 不要再是你打我妈妈
 - 不分开你只会我一起睡著 样 娘子却只想你和汉堡 我想要你的微笑每天都能看到  我知道这里很美但家乡的你更美
epoch 250, perplexity 1.047890, time 0.68 sec
 - 分开 我轻多的漫 却已在你人演  想要再直你 我想要这样牵着你的手不放开 爱可不可以简简单单没有伤害 你
 - 不分开不想不多的假  已无能为力再提起 决定中断熟悉 然后在这里 不限日期 然后将过去 慢慢温习 让我爱上

 

GRU

RNN存在的问题:梯度较容易出现衰减或爆炸(BPTT)
⻔控循环神经⽹络:捕捉时间序列中时间步距离较⼤的依赖关系
RNN:

Image Name

Ht=ϕ(XtWxh+Ht−1Whh+bh)Ht=ϕ(XtWxh+Ht−1Whh+bh)

GRU:

Image Name

Rt=σ(XtWxr+Ht−1Whr+br)Zt=σ(XtWxz+Ht−1Whz+bz)H˜t=tanh(XtWxh+(Rt⊙Ht−1)Whh+bh)Ht=Zt⊙Ht−1+(1−Zt)⊙H˜tRt=σ(XtWxr+Ht−1Whr+br)Zt=σ(XtWxz+Ht−1Whz+bz)H~t=tanh(XtWxh+(Rt⊙Ht−1)Whh+bh)Ht=Zt⊙Ht−1+(1−Zt)⊙H~t

• 重置⻔有助于捕捉时间序列⾥短期的依赖关系;
• 更新⻔有助于捕捉时间序列⾥⻓期的依赖关系。

载入数据集

In [1]:

import os
os.listdir('/home/kesci/input')

Out[1]:

['d2lzh1981', 'houseprices2807', 'jaychou_lyrics4703', 'd2l_jay9460']

In [3]:

import numpy as np
import torch
from torch import nn, optim
import torch.nn.functional as F

In [4]:

import sys
sys.path.append("../input/")
import d2l_jay9460 as d2l
device = torch.device('cuda' if torch.cuda.is_available() else 'cpu')

(corpus_indices, char_to_idx, idx_to_char, vocab_size) = d2l.load_data_jay_lyrics()

初始化参数

In [5]:

num_inputs, num_hiddens, num_outputs = vocab_size, 256, vocab_size
print('will use', device)

def get_params():  
    def _one(shape):
        ts = torch.tensor(np.random.normal(0, 0.01, size=shape), device=device, dtype=torch.float32) #正态分布
        return torch.nn.Parameter(ts, requires_grad=True)
    def _three():
        return (_one((num_inputs, num_hiddens)),
                _one((num_hiddens, num_hiddens)),
                torch.nn.Parameter(torch.zeros(num_hiddens, device=device, dtype=torch.float32), requires_grad=True))
     
    W_xz, W_hz, b_z = _three()  # 更新门参数
    W_xr, W_hr, b_r = _three()  # 重置门参数
    W_xh, W_hh, b_h = _three()  # 候选隐藏状态参数
    
    # 输出层参数
    W_hq = _one((num_hiddens, num_outputs))
    b_q = torch.nn.Parameter(torch.zeros(num_outputs, device=device, dtype=torch.float32), requires_grad=True)
    return nn.ParameterList([W_xz, W_hz, b_z, W_xr, W_hr, b_r, W_xh, W_hh, b_h, W_hq, b_q])

def init_gru_state(batch_size, num_hiddens, device):   #隐藏状态初始化
    return (torch.zeros((batch_size, num_hiddens), device=device), )
will use cpu

GRU模型

In [6]:

def gru(inputs, state, params):
    W_xz, W_hz, b_z, W_xr, W_hr, b_r, W_xh, W_hh, b_h, W_hq, b_q = params
    H, = state
    outputs = []
    for X in inputs:
        Z = torch.sigmoid(torch.matmul(X, W_xz) + torch.matmul(H, W_hz) + b_z)
        R = torch.sigmoid(torch.matmul(X, W_xr) + torch.matmul(H, W_hr) + b_r)
        H_tilda = torch.tanh(torch.matmul(X, W_xh) + R * torch.matmul(H, W_hh) + b_h)
        H = Z * H + (1 - Z) * H_tilda
        Y = torch.matmul(H, W_hq) + b_q
        outputs.append(Y)
    return outputs, (H,)

训练模型

In [7]:

num_epochs, num_steps, batch_size, lr, clipping_theta = 160, 35, 32, 1e2, 1e-2
pred_period, pred_len, prefixes = 40, 50, ['分开', '不分开']

In [8]:

d2l.train_and_predict_rnn(gru, get_params, init_gru_state, num_hiddens,
                          vocab_size, device, corpus_indices, idx_to_char,
                          char_to_idx, False, num_epochs, num_steps, lr,
                          clipping_theta, batch_size, pred_period, pred_len,
                          prefixes)
epoch 40, perplexity 149.271885, time 1.17 sec
 - 分开 我想我不不 我想你的让我 你想我的让我 你想我不想 我想你我想想想想想你想你的可爱人  坏我的让我
 - 不分开 我想你我不想 你不我 我想你的爱爱 我想你的让我 我想你我想想想想想想你的可爱人  坏我的让我 我
epoch 160, perplexity 1.427383, time 1.16 sec
 - 分开 我已带口 你已已是不起 让你知没面对我 甩散球我满腔的怒火 我想揍你已经很久 别想躲 说你眼睛看着
 - 不分开 整过 是你开的玩笑 想通 却又再考倒我 说散 你想很久了吧? 败给你的黑色幽默 说散 你想很久了吧

简洁实现

In [7]:

num_hiddens=256
num_epochs, num_steps, batch_size, lr, clipping_theta = 160, 35, 32, 1e2, 1e-2
pred_period, pred_len, prefixes = 40, 50, ['分开', '不分开']

lr = 1e-2 # 注意调整学习率
gru_layer = nn.GRU(input_size=vocab_size, hidden_size=num_hiddens)
model = d2l.RNNModel(gru_layer, vocab_size).to(device)
d2l.train_and_predict_rnn_pytorch(model, num_hiddens, vocab_size, device,
                                corpus_indices, idx_to_char, char_to_idx,
                                num_epochs, num_steps, lr, clipping_theta,
                                batch_size, pred_period, pred_len, prefixes)
epoch 40, perplexity 1.016101, time 0.89 sec
 - 分开始想像 爸和妈当年的模样 说著一口吴侬软语的姑娘缓缓走过外滩 消失的 旧时光 一九四三 回头看 的片
 - 不分开暴风圈来不及逃 我不能再想 我不能再想 我不 我不 我不能 爱情走的太快就像龙卷风 不能承受我已无处
epoch 80, perplexity 1.010881, time 0.96 sec
 - 分开都会值得去做 我想大声宣布 对你依依不舍 连隔壁邻居都猜到我现在的感受 河边的风 在吹着头发飘动 牵
 - 不分开暴风圈来不及逃 我不能再想 我不能再想 我不 我不 我不能 爱情走的太快就像龙卷风 不能承受我已无处
epoch 120, perplexity 1.011403, time 0.95 sec
 - 分开的我爱你看棒球 想这样没担忧 唱着歌 一直走 我想就这样牵着你的手不放开 爱可不可以简简单单没有伤害
 - 不分开暴风圈来不及逃 我不能再想 我不能再想 我不 我不 我不能 爱情走的太快就像龙卷风 不能承受我已无处
epoch 160, perplexity 1.058085, time 0.88 sec
 - 分开始打呼 管到当初爱你的时空 停格内容不忠 所有回忆对着我进攻   简单爱情来的太快就像龙卷风 离不开
 - 不分开始打呼 管家是一只是我怕眼泪撑不住 不懂 你给我抬起头 有话去对医药箱说 别怪我 别怪我 说你怎么面

LSTM

长短期记忆long short-term memory :
遗忘门:控制上一时间步的记忆细胞 输入门:控制当前时间步的输入
输出门:控制从记忆细胞到隐藏状态
记忆细胞:⼀种特殊的隐藏状态的信息的流动

Image Name

It=σ(XtWxi+Ht−1Whi+bi)Ft=σ(XtWxf+Ht−1Whf+bf)Ot=σ(XtWxo+Ht−1Who+bo)C˜t=tanh(XtWxc+Ht−1Whc+bc)Ct=Ft⊙Ct−1+It⊙C˜tHt=Ot⊙tanh(Ct)It=σ(XtWxi+Ht−1Whi+bi)Ft=σ(XtWxf+Ht−1Whf+bf)Ot=σ(XtWxo+Ht−1Who+bo)C~t=tanh(XtWxc+Ht−1Whc+bc)Ct=Ft⊙Ct−1+It⊙C~tHt=Ot⊙tanh(Ct)

初始化参数

In [10]:

num_inputs, num_hiddens, num_outputs = vocab_size, 256, vocab_size
print('will use', device)

def get_params():
    def _one(shape):
        ts = torch.tensor(np.random.normal(0, 0.01, size=shape), device=device, dtype=torch.float32)
        return torch.nn.Parameter(ts, requires_grad=True)
    def _three():
        return (_one((num_inputs, num_hiddens)),
                _one((num_hiddens, num_hiddens)),
                torch.nn.Parameter(torch.zeros(num_hiddens, device=device, dtype=torch.float32), requires_grad=True))
    
    W_xi, W_hi, b_i = _three()  # 输入门参数
    W_xf, W_hf, b_f = _three()  # 遗忘门参数
    W_xo, W_ho, b_o = _three()  # 输出门参数
    W_xc, W_hc, b_c = _three()  # 候选记忆细胞参数
    
    # 输出层参数
    W_hq = _one((num_hiddens, num_outputs))
    b_q = torch.nn.Parameter(torch.zeros(num_outputs, device=device, dtype=torch.float32), requires_grad=True)
    return nn.ParameterList([W_xi, W_hi, b_i, W_xf, W_hf, b_f, W_xo, W_ho, b_o, W_xc, W_hc, b_c, W_hq, b_q])

def init_lstm_state(batch_size, num_hiddens, device):
    return (torch.zeros((batch_size, num_hiddens), device=device), 
            torch.zeros((batch_size, num_hiddens), device=device))
will use cpu

LSTM模型

In [11]:

def lstm(inputs, state, params):
    [W_xi, W_hi, b_i, W_xf, W_hf, b_f, W_xo, W_ho, b_o, W_xc, W_hc, b_c, W_hq, b_q] = params
    (H, C) = state
    outputs = []
    for X in inputs:
        I = torch.sigmoid(torch.matmul(X, W_xi) + torch.matmul(H, W_hi) + b_i)
        F = torch.sigmoid(torch.matmul(X, W_xf) + torch.matmul(H, W_hf) + b_f)
        O = torch.sigmoid(torch.matmul(X, W_xo) + torch.matmul(H, W_ho) + b_o)
        C_tilda = torch.tanh(torch.matmul(X, W_xc) + torch.matmul(H, W_hc) + b_c)
        C = F * C + I * C_tilda
        H = O * C.tanh()
        Y = torch.matmul(H, W_hq) + b_q
        outputs.append(Y)
    return outputs, (H, C)

