现实是我们的处理和测量模型都是非线性的,结果就是一个不规则分布,KF能够使用的前提就是所处理的状态是满足高斯分布的,为了解决这个问题,EKF是寻找一个线性函数来近似这个非线性函数,而UKF就是去找一个与真实分布近似的高斯分布。
EKF 通过雅克比和偏导数近似非线性模型,但是忽略了高阶导数, EKF的中心思想就是将非线性系统线形化后再做KF处理。
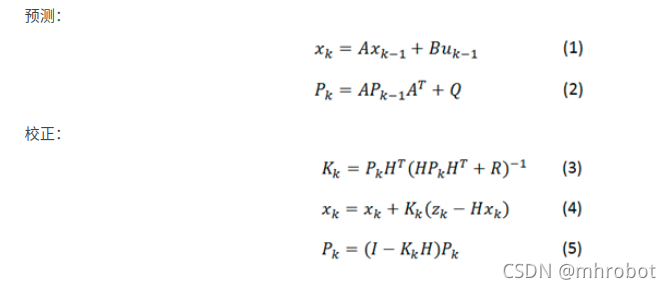
Kalman滤波分为2个步骤,预测(predict)和校正(correct)。预测是基于上一时刻状态估计当前时刻状态,而校正则是综合当前时刻的估计状态与观测状态,估计出最优的状态。预测与校正的过程如下:
公式1是状态预测,公式2是误差矩阵预测,公式3是kalman增益计算(权重),公式4是状态校正,其输出即是最终的kalman滤波结果,公式5是误差矩阵更新。各变量说明如下表:
1.理解Kalman滤波的使用
2.室内定位系列(五)——目标跟踪(卡尔曼滤波)
3.目标跟踪:卡尔曼滤波(Kalman Filter)到底是怎么工作的?
4.卡尔曼滤波总结——KF、EFK、UKF
版权声明:本文为qq_36458461原创文章,遵循CC 4.0 BY-SA版权协议,转载请附上原文出处链接和本声明。