训练模型

In [12]:

num_epochs, num_steps, batch_size, lr, clipping_theta = 160, 35, 32, 1e2, 1e-2
pred_period, pred_len, prefixes = 40, 50, ['分开', '不分开']

d2l.train_and_predict_rnn(lstm, get_params, init_lstm_state, num_hiddens,
                          vocab_size, device, corpus_indices, idx_to_char,
                          char_to_idx, False, num_epochs, num_steps, lr,
                          clipping_theta, batch_size, pred_period, pred_len,
                          prefixes)
epoch 40, perplexity 211.457328, time 1.51 sec
 - 分开 我不的我 我不的我 我不不 我不的我 我不不 我不的我 我不不 我不的我 我不不 我不的我 我不不
 - 不分开 我不不 我不的我 我不不 我不的我 我不不 我不的我 我不不 我不的我 我不不 我不的我 我不不 
epoch 80, perplexity 68.458662, time 1.50 sec
 - 分开 我想你这你 我不要这你 我不要这你 我不要这你 我不要这你 我不要这你 我不要这你 我不要这你 我
 - 不分开 我想你你的你 我想要你 我不要 我不要 我不要 我不要 我不要 我不要 我不要 我不要 我不要 我
epoch 120, perplexity 15.034657, time 1.49 sec
 - 分开 我想你你的你笑 不知不觉 你你了一我不我 别发抖 快给我抬起起着你 别发抖 快给我抬起头 有你去对
 - 不分开 我想你你 我不要再想我 不知不觉 你你了离不我 不知不觉 你跟了离不我 不知不觉 我该了这节活 后
epoch 160, perplexity 3.897414, time 1.49 sec
 - 分开 我想带你里嵩山 学少林跟了了刚 我想就你了嵩着 我想去这生嵩 不天到双截棍 哼哼哈兮 快使用双截棍
 - 不分开 我 我你你的微笑 像通  又又我 我想就这样牵着你的手不放  穿过来回单单 我 想和你样堡堡 我想

简洁实现

In [13]:

num_hiddens=256
num_epochs, num_steps, batch_size, lr, clipping_theta = 160, 35, 32, 1e2, 1e-2
pred_period, pred_len, prefixes = 40, 50, ['分开', '不分开']

lr = 1e-2 # 注意调整学习率
lstm_layer = nn.LSTM(input_size=vocab_size, hidden_size=num_hiddens)
model = d2l.RNNModel(lstm_layer, vocab_size)
d2l.train_and_predict_rnn_pytorch(model, num_hiddens, vocab_size, device,
                                corpus_indices, idx_to_char, char_to_idx,
                                num_epochs, num_steps, lr, clipping_theta,
                                batch_size, pred_period, pred_len, prefixes)
epoch 40, perplexity 1.019881, time 1.04 sec
 - 分开始打呼 管家是一只会说法语举止优雅的猪 吸血前会念约翰福音做为弥补 拥有一双蓝色眼睛的凯萨琳公主 专
 - 不分开的玩笑 想通 却又再考倒我 说散 你想很久了吧? 败给你的黑色幽默 不想太多 我想一定是我听错弄错搞
epoch 80, perplexity 1.013078, time 1.01 sec
 - 分开的话像语言暴力 我已无能为力再提起 决定中断熟悉 然后在这里 不限日期 然后将过去 慢慢温习 让我爱
 - 不分开的玩笑 想通 却又再考倒我 说散 你想很久了吧? 败给你的黑色幽默 说散 你想很久了吧? 我的认真败
epoch 120, perplexity 1.010264, time 1.01 sec
 - 分开 我们儿子她人在江南等我 泪不休 语沉默 一壶好酒 再来一碗热粥 配上几斤的牛肉 我说店小二 三两银
 - 不分开 我有你看棒球 想这样没担忧 唱着歌 一直走 我想就这样牵着你的手不放开 爱可不可以简简单单没有伤害
epoch 160, perplexity 1.008950, time 1.02 sec
 - 分开 我才  原来我只想要你 陪我去吃汉堡  说穿了其实我的愿望就怎么小 就怎么每天祈祷我的心跳你知道 
 - 不分开 我才你看 我想要再这样打我妈妈 我说的话 你甘会听 不要再这样打我妈妈 难道你手不会痛吗 其实我回

深度循环神经网络

Image Name

H(1)t=ϕ(XtW(1)xh+H(1)t−1W(1)hh+b(1)h)H(ℓ)t=ϕ(H(ℓ−1)tW(ℓ)xh+H(ℓ)t−1W(ℓ)hh+b(ℓ)h)Ot=H(L)tWhq+bqHt(1)=ϕ(XtWxh(1)+Ht−1(1)Whh(1)+bh(1))Ht(ℓ)=ϕ(Ht(ℓ−1)Wxh(ℓ)+Ht−1(ℓ)Whh(ℓ)+bh(ℓ))Ot=Ht(L)Whq+bq

In [14]:

num_hiddens=256
num_epochs, num_steps, batch_size, lr, clipping_theta = 160, 35, 32, 1e2, 1e-2
pred_period, pred_len, prefixes = 40, 50, ['分开', '不分开']

lr = 1e-2 # 注意调整学习率

gru_layer = nn.LSTM(input_size=vocab_size, hidden_size=num_hiddens,num_layers=2)
model = d2l.RNNModel(gru_layer, vocab_size).to(device)
d2l.train_and_predict_rnn_pytorch(model, num_hiddens, vocab_size, device,
                                corpus_indices, idx_to_char, char_to_idx,
                                num_epochs, num_steps, lr, clipping_theta,
                                batch_size, pred_period, pred_len, prefixes)
epoch 40, perplexity 12.840496, time 1.52 sec
 - 分开我 想你的话我在想再你的让我女疼 我想你 我有要有 想你你 想你的让我女沉 我想你你 想你的让我女沉
 - 不分开的经爱女人 坏坏的让我疯狂的可爱女人 坏坏的让我疯狂的可爱女人 坏坏的让我疯狂的可爱女人 坏坏的让我
epoch 80, perplexity 1.247634, time 1.52 sec
 - 分开有一条热昏头的响尾蛇 无力的躺在干枯的河 在等待雨季来临变沼泽 灰狼啃食著水鹿的骨头 秃鹰盘旋死盯着
 - 不分开的会手 穿梭放受 一朵一朵因你而香 试图让夕阳飞翔 带领你我环绕大自然 迎著风 开始共渡每一天 手牵
epoch 120, perplexity 1.021974, time 1.56 sec
 - 分开我妈妈 我有多重要 我后悔没让你知道 安静的听你撒娇 看你睡著一直到老 就是开不了口让她知道 就是那
 - 不分开的会堡  想要将我不投 又不会掩护我 选你这种队友 瞎透了我 说你说 分数怎么停留 一直在停留 谁让
epoch 160, perplexity 1.016324, time 1.59 sec
 - 分开在没有一个人身留  旧时光 一九四三 在回忆 的路上 时间变好慢 老街坊 小弄堂 是属于那年代白墙黑
 - 不分开的我有 有样的要再这样打我妈妈 难道你手不会痛吗 不要再这样打我妈妈 难道你手不会痛吗 不要再这样打

In [15]:

gru_layer = nn.LSTM(input_size=vocab_size, hidden_size=num_hiddens,num_layers=6)
model = d2l.RNNModel(gru_layer, vocab_size).to(device)
d2l.train_and_predict_rnn_pytorch(model, num_hiddens, vocab_size, device,
                                corpus_indices, idx_to_char, char_to_idx,
                                num_epochs, num_steps, lr, clipping_theta,
                                batch_size, pred_period, pred_len, prefixes)
epoch 40, perplexity 276.815235, time 8.50 sec
 - 分开                                                  
 - 不分开                                                  
epoch 80, perplexity 276.278550, time 8.51 sec
 - 分开                                                  
 - 不分开                                                  
epoch 120, perplexity 276.146710, time 8.53 sec
 - 分开                                                  
 - 不分开                                                  
epoch 160, perplexity 275.739864, time 9.04 sec
 - 分开                                                  
 - 不分开                                                  

双向循环神经网络

Image Name

H−→tH←−t=ϕ(XtW(f)xh+H−→t−1W(f)hh+b(f)h)=ϕ(XtW(b)xh+H←−t+1W(b)hh+b(b)h)H→t=ϕ(XtWxh(f)+H→t−1Whh(f)+bh(f))H←t=ϕ(XtWxh(b)+H←t+1Whh(b)+bh(b))

Ht=(H−→t,H←−t)Ht=(H→t,H←t)

Ot=HtWhq+bqOt=HtWhq+bq

In [16]:

num_hiddens=128
num_epochs, num_steps, batch_size, lr, clipping_theta = 160, 35, 32, 1e-2, 1e-2
pred_period, pred_len, prefixes = 40, 50, ['分开', '不分开']

lr = 1e-2 # 注意调整学习率

gru_layer = nn.GRU(input_size=vocab_size, hidden_size=num_hiddens,bidirectional=True)
model = d2l.RNNModel(gru_layer, vocab_size).to(device)
d2l.train_and_predict_rnn_pytorch(model, num_hiddens, vocab_size, device,
                                corpus_indices, idx_to_char, char_to_idx,
                                num_epochs, num_steps, lr, clipping_theta,
                                batch_size, pred_period, pred_len, prefixes)
epoch 40, perplexity 1.001741, time 0.91 sec
 - 分开始开始开始开始开始开始开始开始开始开始开始开始开始开始开始开始开始开始开始开始开始开始开始开始开始开
 - 不分开始开始开始开始开始开始开始开始开始开始开始开始开始开始开始开始开始开始开始开始开始开始开始开始开始开
epoch 80, perplexity 1.000520, time 0.91 sec
 - 分开始开始开始开始开始开始开始开始开始开始开始开始开始开始开始开始开始开始开始开始开始开始开始开始开始开
 - 不分开始开始开始开始开始开始开始开始开始开始开始开始开始开始开始开始开始开始开始开始开始开始开始开始开始开
epoch 120, perplexity 1.000255, time 0.99 sec
 - 分开始开始开始开始开始开始开始开始开始开始开始开始开始开始开始开始开始开始开始开始开始开始开始开始开始开
 - 不分开球我球我球我球我球我球我球我球我球我球我球我球我球我球我球我球我球我球我球我球我球我球我球我球我球我
epoch 160, perplexity 1.000151, time 0.92 sec
 - 分开始开始开始开始开始开始开始开始开始开始开始开始开始开始开始开始开始开始开始开始开始开始开始开始开始开
 - 不分开球我球我球我球我球我球我球我球我球我球我球我球我球我球我球我球我球我球我球我球我球我球我球我球我球我

 

机器翻译和数据集

机器翻译(MT):将一段文本从一种语言自动翻译为另一种语言,用神经网络解决这个问题通常称为神经机器翻译(NMT)。 主要特征:输出是单词序列而不是单个单词。 输出序列的长度可能与源序列的长度不同。

In [1]:

import sys
sys.path.append('/home/kesci/input/d2l9528/')
import collections
import d2l
import zipfile
from d2l.data.base import Vocab
import time
import torch
import torch.nn as nn
import torch.nn.functional as F
from torch.utils import data
from torch import optim

数据预处理

将数据集清洗、转化为神经网络的输入minbatch

In [2]:

with open('/home/kesci/input/fraeng6506/fra.txt', 'r') as f:
      raw_text = f.read()
print(raw_text[0:1000])
Go.	Va !	CC-BY 2.0 (France) Attribution: tatoeba.org #2877272 (CM) & #1158250 (Wittydev)
Hi.	Salut !	CC-BY 2.0 (France) Attribution: tatoeba.org #538123 (CM) & #509819 (Aiji)
Hi.	Salut.	CC-BY 2.0 (France) Attribution: tatoeba.org #538123 (CM) & #4320462 (gillux)
Run!	Cours !	CC-BY 2.0 (France) Attribution: tatoeba.org #906328 (papabear) & #906331 (sacredceltic)
Run!	Courez !	CC-BY 2.0 (France) Attribution: tatoeba.org #906328 (papabear) & #906332 (sacredceltic)
Who?	Qui ?	CC-BY 2.0 (France) Attribution: tatoeba.org #2083030 (CK) & #4366796 (gillux)
Wow!	Ça alors !	CC-BY 2.0 (France) Attribution: tatoeba.org #52027 (Zifre) & #374631 (zmoo)
Fire!	Au feu !	CC-BY 2.0 (France) Attribution: tatoeba.org #1829639 (Spamster) & #4627939 (sacredceltic)
Help!	À l'aide !	CC-BY 2.0 (France) Attribution: tatoeba.org #435084 (lukaszpp) & #128430 (sysko)
Jump.	Saute.	CC-BY 2.0 (France) Attribution: tatoeba.org #631038 (Shishir) & #2416938 (Phoenix)
Stop!	Ça suffit !	CC-BY 2.0 (France) Attribution: tato

In [3]:

def preprocess_raw(text):
    text = text.replace('\u202f', ' ').replace('\xa0', ' ')
    out = ''
    for i, char in enumerate(text.lower()):
        if char in (',', '!', '.') and i > 0 and text[i-1] != ' ':
            out += ' '
        out += char
    return out

text = preprocess_raw(raw_text)
print(text[0:1000])
go .	va !	cc-by 2 .0 (france) attribution: tatoeba .org #2877272 (cm) & #1158250 (wittydev)
hi .	salut !	cc-by 2 .0 (france) attribution: tatoeba .org #538123 (cm) & #509819 (aiji)
hi .	salut .	cc-by 2 .0 (france) attribution: tatoeba .org #538123 (cm) & #4320462 (gillux)
run !	cours !	cc-by 2 .0 (france) attribution: tatoeba .org #906328 (papabear) & #906331 (sacredceltic)
run !	courez !	cc-by 2 .0 (france) attribution: tatoeba .org #906328 (papabear) & #906332 (sacredceltic)
who?	qui ?	cc-by 2 .0 (france) attribution: tatoeba .org #2083030 (ck) & #4366796 (gillux)
wow !	ça alors !	cc-by 2 .0 (france) attribution: tatoeba .org #52027 (zifre) & #374631 (zmoo)
fire !	au feu !	cc-by 2 .0 (france) attribution: tatoeba .org #1829639 (spamster) & #4627939 (sacredceltic)
help !	à l'aide !	cc-by 2 .0 (france) attribution: tatoeba .org #435084 (lukaszpp) & #128430 (sysko)
jump .	saute .	cc-by 2 .0 (france) attribution: tatoeba .org #631038 (shishir) & #2416938 (phoenix)
stop !	ça suffit !	cc-b

字符在计算机里是以编码的形式存在,我们通常所用的空格是 \x20 ,是在标准ASCII可见字符 0x20~0x7e 范围内。 而 \xa0 属于 latin1 (ISO/IEC_8859-1)中的扩展字符集字符,代表不间断空白符nbsp(non-breaking space),超出gbk编码范围,是需要去除的特殊字符。再数据预处理的过程中,我们首先需要对数据进行清洗。

分词

字符串---单词组成的列表

In [4]:

num_examples = 50000
source, target = [], []
for i, line in enumerate(text.split('\n')):
    if i > num_examples:
        break
    parts = line.split('\t')
    if len(parts) >= 2:
        source.append(parts[0].split(' '))
        target.append(parts[1].split(' '))
        
source[0:3], target[0:3]

Out[4]:

([['go', '.'], ['hi', '.'], ['hi', '.']],
 [['va', '!'], ['salut', '!'], ['salut', '.']])

In [5]:

d2l.set_figsize()
d2l.plt.hist([[len(l) for l in source], [len(l) for l in target]],label=['source', 'target'])
d2l.plt.legend(loc='upper right');

建立词典

单词组成的列表---单词id组成的列表

In [6]:

def build_vocab(tokens):
    tokens = [token for line in tokens for token in line]
    return d2l.data.base.Vocab(tokens, min_freq=3, use_special_tokens=True)

src_vocab = build_vocab(source)
len(src_vocab)

Out[6]:

3789

Image Name

载入数据集

In [7]:

def pad(line, max_len, padding_token):
    if len(line) > max_len:
        return line[:max_len]
    return line + [padding_token] * (max_len - len(line))
pad(src_vocab[source[0]], 10, src_vocab.pad)

Out[7]:

[38, 4, 0, 0, 0, 0, 0, 0, 0, 0]

In [8]:

def build_array(lines, vocab, max_len, is_source):
    lines = [vocab[line] for line in lines]
    if not is_source:
        lines = [[vocab.bos] + line + [vocab.eos] for line in lines]
    array = torch.tensor([pad(line, max_len, vocab.pad) for line in lines])
    valid_len = (array != vocab.pad).sum(1) #第一个维度
    return array, valid_len

Image Name

In [9]:

def load_data_nmt(batch_size, max_len): # This function is saved in d2l.
    src_vocab, tgt_vocab = build_vocab(source), build_vocab(target)
    src_array, src_valid_len = build_array(source, src_vocab, max_len, True)
    tgt_array, tgt_valid_len = build_array(target, tgt_vocab, max_len, False)
    train_data = data.TensorDataset(src_array, src_valid_len, tgt_array, tgt_valid_len)
    train_iter = data.DataLoader(train_data, batch_size, shuffle=True)
    return src_vocab, tgt_vocab, train_iter

In [10]:

src_vocab, tgt_vocab, train_iter = load_data_nmt(batch_size=2, max_len=8)
for X, X_valid_len, Y, Y_valid_len, in train_iter:
    print('X =', X.type(torch.int32), '\nValid lengths for X =', X_valid_len,
        '\nY =', Y.type(torch.int32), '\nValid lengths for Y =', Y_valid_len)
    break
X = tensor([[   5,   24,    3,    4,    0,    0,    0,    0],
        [  12, 1388,    7,    3,    4,    0,    0,    0]], dtype=torch.int32) 
Valid lengths for X = tensor([4, 5]) 
Y = tensor([[   1,   23,   46,    3,    3,    4,    2,    0],
        [   1,   15,  137,   27, 4736,    4,    2,    0]], dtype=torch.int32) 
Valid lengths for Y = tensor([7, 7])

Encoder-Decoder

encoder:输入到隐藏状态
decoder:隐藏状态到输出

Image Name

In [11]:

class Encoder(nn.Module):
    def __init__(self, **kwargs):
        super(Encoder, self).__init__(**kwargs)

    def forward(self, X, *args):
        raise NotImplementedError

In [12]:

class Decoder(nn.Module):
    def __init__(self, **kwargs):
        super(Decoder, self).__init__(**kwargs)

    def init_state(self, enc_outputs, *args):
        raise NotImplementedError

    def forward(self, X, state):
        raise NotImplementedError

In [13]:

class EncoderDecoder(nn.Module):
    def __init__(self, encoder, decoder, **kwargs):
        super(EncoderDecoder, self).__init__(**kwargs)
        self.encoder = encoder
        self.decoder = decoder

    def forward(self, enc_X, dec_X, *args):
        enc_outputs = self.encoder(enc_X, *args)
        dec_state = self.decoder.init_state(enc_outputs, *args)
        return self.decoder(dec_X, dec_state)

可以应用在对话系统、生成式任务中。

Sequence to Sequence模型

模型:

训练
Image Name预测

Image Name

具体结构:

Image Name

Encoder

In [14]:

class Seq2SeqEncoder(d2l.Encoder):
    def __init__(self, vocab_size, embed_size, num_hiddens, num_layers,
                 dropout=0, **kwargs):
        super(Seq2SeqEncoder, self).__init__(**kwargs)
        self.num_hiddens=num_hiddens
        self.num_layers=num_layers
        self.embedding = nn.Embedding(vocab_size, embed_size)
        self.rnn = nn.LSTM(embed_size,num_hiddens, num_layers, dropout=dropout)
   
    def begin_state(self, batch_size, device):
        return [torch.zeros(size=(self.num_layers, batch_size, self.num_hiddens),  device=device),
                torch.zeros(size=(self.num_layers, batch_size, self.num_hiddens),  device=device)]
    def forward(self, X, *args):
        X = self.embedding(X) # X shape: (batch_size, seq_len, embed_size)
        X = X.transpose(0, 1)  # RNN needs first axes to be time
        # state = self.begin_state(X.shape[1], device=X.device)
        out, state = self.rnn(X)
        # The shape of out is (seq_len, batch_size, num_hiddens).
        # state contains the hidden state and the memory cell
        # of the last time step, the shape is (num_layers, batch_size, num_hiddens)
        return out, state

In [15]:

encoder = Seq2SeqEncoder(vocab_size=10, embed_size=8,num_hiddens=16, num_layers=2)
X = torch.zeros((4, 7),dtype=torch.long)
output, state = encoder(X)
output.shape, len(state), state[0].shape, state[1].shape

Out[15]:

(torch.Size([7, 4, 16]), 2, torch.Size([2, 4, 16]), torch.Size([2, 4, 16]))

Decoder

In [16]:

class Seq2SeqDecoder(d2l.Decoder):
    def __init__(self, vocab_size, embed_size, num_hiddens, num_layers,
                 dropout=0, **kwargs):
        super(Seq2SeqDecoder, self).__init__(**kwargs)
        self.embedding = nn.Embedding(vocab_size, embed_size)
        self.rnn = nn.LSTM(embed_size,num_hiddens, num_layers, dropout=dropout)
        self.dense = nn.Linear(num_hiddens,vocab_size)

    def init_state(self, enc_outputs, *args):
        return enc_outputs[1]

    def forward(self, X, state):
        X = self.embedding(X).transpose(0, 1)
        out, state = self.rnn(X, state)
        # Make the batch to be the first dimension to simplify loss computation.
        out = self.dense(out).transpose(0, 1)
        return out, state

In [17]:

decoder = Seq2SeqDecoder(vocab_size=10, embed_size=8,num_hiddens=16, num_layers=2)
state = decoder.init_state(encoder(X))
out, state = decoder(X, state)
out.shape, len(state), state[0].shape, state[1].shape

Out[17]:

(torch.Size([4, 7, 10]), 2, torch.Size([2, 4, 16]), torch.Size([2, 4, 16]))

损失函数

In [18]:

def SequenceMask(X, X_len,value=0):
    maxlen = X.size(1)
    mask = torch.arange(maxlen)[None, :].to(X_len.device) < X_len[:, None]   
    X[~mask]=value
    return X

In [19]:

X = torch.tensor([[1,2,3], [4,5,6]])
SequenceMask(X,torch.tensor([1,2]))

Out[19]:

tensor([[1, 0, 0],
        [4, 5, 0]])

In [20]:

X = torch.ones((2,3, 4))
SequenceMask(X, torch.tensor([1,2]),value=-1)

Out[20]:

tensor([[[ 1.,  1.,  1.,  1.],
         [-1., -1., -1., -1.],
         [-1., -1., -1., -1.]],

        [[ 1.,  1.,  1.,  1.],
         [ 1.,  1.,  1.,  1.],
         [-1., -1., -1., -1.]]])

In [21]:

class MaskedSoftmaxCELoss(nn.CrossEntropyLoss):
    # pred shape: (batch_size, seq_len, vocab_size)
    # label shape: (batch_size, seq_len)
    # valid_length shape: (batch_size, )
    def forward(self, pred, label, valid_length):
        # the sample weights shape should be (batch_size, seq_len)
        weights = torch.ones_like(label)
        weights = SequenceMask(weights, valid_length).float()
        self.reduction='none'
        output=super(MaskedSoftmaxCELoss, self).forward(pred.transpose(1,2), label)
        return (output*weights).mean(dim=1)

In [22]:

loss = MaskedSoftmaxCELoss()
loss(torch.ones((3, 4, 10)), torch.ones((3,4),dtype=torch.long), torch.tensor([4,3,0]))

Out[22]:

tensor([2.3026, 1.7269, 0.0000])

训练

In [23]:

def train_ch7(model, data_iter, lr, num_epochs, device):  # Saved in d2l
    model.to(device)
    optimizer = optim.Adam(model.parameters(), lr=lr)
    loss = MaskedSoftmaxCELoss()
    tic = time.time()
    for epoch in range(1, num_epochs+1):
        l_sum, num_tokens_sum = 0.0, 0.0
        for batch in data_iter:
            optimizer.zero_grad()
            X, X_vlen, Y, Y_vlen = [x.to(device) for x in batch]
            Y_input, Y_label, Y_vlen = Y[:,:-1], Y[:,1:], Y_vlen-1
            
            Y_hat, _ = model(X, Y_input, X_vlen, Y_vlen)
            l = loss(Y_hat, Y_label, Y_vlen).sum()
            l.backward()

            with torch.no_grad():
                d2l.grad_clipping_nn(model, 5, device)
            num_tokens = Y_vlen.sum().item()
            optimizer.step()
            l_sum += l.sum().item()
            num_tokens_sum += num_tokens
        if epoch % 50 == 0:
            print("epoch {0:4d},loss {1:.3f}, time {2:.1f} sec".format( 
                  epoch, (l_sum/num_tokens_sum), time.time()-tic))
            tic = time.time()

In [24]:

embed_size, num_hiddens, num_layers, dropout = 32, 32, 2, 0.0
batch_size, num_examples, max_len = 64, 1e3, 10
lr, num_epochs, ctx = 0.005, 300, d2l.try_gpu()
src_vocab, tgt_vocab, train_iter = d2l.load_data_nmt(
    batch_size, max_len,num_examples)
encoder = Seq2SeqEncoder(
    len(src_vocab), embed_size, num_hiddens, num_layers, dropout)
decoder = Seq2SeqDecoder(
    len(tgt_vocab), embed_size, num_hiddens, num_layers, dropout)
model = d2l.EncoderDecoder(encoder, decoder)
train_ch7(model, train_iter, lr, num_epochs, ctx)
epoch   50,loss 0.093, time 38.2 sec
epoch  100,loss 0.046, time 37.9 sec
epoch  150,loss 0.032, time 36.8 sec
epoch  200,loss 0.027, time 37.5 sec
epoch  250,loss 0.026, time 37.8 sec
epoch  300,loss 0.025, time 37.3 sec

测试

In [25]:

def translate_ch7(model, src_sentence, src_vocab, tgt_vocab, max_len, device):
    src_tokens = src_vocab[src_sentence.lower().split(' ')]
    src_len = len(src_tokens)
    if src_len < max_len:
        src_tokens += [src_vocab.pad] * (max_len - src_len)
    enc_X = torch.tensor(src_tokens, device=device)
    enc_valid_length = torch.tensor([src_len], device=device)
    # use expand_dim to add the batch_size dimension.
    enc_outputs = model.encoder(enc_X.unsqueeze(dim=0), enc_valid_length)
    dec_state = model.decoder.init_state(enc_outputs, enc_valid_length)
    dec_X = torch.tensor([tgt_vocab.bos], device=device).unsqueeze(dim=0)
    predict_tokens = []
    for _ in range(max_len):
        Y, dec_state = model.decoder(dec_X, dec_state)
        # The token with highest score is used as the next time step input.
        dec_X = Y.argmax(dim=2)
        py = dec_X.squeeze(dim=0).int().item()
        if py == tgt_vocab.eos:
            break
        predict_tokens.append(py)
    return ' '.join(tgt_vocab.to_tokens(predict_tokens))

In [26]:

for sentence in ['Go .', 'Wow !', "I'm OK .", 'I won !']:
    print(sentence + ' => ' + translate_ch7(
        model, sentence, src_vocab, tgt_vocab, max_len, ctx))
Go . => va !
Wow ! => <unk> !
I'm OK . => ça va .
I won ! => j'ai gagné !

Beam Search

简单greedy search:

Image Name

维特比算法:选择整体分数最高的句子(搜索空间太大) 集束搜索:

Image Name

 

 

注意力机制

在“编码器—解码器(seq2seq)”⼀节⾥,解码器在各个时间步依赖相同的背景变量(context vector)来获取输⼊序列信息。当编码器为循环神经⽹络时,背景变量来⾃它最终时间步的隐藏状态。将源序列输入信息以循环单位状态编码,然后将其传递给解码器以生成目标序列。然而这种结构存在着问题,尤其是RNN机制实际中存在长程梯度消失的问题,对于较长的句子,我们很难寄希望于将输入的序列转化为定长的向量而保存所有的有效信息,所以随着所需翻译句子的长度的增加,这种结构的效果会显著下降。

与此同时,解码的目标词语可能只与原输入的部分词语有关,而并不是与所有的输入有关。例如,当把“Hello world”翻译成“Bonjour le monde”时,“Hello”映射成“Bonjour”,“world”映射成“monde”。在seq2seq模型中,解码器只能隐式地从编码器的最终状态中选择相应的信息。然而,注意力机制可以将这种选择过程显式地建模。

Image Name

注意力机制框架

Attention 是一种通用的带权池化方法,输入由两部分构成:询问(query)和键值对(key-value pairs)。ki∈Rdk,vi∈Rdv??∈ℝ??,??∈ℝ??. Query q∈Rdq?∈ℝ?? , attention layer得到输出与value的维度一致 o∈Rdv?∈ℝ??. 对于一个query来说,attention layer 会与每一个key计算注意力分数并进行权重的归一化,输出的向量oo则是value的加权求和,而每个key计算的权重与value一一对应。

为了计算输出,我们首先假设有一个函数αα 用于计算query和key的相似性,然后可以计算所有的 attention scores a1,…,ana1,…,an by

ai=α(q,ki).ai=α(q,ki).

我们使用 softmax函数 获得注意力权重:

b1,…,bn=softmax(a1,…,an).b1,…,bn=softmax(a1,…,an).

最终的输出就是value的加权求和:

o=∑i=1nbivi.o=∑i=1nbivi.

Image Name

不同的attetion layer的区别在于score函数的选择,在本节的其余部分,我们将讨论两个常用的注意层 Dot-product Attention 和 Multilayer Perceptron Attention;随后我们将实现一个引入attention的seq2seq模型并在英法翻译语料上进行训练与测试。

In [4]:

import math
import torch 
import torch.nn as nn

In [5]:

import os
def file_name_walk(file_dir):
    for root, dirs, files in os.walk(file_dir):
#         print("root", root)  # 当前目录路径
         print("dirs", dirs)  # 当前路径下所有子目录
         print("files", files)  # 当前路径下所有非目录子文件

file_name_walk("/home/kesci/input/fraeng6506")
dirs []
files ['_about.txt', 'fra.txt']

Softmax屏蔽

在深入研究实现之前,我们首先介绍softmax操作符的一个屏蔽操作。

In [6]:

def SequenceMask(X, X_len,value=-1e6):
    maxlen = X.size(1)
    #print(X.size(),torch.arange((maxlen),dtype=torch.float)[None, :],'\n',X_len[:, None] )
    mask = torch.arange((maxlen),dtype=torch.float)[None, :] >= X_len[:, None]   
    #print(mask)
    X[mask]=value
    return X

In [7]:

def masked_softmax(X, valid_length):
    # X: 3-D tensor, valid_length: 1-D or 2-D tensor
    softmax = nn.Softmax(dim=-1)
    if valid_length is None:
        return softmax(X)
    else:
        shape = X.shape
        if valid_length.dim() == 1:
            try:
                valid_length = torch.FloatTensor(valid_length.numpy().repeat(shape[1], axis=0))#[2,2,3,3]
            except:
                valid_length = torch.FloatTensor(valid_length.cpu().numpy().repeat(shape[1], axis=0))#[2,2,3,3]
        else:
            valid_length = valid_length.reshape((-1,))
        # fill masked elements with a large negative, whose exp is 0
        X = SequenceMask(X.reshape((-1, shape[-1])), valid_length)
 
        return softmax(X).reshape(shape)

In [8]:

masked_softmax(torch.rand((2,2,4),dtype=torch.float), torch.FloatTensor([2,3]))

Out[8]:

tensor([[[0.5423, 0.4577, 0.0000, 0.0000],
         [0.5290, 0.4710, 0.0000, 0.0000]],

        [[0.2969, 0.2966, 0.4065, 0.0000],
         [0.3607, 0.2203, 0.4190, 0.0000]]])

超出2维矩阵的乘法

XX 和 YY 是维度分别为(b,n,m)(b,n,m) 和(b,m,k)(b,m,k)的张量,进行 bb 次二维矩阵乘法后得到 ZZ, 维度为 (b,n,k)(b,n,k)。

Z[i,:,:]=dot(X[i,:,:],Y[i,:,:])for i=1,…,n .Z[i,:,:]=dot(X[i,:,:],Y[i,:,:])for i=1,…,n .

In [9]:

torch.bmm(torch.ones((2,1,3), dtype = torch.float), torch.ones((2,3,2), dtype = torch.float))

Out[9]:

tensor([[[3., 3.]],

        [[3., 3.]]])

点积注意力

The dot product 假设query和keys有相同的维度, 即 ∀i,q,ki∈Rd∀i,?,??∈ℝ?. 通过计算query和key转置的乘积来计算attention score,通常还会除去 d−−√d 减少计算出来的score对维度?的依赖性,如下

α(q,k)=〈q,k〉/d−−√?(?,?)=〈?,?〉/d

假设 Q∈Rm×d?∈ℝ?×? 有 mm 个query,K∈Rn×d?∈ℝ?×? 有 nn 个keys. 我们可以通过矩阵运算的方式计算所有 mnmn 个score:

α(Q,K)=QKT/d−−√?(?,?)=???/d

现在让我们实现这个层,它支持一批查询和键值对。此外,它支持作为正则化随机删除一些注意力权重.

In [10]:

# Save to the d2l package.
class DotProductAttention(nn.Module): 
    def __init__(self, dropout, **kwargs):
        super(DotProductAttention, self).__init__(**kwargs)
        self.dropout = nn.Dropout(dropout)

    # query: (batch_size, #queries, d)
    # key: (batch_size, #kv_pairs, d)
    # value: (batch_size, #kv_pairs, dim_v)
    # valid_length: either (batch_size, ) or (batch_size, xx)
    def forward(self, query, key, value, valid_length=None):
        d = query.shape[-1]
        # set transpose_b=True to swap the last two dimensions of key
        
        scores = torch.bmm(query, key.transpose(1,2)) / math.sqrt(d)
        attention_weights = self.dropout(masked_softmax(scores, valid_length))
        print("attention_weight\n",attention_weights)
        return torch.bmm(attention_weights, value)

测试

现在我们创建了两个批,每个批有一个query和10个key-values对。我们通过valid_length指定,对于第一批,我们只关注前2个键-值对,而对于第二批,我们将检查前6个键-值对。因此,尽管这两个批处理具有相同的查询和键值对,但我们获得的输出是不同的。

In [11]:

atten = DotProductAttention(dropout=0)

keys = torch.ones((2,10,2),dtype=torch.float)
values = torch.arange((40), dtype=torch.float).view(1,10,4).repeat(2,1,1)
atten(torch.ones((2,1,2),dtype=torch.float), keys, values, torch.FloatTensor([2, 6]))
attention_weight
 tensor([[[0.5000, 0.5000, 0.0000, 0.0000, 0.0000, 0.0000, 0.0000, 0.0000,
          0.0000, 0.0000]],

        [[0.1667, 0.1667, 0.1667, 0.1667, 0.1667, 0.1667, 0.0000, 0.0000,
          0.0000, 0.0000]]])

Out[11]:

tensor([[[ 2.0000,  3.0000,  4.0000,  5.0000]],

        [[10.0000, 11.0000, 12.0000, 13.0000]]])

多层感知机注意力

在多层感知器中,我们首先将 query and keys 投影到 Rhℝℎ .为了更具体,我们将可以学习的参数做如下映射 Wk∈Rh×dk??∈ℝℎ×?? , Wq∈Rh×dq??∈ℝℎ×?? , and v∈Rh?∈ℝh . 将score函数定义

α(k,q)=vTtanh(Wkk+Wqq)?(?,?)=??tanh(???+???)

. 然后将key 和 value 在特征的维度上合并(concatenate),然后送至 a single hidden layer perceptron 这层中 hidden layer 为 ℎ and 输出的size为 1 .隐层激活函数为tanh,无偏置.

In [12]:

# Save to the d2l package.
class MLPAttention(nn.Module):  
    def __init__(self, units,ipt_dim,dropout, **kwargs):
        super(MLPAttention, self).__init__(**kwargs)
        # Use flatten=True to keep query's and key's 3-D shapes.
        self.W_k = nn.Linear(ipt_dim, units, bias=False)
        self.W_q = nn.Linear(ipt_dim, units, bias=False)
        self.v = nn.Linear(units, 1, bias=False)
        self.dropout = nn.Dropout(dropout)

    def forward(self, query, key, value, valid_length):
        query, key = self.W_k(query), self.W_q(key)
        #print("size",query.size(),key.size())
        # expand query to (batch_size, #querys, 1, units), and key to
        # (batch_size, 1, #kv_pairs, units). Then plus them with broadcast.
        features = query.unsqueeze(2) + key.unsqueeze(1)
        #print("features:",features.size())  #--------------开启
        scores = self.v(features).squeeze(-1) 
        attention_weights = self.dropout(masked_softmax(scores, valid_length))
        return torch.bmm(attention_weights, value)

测试

尽管MLPAttention包含一个额外的MLP模型,但如果给定相同的输入和相同的键,我们将获得与DotProductAttention相同的输出

In [13]:

atten = MLPAttention(ipt_dim=2,units = 8, dropout=0)
atten(torch.ones((2,1,2), dtype = torch.float), keys, values, torch.FloatTensor([2, 6]))

Out[13]:

tensor([[[ 2.0000,  3.0000,  4.0000,  5.0000]],

        [[10.0000, 11.0000, 12.0000, 13.0000]]], grad_fn=<BmmBackward>)

总结

  • 注意力层显式地选择相关的信息。
  • 注意层的内存由键-值对组成,因此它的输出接近于键类似于查询的值。

引入注意力机制的Seq2seq模型

本节中将注意机制添加到sequence to sequence 模型中,以显式地使用权重聚合states。下图展示encoding 和decoding的模型结构,在时间步为t的时候。此刻attention layer保存着encodering看到的所有信息——即encoding的每一步输出。在decoding阶段,解码器的tt时刻的隐藏状态被当作query,encoder的每个时间步的hidden states作为key和value进行attention聚合. Attetion model的输出当作成上下文信息context vector,并与解码器输入DtDt拼接起来一起送到解码器:

Image Name

Fig1具有注意机制的seq−to−seq模型解码的第二步Fig1具有注意机制的seq−to−seq模型解码的第二步

下图展示了seq2seq机制的所以层的关系,下面展示了encoder和decoder的layer结构

Image Name

Fig2具有注意机制的seq−to−seq模型中层结构Fig2具有注意机制的seq−to−seq模型中层结构

In [14]:

import sys
sys.path.append('/home/kesci/input/d2len9900')
import d2l

解码器

由于带有注意机制的seq2seq的编码器与之前章节中的Seq2SeqEncoder相同,所以在此处我们只关注解码器。我们添加了一个MLP注意层(MLPAttention),它的隐藏大小与解码器中的LSTM层相同。然后我们通过从编码器传递三个参数来初始化解码器的状态:

  • the encoder outputs of all timesteps:encoder输出的各个状态,被用于attetion layer的memory部分,有相同的key和values
  • the hidden state of the encoder’s final timestep:编码器最后一个时间步的隐藏状态,被用于初始化decoder 的hidden state
  • the encoder valid length: 编码器的有效长度,借此,注意层不会考虑编码器输出中的填充标记(Paddings)

在解码的每个时间步,我们使用解码器的最后一个RNN层的输出作为注意层的query。然后,将注意力模型的输出与输入嵌入向量连接起来,输入到RNN层。虽然RNN层隐藏状态也包含来自解码器的历史信息,但是attention model的输出显式地选择了enc_valid_len以内的编码器输出,这样attention机制就会尽可能排除其他不相关的信息。

In [15]:

class Seq2SeqAttentionDecoder(d2l.Decoder):
    def __init__(self, vocab_size, embed_size, num_hiddens, num_layers,
                 dropout=0, **kwargs):
        super(Seq2SeqAttentionDecoder, self).__init__(**kwargs)
        self.attention_cell = MLPAttention(num_hiddens,num_hiddens, dropout)
        self.embedding = nn.Embedding(vocab_size, embed_size)
        self.rnn = nn.LSTM(embed_size+ num_hiddens,num_hiddens, num_layers, dropout=dropout)
        self.dense = nn.Linear(num_hiddens,vocab_size)

    def init_state(self, enc_outputs, enc_valid_len, *args):
        outputs, hidden_state = enc_outputs
#         print("first:",outputs.size(),hidden_state[0].size(),hidden_state[1].size())
        # Transpose outputs to (batch_size, seq_len, hidden_size)
        return (outputs.permute(1,0,-1), hidden_state, enc_valid_len)
        #outputs.swapaxes(0, 1)
        
    def forward(self, X, state):
        enc_outputs, hidden_state, enc_valid_len = state
        #("X.size",X.size())
        X = self.embedding(X).transpose(0,1)
#         print("Xembeding.size2",X.size())
        outputs = []
        for l, x in enumerate(X):
#             print(f"\n{l}-th token")
#             print("x.first.size()",x.size())
            # query shape: (batch_size, 1, hidden_size)
            # select hidden state of the last rnn layer as query
            query = hidden_state[0][-1].unsqueeze(1) # np.expand_dims(hidden_state[0][-1], axis=1)
            # context has same shape as query
#             print("query enc_outputs, enc_outputs:\n",query.size(), enc_outputs.size(), enc_outputs.size())
            context = self.attention_cell(query, enc_outputs, enc_outputs, enc_valid_len)
            # Concatenate on the feature dimension
#             print("context.size:",context.size())
            x = torch.cat((context, x.unsqueeze(1)), dim=-1)
            # Reshape x to (1, batch_size, embed_size+hidden_size)
#             print("rnn",x.size(), len(hidden_state))
            out, hidden_state = self.rnn(x.transpose(0,1), hidden_state)
            outputs.append(out)
        outputs = self.dense(torch.cat(outputs, dim=0))
        return outputs.transpose(0, 1), [enc_outputs, hidden_state,
                                        enc_valid_len]

现在我们可以用注意力模型来测试seq2seq。为了与第9.7节中的模型保持一致,我们对vocab_size、embed_size、num_hiddens和num_layers使用相同的超参数。结果,我们得到了相同的解码器输出形状,但是状态结构改变了。

In [16]:

encoder = d2l.Seq2SeqEncoder(vocab_size=10, embed_size=8,
                            num_hiddens=16, num_layers=2)
# encoder.initialize()
decoder = Seq2SeqAttentionDecoder(vocab_size=10, embed_size=8,
                                  num_hiddens=16, num_layers=2)
X = torch.zeros((4, 7),dtype=torch.long)
print("batch size=4\nseq_length=7\nhidden dim=16\nnum_layers=2\n")
print('encoder output size:', encoder(X)[0].size())
print('encoder hidden size:', encoder(X)[1][0].size())
print('encoder memory size:', encoder(X)[1][1].size())
state = decoder.init_state(encoder(X), None)
out, state = decoder(X, state)
out.shape, len(state), state[0].shape, len(state[1]), state[1][0].shape
batch size=4
seq_length=7
hidden dim=16
num_layers=2

encoder output size: torch.Size([7, 4, 16])
encoder hidden size: torch.Size([2, 4, 16])
encoder memory size: torch.Size([2, 4, 16])

Out[16]:

(torch.Size([4, 7, 10]), 3, torch.Size([4, 7, 16]), 2, torch.Size([2, 4, 16]))

训练

与第9.7.4节相似,通过应用相同的训练超参数和相同的训练损失来尝试一个简单的娱乐模型。从结果中我们可以看出,由于训练数据集中的序列相对较短,额外的注意层并没有带来显著的改进。由于编码器和解码器的注意层的计算开销,该模型比没有注意的seq2seq模型慢得多。

In [21]:

import zipfile
import torch
import requests
from io import BytesIO
from torch.utils import data
import sys
import collections

class Vocab(object): # This class is saved in d2l.
  def __init__(self, tokens, min_freq=0, use_special_tokens=False):
    # sort by frequency and token
    counter = collections.Counter(tokens)
    token_freqs = sorted(counter.items(), key=lambda x: x[0])
    token_freqs.sort(key=lambda x: x[1], reverse=True)
    if use_special_tokens:
      # padding, begin of sentence, end of sentence, unknown
      self.pad, self.bos, self.eos, self.unk = (0, 1, 2, 3)
      tokens = ['', '', '', '']
    else:
      self.unk = 0
      tokens = ['']
    tokens += [token for token, freq in token_freqs if freq >= min_freq]
    self.idx_to_token = []
    self.token_to_idx = dict()
    for token in tokens:
      self.idx_to_token.append(token)
      self.token_to_idx[token] = len(self.idx_to_token) - 1
      
  def __len__(self):
    return len(self.idx_to_token)
  
  def __getitem__(self, tokens):
    if not isinstance(tokens, (list, tuple)):
      return self.token_to_idx.get(tokens, self.unk)
    else:
      return [self.__getitem__(token) for token in tokens]
    
  def to_tokens(self, indices):
    if not isinstance(indices, (list, tuple)):
      return self.idx_to_token[indices]
    else:
      return [self.idx_to_token[index] for index in indices]

def load_data_nmt(batch_size, max_len, num_examples=1000):
    """Download an NMT dataset, return its vocabulary and data iterator."""
    # Download and preprocess
    def preprocess_raw(text):
        text = text.replace('\u202f', ' ').replace('\xa0', ' ')
        out = ''
        for i, char in enumerate(text.lower()):
            if char in (',', '!', '.') and text[i-1] != ' ':
                out += ' '
            out += char
        return out 


    with open('/home/kesci/input/fraeng6506/fra.txt', 'r') as f:
      raw_text = f.read()


    text = preprocess_raw(raw_text)

    # Tokenize
    source, target = [], []
    for i, line in enumerate(text.split('\n')):
        if i >= num_examples:
            break
        parts = line.split('\t')
        if len(parts) >= 2:
            source.append(parts[0].split(' '))
            target.append(parts[1].split(' '))

    # Build vocab
    def build_vocab(tokens):
        tokens = [token for line in tokens for token in line]
        return Vocab(tokens, min_freq=3, use_special_tokens=True)
    src_vocab, tgt_vocab = build_vocab(source), build_vocab(target)

    # Convert to index arrays
    def pad(line, max_len, padding_token):
        if len(line) > max_len:
            return line[:max_len]
        return line + [padding_token] * (max_len - len(line))

    def build_array(lines, vocab, max_len, is_source):
        lines = [vocab[line] for line in lines]
        if not is_source:
            lines = [[vocab.bos] + line + [vocab.eos] for line in lines]
        array = torch.tensor([pad(line, max_len, vocab.pad) for line in lines])
        valid_len = (array != vocab.pad).sum(1)
        return array, valid_len

    src_vocab, tgt_vocab = build_vocab(source), build_vocab(target)
    src_array, src_valid_len = build_array(source, src_vocab, max_len, True)
    tgt_array, tgt_valid_len = build_array(target, tgt_vocab, max_len, False)
    train_data = data.TensorDataset(src_array, src_valid_len, tgt_array, tgt_valid_len)
    train_iter = data.DataLoader(train_data, batch_size, shuffle=True)
    return src_vocab, tgt_vocab, train_iter

In [18]:

embed_size, num_hiddens, num_layers, dropout = 32, 32, 2, 0.0
batch_size, num_steps = 64, 10
lr, num_epochs, ctx = 0.005, 500, d2l.try_gpu()

src_vocab, tgt_vocab, train_iter = load_data_nmt(batch_size, num_steps)
encoder = d2l.Seq2SeqEncoder(
    len(src_vocab), embed_size, num_hiddens, num_layers, dropout)
decoder = Seq2SeqAttentionDecoder(
    len(tgt_vocab), embed_size, num_hiddens, num_layers, dropout)
model = d2l.EncoderDecoder(encoder, decoder)

训练和预测

In [19]:

d2l.train_s2s_ch9(model, train_iter, lr, num_epochs, ctx)
epoch   50,loss 0.104, time 54.7 sec
epoch  100,loss 0.046, time 54.8 sec
epoch  150,loss 0.031, time 54.7 sec
epoch  200,loss 0.027, time 54.3 sec
epoch  250,loss 0.025, time 54.3 sec
epoch  300,loss 0.024, time 54.4 sec
epoch  350,loss 0.024, time 54.4 sec
epoch  400,loss 0.024, time 54.5 sec
epoch  450,loss 0.023, time 54.4 sec
epoch  500,loss 0.023, time 54.7 sec

In [20]:

for sentence in ['Go .', 'Good Night !', "I'm OK .", 'I won !']:
    print(sentence + ' => ' + d2l.predict_s2s_ch9(
        model, sentence, src_vocab, tgt_vocab, num_steps, ctx))
Go . => va !
Good Night ! =>   !
I'm OK . => ça va .
I won ! => j'ai gagné !

 

Transformer

在之前的章节中,我们已经介绍了主流的神经网络架构如卷积神经网络(CNNs)和循环神经网络(RNNs)。让我们进行一些回顾:

  • CNNs 易于并行化,却不适合捕捉变长序列内的依赖关系。
  • RNNs 适合捕捉长距离变长序列的依赖,但是却难以实现并行化处理序列。

为了整合CNN和RNN的优势,[Vaswani et al., 2017] 创新性地使用注意力机制设计了Transformer模型。该模型利用attention机制实现了并行化捕捉序列依赖,并且同时处理序列的每个位置的tokens,上述优势使得Transformer模型在性能优异的同时大大减少了训练时间。

图10.3.1展示了Transformer模型的架构,与9.7节的seq2seq模型相似,Transformer同样基于编码器-解码器架构,其区别主要在于以下三点:

  1. Transformer blocks:将seq2seq模型重的循环网络替换为了Transformer Blocks,该模块包含一个多头注意力层(Multi-head Attention Layers)以及两个position-wise feed-forward networks(FFN)。对于解码器来说,另一个多头注意力层被用于接受编码器的隐藏状态。
  2. Add and norm:多头注意力层和前馈网络的输出被送到两个“add and norm”层进行处理,该层包含残差结构以及层归一化。
  3. Position encoding:由于自注意力层并没有区分元素的顺序,所以一个位置编码层被用于向序列元素里添加位置信息。

Fig. 10.3.1 The Transformer architecture.

Fig.10.3.1 Transformer架构.Fig.10.3.1 Transformer架构.

在接下来的部分,我们将会带领大家实现Transformer里全新的子结构,并且构建一个神经机器翻译模型用以训练和测试。

In [26]:

import os
import math
import numpy as np
import torch 
import torch.nn as nn
import torch.nn.functional as F
import sys
sys.path.append('/home/kesci/input/d2len9900')
import d2l

以下是复制了上一小节中 masked softmax 实现,这里就不再赘述了。

In [27]:

def SequenceMask(X, X_len,value=-1e6):
    maxlen = X.size(1)
    X_len = X_len.to(X.device)
    #print(X.size(),torch.arange((maxlen),dtype=torch.float)[None, :],'\n',X_len[:, None] )
    mask = torch.arange((maxlen), dtype=torch.float, device=X.device)
    mask = mask[None, :] < X_len[:, None]
    #print(mask)
    X[~mask]=value
    return X

def masked_softmax(X, valid_length):
    # X: 3-D tensor, valid_length: 1-D or 2-D tensor
    softmax = nn.Softmax(dim=-1)
    if valid_length is None:
        return softmax(X)
    else:
        shape = X.shape
        if valid_length.dim() == 1:
            try:
                valid_length = torch.FloatTensor(valid_length.numpy().repeat(shape[1], axis=0))#[2,2,3,3]
            except:
                valid_length = torch.FloatTensor(valid_length.cpu().numpy().repeat(shape[1], axis=0))#[2,2,3,3]
        else:
            valid_length = valid_length.reshape((-1,))
        # fill masked elements with a large negative, whose exp is 0
        X = SequenceMask(X.reshape((-1, shape[-1])), valid_length)
 
        return softmax(X).reshape(shape)

# Save to the d2l package.
class DotProductAttention(nn.Module): 
    def __init__(self, dropout, **kwargs):
        super(DotProductAttention, self).__init__(**kwargs)
        self.dropout = nn.Dropout(dropout)

    # query: (batch_size, #queries, d)
    # key: (batch_size, #kv_pairs, d)
    # value: (batch_size, #kv_pairs, dim_v)
    # valid_length: either (batch_size, ) or (batch_size, xx)
    def forward(self, query, key, value, valid_length=None):
        d = query.shape[-1]
        # set transpose_b=True to swap the last two dimensions of key
        scores = torch.bmm(query, key.transpose(1,2)) / math.sqrt(d)
        attention_weights = self.dropout(masked_softmax(scores, valid_length))
        return torch.bmm(attention_weights, value)

多头注意力层

在我们讨论多头注意力层之前,先来迅速理解以下自注意力(self-attention)的结构。自注意力模型是一个正规的注意力模型,序列的每一个元素对应的key,value,query是完全一致的。如图10.3.2 自注意力输出了一个与输入长度相同的表征序列,与循环神经网络相比,自注意力对每个元素输出的计算是并行的,所以我们可以高效的实现这个模块。

Fig. 10.3.2 自注意力结构

Fig.10.3.2 自注意力结构Fig.10.3.2 自注意力结构

多头注意力层包含hh个并行的自注意力层,每一个这种层被成为一个head。对每个头来说,在进行注意力计算之前,我们会将query、key和value用三个现行层进行映射,这hh个注意力头的输出将会被拼接之后输入最后一个线性层进行整合。

Image Name

Fig.10.3.3 多头注意力Fig.10.3.3 多头注意力

假设query,key和value的维度分别是dqdq、dkdk和dvdv。那么对于每一个头i=1,…,hi=1,…,h,我们可以训练相应的模型权重W(i)q∈Rpq×dqWq(i)∈Rpq×dq、W(i)k∈Rpk×dkWk(i)∈Rpk×dk和W(i)v∈Rpv×dvWv(i)∈Rpv×dv,以得到每个头的输出:

o(i)=attention(W(i)qq,W(i)kk,W(i)vv)o(i)=attention(Wq(i)q,Wk(i)k,Wv(i)v)

这里的attention可以是任意的attention function,比如前一节介绍的dot-product attention以及MLP attention。之后我们将所有head对应的输出拼接起来,送入最后一个线性层进行整合,这个层的权重可以表示为Wo∈Rd0×hpvWo∈Rd0×hpv

o=Wo[o(1),…,o(h)]o=Wo[o(1),…,o(h)]

接下来我们就可以来实现多头注意力了,假设我们有h个头,隐藏层权重 hidden_size=pq=pk=pvhidden_size=pq=pk=pv 与query,key,value的维度一致。除此之外,因为多头注意力层保持输入与输出张量的维度不变,所以输出feature的维度也设置为 d0=hidden_sized0=hidden_size。

In [28]:

class MultiHeadAttention(nn.Module):
    def __init__(self, input_size, hidden_size, num_heads, dropout, **kwargs):
        super(MultiHeadAttention, self).__init__(**kwargs)
        self.num_heads = num_heads
        self.attention = DotProductAttention(dropout)
        self.W_q = nn.Linear(input_size, hidden_size, bias=False)
        self.W_k = nn.Linear(input_size, hidden_size, bias=False)
        self.W_v = nn.Linear(input_size, hidden_size, bias=False)
        self.W_o = nn.Linear(hidden_size, hidden_size, bias=False)
    
    def forward(self, query, key, value, valid_length):
        # query, key, and value shape: (batch_size, seq_len, dim),
        # where seq_len is the length of input sequence
        # valid_length shape is either (batch_size, )
        # or (batch_size, seq_len).

        # Project and transpose query, key, and value from
        # (batch_size, seq_len, hidden_size * num_heads) to
        # (batch_size * num_heads, seq_len, hidden_size).
        
        query = transpose_qkv(self.W_q(query), self.num_heads)
        key = transpose_qkv(self.W_k(key), self.num_heads)
        value = transpose_qkv(self.W_v(value), self.num_heads)
        
        if valid_length is not None:
            # Copy valid_length by num_heads times
            device = valid_length.device
            valid_length = valid_length.cpu().numpy() if valid_length.is_cuda else valid_length.numpy()
            if valid_length.ndim == 1:
                valid_length = torch.FloatTensor(np.tile(valid_length, self.num_heads))
            else:
                valid_length = torch.FloatTensor(np.tile(valid_length, (self.num_heads,1)))

            valid_length = valid_length.to(device)
            
        output = self.attention(query, key, value, valid_length)
        output_concat = transpose_output(output, self.num_heads)
        return self.W_o(output_concat)

In [29]:

def transpose_qkv(X, num_heads):
    # Original X shape: (batch_size, seq_len, hidden_size * num_heads),
    # -1 means inferring its value, after first reshape, X shape:
    # (batch_size, seq_len, num_heads, hidden_size)
    X = X.view(X.shape[0], X.shape[1], num_heads, -1)
    
    # After transpose, X shape: (batch_size, num_heads, seq_len, hidden_size)
    X = X.transpose(2, 1).contiguous()

    # Merge the first two dimensions. Use reverse=True to infer shape from
    # right to left.
    # output shape: (batch_size * num_heads, seq_len, hidden_size)
    output = X.view(-1, X.shape[2], X.shape[3])
    return output


# Saved in the d2l package for later use
def transpose_output(X, num_heads):
    # A reversed version of transpose_qkv
    X = X.view(-1, num_heads, X.shape[1], X.shape[2])
    X = X.transpose(2, 1).contiguous()
    return X.view(X.shape[0], X.shape[1], -1)

In [30]:

cell = MultiHeadAttention(5, 9, 3, 0.5)
X = torch.ones((2, 4, 5))
valid_length = torch.FloatTensor([2, 3])
cell(X, X, X, valid_length).shape

Out[30]:

torch.Size([2, 4, 9])

基于位置的前馈网络

Transformer 模块另一个非常重要的部分就是基于位置的前馈网络(FFN),它接受一个形状为(batch_size,seq_length, feature_size)的三维张量。Position-wise FFN由两个全连接层组成,他们作用在最后一维上。因为序列的每个位置的状态都会被单独地更新,所以我们称他为position-wise,这等效于一个1x1的卷积。

下面我们来实现PositionWiseFFN:

In [31]:

# Save to the d2l package.
class PositionWiseFFN(nn.Module):
    def __init__(self, input_size, ffn_hidden_size, hidden_size_out, **kwargs):
        super(PositionWiseFFN, self).__init__(**kwargs)
        self.ffn_1 = nn.Linear(input_size, ffn_hidden_size)
        self.ffn_2 = nn.Linear(ffn_hidden_size, hidden_size_out)
        
        
    def forward(self, X):
        return self.ffn_2(F.relu(self.ffn_1(X)))

与多头注意力层相似,FFN层同样只会对最后一维的大小进行改变;除此之外,对于两个完全相同的输入,FFN层的输出也将相等。

In [32]:

ffn = PositionWiseFFN(4, 4, 8)
out = ffn(torch.ones((2,3,4)))

print(out, out.shape)
tensor([[[ 0.2040, -0.1118, -0.1163,  0.1494,  0.3978, -0.5561,  0.4662,
          -0.6598],
         [ 0.2040, -0.1118, -0.1163,  0.1494,  0.3978, -0.5561,  0.4662,
          -0.6598],
         [ 0.2040, -0.1118, -0.1163,  0.1494,  0.3978, -0.5561,  0.4662,
          -0.6598]],

        [[ 0.2040, -0.1118, -0.1163,  0.1494,  0.3978, -0.5561,  0.4662,
          -0.6598],
         [ 0.2040, -0.1118, -0.1163,  0.1494,  0.3978, -0.5561,  0.4662,
          -0.6598],
         [ 0.2040, -0.1118, -0.1163,  0.1494,  0.3978, -0.5561,  0.4662,
          -0.6598]]], grad_fn=<AddBackward0>) torch.Size([2, 3, 8])

Add and Norm

除了上面两个模块之外,Transformer还有一个重要的相加归一化层,它可以平滑地整合输入和其他层的输出,因此我们在每个多头注意力层和FFN层后面都添加一个含残差连接的Layer Norm层。这里 Layer Norm 与7.5小节的Batch Norm很相似,唯一的区别在于Batch Norm是对于batch size这个维度进行计算均值和方差的,而Layer Norm则是对最后一维进行计算。层归一化可以防止层内的数值变化过大,从而有利于加快训练速度并且提高泛化性能。 (ref)

In [33]:

layernorm = nn.LayerNorm(normalized_shape=2, elementwise_affine=True)
batchnorm = nn.BatchNorm1d(num_features=2, affine=True)
X = torch.FloatTensor([[1,2], [3,4]])
print('layer norm:', layernorm(X))
print('batch norm:', batchnorm(X))
layer norm: tensor([[-1.0000,  1.0000],
        [-1.0000,  1.0000]], grad_fn=<NativeLayerNormBackward>)
batch norm: tensor([[-1.0000, -1.0000],
        [ 1.0000,  1.0000]], grad_fn=<NativeBatchNormBackward>)

In [34]:

# Save to the d2l package.
class AddNorm(nn.Module):
    def __init__(self, hidden_size, dropout, **kwargs):
        super(AddNorm, self).__init__(**kwargs)
        self.dropout = nn.Dropout(dropout)
        self.norm = nn.LayerNorm(hidden_size)
    
    def forward(self, X, Y):
        return self.norm(self.dropout(Y) + X)

由于残差连接,X和Y需要有相同的维度。

In [35]:

add_norm = AddNorm(4, 0.5)
add_norm(torch.ones((2,3,4)), torch.ones((2,3,4))).shape

Out[35]:

torch.Size([2, 3, 4])

位置编码

与循环神经网络不同,无论是多头注意力网络还是前馈神经网络都是独立地对每个位置的元素进行更新,这种特性帮助我们实现了高效的并行,却丢失了重要的序列顺序的信息。为了更好的捕捉序列信息,Transformer模型引入了位置编码去保持输入序列元素的位置。

假设输入序列的嵌入表示 X∈Rl×dX∈Rl×d, 序列长度为ll嵌入向量维度为dd,则其位置编码为P∈Rl×dP∈Rl×d ,输出的向量就是二者相加 X+PX+P。

位置编码是一个二维的矩阵,i对应着序列中的顺序,j对应其embedding vector内部的维度索引。我们可以通过以下等式计算位置编码:

Pi,2j=sin(i/100002j/d)Pi,2j=sin(i/100002j/d)

Pi,2j+1=cos(i/100002j/d)Pi,2j+1=cos(i/100002j/d)

for i=0,…,l−1 and j=0,…,⌊(d−1)/2⌋for i=0,…,l−1 and j=0,…,⌊(d−1)/2⌋

Image Name

Fig.10.3.4 位置编码Fig.10.3.4 位置编码

In [36]:

class PositionalEncoding(nn.Module):
    def __init__(self, embedding_size, dropout, max_len=1000):
        super(PositionalEncoding, self).__init__()
        self.dropout = nn.Dropout(dropout)
        self.P = np.zeros((1, max_len, embedding_size))
        X = np.arange(0, max_len).reshape(-1, 1) / np.power(
            10000, np.arange(0, embedding_size, 2)/embedding_size)
        self.P[:, :, 0::2] = np.sin(X)
        self.P[:, :, 1::2] = np.cos(X)
        self.P = torch.FloatTensor(self.P)
    
    def forward(self, X):
        if X.is_cuda and not self.P.is_cuda:
            self.P = self.P.cuda()
        X = X + self.P[:, :X.shape[1], :]
        return self.dropout(X)

测试

下面我们用PositionalEncoding这个类进行一个小测试,取其中的四个维度进行可视化。 我们可以看到,第4维和第5维有相同的频率但偏置不同。第6维和第7维具有更低的频率;因此positional encoding对于不同维度具有可区分性。

In [37]:

import numpy as np
pe = PositionalEncoding(20, 0)
Y = pe(torch.zeros((1, 100, 20))).numpy()
d2l.plot(np.arange(100), Y[0, :, 4:8].T, figsize=(6, 2.5),
         legend=["dim %d" % p for p in [4, 5, 6, 7]])

编码器

我们已经有了组成Transformer的各个模块,现在我们可以开始搭建了!编码器包含一个多头注意力层,一个position-wise FFN,和两个 Add and Norm层。对于attention模型以及FFN模型,我们的输出维度都是与embedding维度一致的,这也是由于残差连接天生的特性导致的,因为我们要将前一层的输出与原始输入相加并归一化。

In [38]:

class EncoderBlock(nn.Module):
    def __init__(self, embedding_size, ffn_hidden_size, num_heads,
                 dropout, **kwargs):
        super(EncoderBlock, self).__init__(**kwargs)
        self.attention = MultiHeadAttention(embedding_size, embedding_size, num_heads, dropout)
        self.addnorm_1 = AddNorm(embedding_size, dropout)
        self.ffn = PositionWiseFFN(embedding_size, ffn_hidden_size, embedding_size)
        self.addnorm_2 = AddNorm(embedding_size, dropout)

    def forward(self, X, valid_length):
        Y = self.addnorm_1(X, self.attention(X, X, X, valid_length))
        return self.addnorm_2(Y, self.ffn(Y))

In [39]:

# batch_size = 2, seq_len = 100, embedding_size = 24
# ffn_hidden_size = 48, num_head = 8, dropout = 0.5

X = torch.ones((2, 100, 24))
encoder_blk = EncoderBlock(24, 48, 8, 0.5)
encoder_blk(X, valid_length).shape

Out[39]:

torch.Size([2, 100, 24])

现在我们来实现整个Transformer 编码器模型,整个编码器由n个刚刚定义的Encoder Block堆叠而成,因为残差连接的缘故,中间状态的维度始终与嵌入向量的维度d一致;同时注意到我们把嵌入向量乘以 d−−√d 以防止其值过小。

In [40]:

class TransformerEncoder(d2l.Encoder):
    def __init__(self, vocab_size, embedding_size, ffn_hidden_size,
                 num_heads, num_layers, dropout, **kwargs):
        super(TransformerEncoder, self).__init__(**kwargs)
        self.embedding_size = embedding_size
        self.embed = nn.Embedding(vocab_size, embedding_size)
        self.pos_encoding = PositionalEncoding(embedding_size, dropout)
        self.blks = nn.ModuleList()
        for i in range(num_layers):
            self.blks.append(
                EncoderBlock(embedding_size, ffn_hidden_size,
                             num_heads, dropout))

    def forward(self, X, valid_length, *args):
        X = self.pos_encoding(self.embed(X) * math.sqrt(self.embedding_size))
        for blk in self.blks:
            X = blk(X, valid_length)
        return X

In [41]:

# test encoder
encoder = TransformerEncoder(200, 24, 48, 8, 2, 0.5)
encoder(torch.ones((2, 100)).long(), valid_length).shape

Out[41]:

torch.Size([2, 100, 24])

解码器

Transformer 模型的解码器与编码器结构类似,然而,除了之前介绍的几个模块之外,编码器部分有另一个子模块。该模块也是多头注意力层,接受编码器的输出作为key和value,decoder的状态作为query。与编码器部分相类似,解码器同样是使用了add and norm机制,用残差和层归一化将各个子层的输出相连。

仔细来讲,在第t个时间步,当前输入xtxt是query,那么self attention接受了第t步以及前t-1步的所有输入x1,…,xt−1x1,…,xt−1。在训练时,由于第t位置的输入可以观测到全部的序列,这与预测阶段的情形项矛盾,所以我们要通过将第t个时间步所对应的可观测长度设置为t,以消除不需要看到的未来的信息。

Image Name

In [42]:

class DecoderBlock(nn.Module):
    def __init__(self, embedding_size, ffn_hidden_size, num_heads,dropout,i,**kwargs):
        super(DecoderBlock, self).__init__(**kwargs)
        self.i = i
        self.attention_1 = MultiHeadAttention(embedding_size, embedding_size, num_heads, dropout)
        self.addnorm_1 = AddNorm(embedding_size, dropout)
        self.attention_2 = MultiHeadAttention(embedding_size, embedding_size, num_heads, dropout)
        self.addnorm_2 = AddNorm(embedding_size, dropout)
        self.ffn = PositionWiseFFN(embedding_size, ffn_hidden_size, embedding_size)
        self.addnorm_3 = AddNorm(embedding_size, dropout)
    
    def forward(self, X, state):
        enc_outputs, enc_valid_length = state[0], state[1]
        
        # state[2][self.i] stores all the previous t-1 query state of layer-i
        # len(state[2]) = num_layers
        
        # If training:
        #     state[2] is useless.
        # If predicting:
        #     In the t-th timestep:
        #         state[2][self.i].shape = (batch_size, t-1, hidden_size)
        # Demo:
        # love dogs ! [EOS]
        #  |    |   |   |
        #   Transformer 
        #    Decoder
        #  |   |   |   |
        #  I love dogs !
        
        if state[2][self.i] is None:
            key_values = X
        else:
            # shape of key_values = (batch_size, t, hidden_size)
            key_values = torch.cat((state[2][self.i], X), dim=1) 
        state[2][self.i] = key_values
        
        if self.training:
            batch_size, seq_len, _ = X.shape
            # Shape: (batch_size, seq_len), the values in the j-th column are j+1
            valid_length = torch.FloatTensor(np.tile(np.arange(1, seq_len+1), (batch_size, 1))) 
            valid_length = valid_length.to(X.device)
        else:
            valid_length = None

        X2 = self.attention_1(X, key_values, key_values, valid_length)
        Y = self.addnorm_1(X, X2)
        Y2 = self.attention_2(Y, enc_outputs, enc_outputs, enc_valid_length)
        Z = self.addnorm_2(Y, Y2)
        return self.addnorm_3(Z, self.ffn(Z)), state

In [43]:

decoder_blk = DecoderBlock(24, 48, 8, 0.5, 0)
X = torch.ones((2, 100, 24))
state = [encoder_blk(X, valid_length), valid_length, [None]]
decoder_blk(X, state)[0].shape

Out[43]:

torch.Size([2, 100, 24])

对于Transformer解码器来说,构造方式与编码器一样,除了最后一层添加一个dense layer以获得输出的置信度分数。下面让我们来实现一下Transformer Decoder,除了常规的超参数例如vocab_size embedding_size 之外,解码器还需要编码器的输出 enc_outputs 和句子有效长度 enc_valid_length。

In [44]:

class TransformerDecoder(d2l.Decoder):
    def __init__(self, vocab_size, embedding_size, ffn_hidden_size,
                 num_heads, num_layers, dropout, **kwargs):
        super(TransformerDecoder, self).__init__(**kwargs)
        self.embedding_size = embedding_size
        self.num_layers = num_layers
        self.embed = nn.Embedding(vocab_size, embedding_size)
        self.pos_encoding = PositionalEncoding(embedding_size, dropout)
        self.blks = nn.ModuleList()
        for i in range(num_layers):
            self.blks.append(
                DecoderBlock(embedding_size, ffn_hidden_size, num_heads,
                             dropout, i))
        self.dense = nn.Linear(embedding_size, vocab_size)

    def init_state(self, enc_outputs, enc_valid_length, *args):
        return [enc_outputs, enc_valid_length, [None]*self.num_layers]

    def forward(self, X, state):
        X = self.pos_encoding(self.embed(X) * math.sqrt(self.embedding_size))
        for blk in self.blks:
            X, state = blk(X, state)
        return self.dense(X), state

训练

In [45]:

import zipfile
import torch
import requests
from io import BytesIO
from torch.utils import data
import sys
import collections

class Vocab(object): # This class is saved in d2l.
  def __init__(self, tokens, min_freq=0, use_special_tokens=False):
    # sort by frequency and token
    counter = collections.Counter(tokens)
    token_freqs = sorted(counter.items(), key=lambda x: x[0])
    token_freqs.sort(key=lambda x: x[1], reverse=True)
    if use_special_tokens:
      # padding, begin of sentence, end of sentence, unknown
      self.pad, self.bos, self.eos, self.unk = (0, 1, 2, 3)
      tokens = ['', '', '', '']
    else:
      self.unk = 0
      tokens = ['']
    tokens += [token for token, freq in token_freqs if freq >= min_freq]
    self.idx_to_token = []
    self.token_to_idx = dict()
    for token in tokens:
      self.idx_to_token.append(token)
      self.token_to_idx[token] = len(self.idx_to_token) - 1
      
  def __len__(self):
    return len(self.idx_to_token)
  
  def __getitem__(self, tokens):
    if not isinstance(tokens, (list, tuple)):
      return self.token_to_idx.get(tokens, self.unk)
    else:
      return [self.__getitem__(token) for token in tokens]
    
  def to_tokens(self, indices):
    if not isinstance(indices, (list, tuple)):
      return self.idx_to_token[indices]
    else:
      return [self.idx_to_token[index] for index in indices]

def load_data_nmt(batch_size, max_len, num_examples=1000):
    """Download an NMT dataset, return its vocabulary and data iterator."""
    # Download and preprocess
    def preprocess_raw(text):
        text = text.replace('\u202f', ' ').replace('\xa0', ' ')
        out = ''
        for i, char in enumerate(text.lower()):
            if char in (',', '!', '.') and text[i-1] != ' ':
                out += ' '
            out += char
        return out 


    with open('/home/kesci/input/fraeng6506/fra.txt', 'r') as f:
      raw_text = f.read()


    text = preprocess_raw(raw_text)

    # Tokenize
    source, target = [], []
    for i, line in enumerate(text.split('\n')):
        if i >= num_examples:
            break
        parts = line.split('\t')
        if len(parts) >= 2:
            source.append(parts[0].split(' '))
            target.append(parts[1].split(' '))

    # Build vocab
    def build_vocab(tokens):
        tokens = [token for line in tokens for token in line]
        return Vocab(tokens, min_freq=3, use_special_tokens=True)
    src_vocab, tgt_vocab = build_vocab(source), build_vocab(target)

    # Convert to index arrays
    def pad(line, max_len, padding_token):
        if len(line) > max_len:
            return line[:max_len]
        return line + [padding_token] * (max_len - len(line))

    def build_array(lines, vocab, max_len, is_source):
        lines = [vocab[line] for line in lines]
        if not is_source:
            lines = [[vocab.bos] + line + [vocab.eos] for line in lines]
        array = torch.tensor([pad(line, max_len, vocab.pad) for line in lines])
        valid_len = (array != vocab.pad).sum(1)
        return array, valid_len

    src_vocab, tgt_vocab = build_vocab(source), build_vocab(target)
    src_array, src_valid_len = build_array(source, src_vocab, max_len, True)
    tgt_array, tgt_valid_len = build_array(target, tgt_vocab, max_len, False)
    train_data = data.TensorDataset(src_array, src_valid_len, tgt_array, tgt_valid_len)
    train_iter = data.DataLoader(train_data, batch_size, shuffle=True)
    return src_vocab, tgt_vocab, train_iter

In [47]:

import os

import d2l

# 平台暂时不支持gpu,现在会自动使用cpu训练,gpu可以用了之后会使用gpu来训练
os.environ["CUDA_VISIBLE_DEVICES"] = "1"

embed_size, embedding_size, num_layers, dropout = 32, 32, 2, 0.05
batch_size, num_steps = 64, 10
lr, num_epochs, ctx = 0.005, 250, d2l.try_gpu()
print(ctx)
num_hiddens, num_heads = 64, 4

src_vocab, tgt_vocab, train_iter = load_data_nmt(batch_size, num_steps)

encoder = TransformerEncoder(
    len(src_vocab), embedding_size, num_hiddens, num_heads, num_layers,
    dropout)
decoder = TransformerDecoder(
    len(src_vocab), embedding_size, num_hiddens, num_heads, num_layers,
    dropout)
model = d2l.EncoderDecoder(encoder, decoder)
d2l.train_s2s_ch9(model, train_iter, lr, num_epochs, ctx)
cpu
epoch   50,loss 0.048, time 53.3 sec
epoch  100,loss 0.040, time 53.4 sec
epoch  150,loss 0.037, time 53.5 sec
epoch  200,loss 0.036, time 53.6 sec
epoch  250,loss 0.035, time 53.5 sec

In [48]:

model.eval()
for sentence in ['Go .', 'Wow !', "I'm OK .", 'I won !']:
    print(sentence + ' => ' + d2l.predict_s2s_ch9(
        model, sentence, src_vocab, tgt_vocab, num_steps, ctx))
Go . =>  !
Wow ! =>  !
I'm OK . => ça va .
I won ! => j'ai gagné !

In [ ]:

 

 

 


版权声明:本文为weixin_40054643原创文章,遵循CC 4.0 BY-SA版权协议,转载请附上原文出处链接和本声明。