参考7.5.3 Bezier曲线举例_哔哩哔哩_bilibili
曲线的表示
显式表示
优点:直观易于理解 缺点:不能表示封闭曲线,不能表示多值曲线,会出现斜率无穷大的情况
隐式表示
优点:易于判断一个点是否在曲线上 缺点:作图不方便 表示不直观
参数方程表示
最简单的参数曲线-----直线段
优点:
1.满足几何不变行---不受坐标系变换的影响
2.有更大的自由度来控制曲线、曲面的形状
3.对于非参数方程的曲线,需要对每个型值点进行几何变换;而对参数方程,可以直接对参数方程进行几何变换
4.便于处理斜率无穷大的情形,不会因此中断计算
5.易于向量和矩阵运算
参数曲线基本概念

位置矢量
切矢量
曲率
刻画曲线的弯曲程度

法矢量

N是主法失 T是切失 B是副法失
挠率
空间曲线不但要弯曲而且还要扭曲,离开他的密切面,为了能刻画这一扭曲程度,等价于去研究密切平面的法矢量(即曲线的副法矢量)关于弧长的变化率。
挠率的绝对值等于副法线方向(或密切平面)对于弧长的转动率
插值
构造曲线通过给定点
拟合
构造曲线最接近给定的数据点(但是未必通过这些点)
光顺
指曲线的拐点不能太多
对于平面曲线:
1.具有二阶的几何连续性
2.不存在多余的拐点和奇异点
3.曲率变化比较小
连续性
参数连续:该点的位置、一阶导数(切线)、二阶导数均相等 记为
几何连续: 该点的位置相等,
一阶导数方向相同、大小成比例,
是指满足G1连续的情况下,曲率相等。
参数化
思考
过三点P0、P1和P2构造参数表示的插值多项式是唯一还是多个?
答案:无数条,因为参数t可以在[0,1]之间随便取
例如:
参数方程:
插值问题实际就是解方程组的问题,但是如果参数取的不一致的话,情况也不一样。
每个参数值t称为(knot),P0、P1和P2称为型值点(控制点)
对于一条插值曲线,型值点和参数节点有一一对于的关系,对于一组有序的型值点,所确定的一组参数分割,称之为这组型值点的参数化。
参数化的本质:就是找一组恰当的参数t来匹配这一组不同的型值点。给定不同的型值点,就要给出不同的参数化即不同的t值,这样才使得这条曲线美观,合理
参数化常用的方法:
1.均匀参数化---参数等距分布
2.累加弦长参数化---根据长度的比例关系来确定t
3.向心参数化
参数曲线的代数和几何形式
1.代数形式
也可以写成向量的形式
注意:此时的是向量
确定:代数形式 改变细数,曲线如何变化是不清楚的。
2.几何形式(常用)
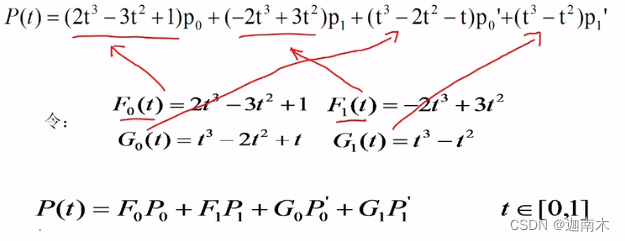
几何形式是利用一条曲线端点的几何性质来刻画一条曲线。所谓端点的几何性质,就是指曲线的端点位置、切向量、各阶导数等端点的信息。
对于三次参数曲线,若用其端点的位失p(0),p(1)和切失p'(0),p'(1)描述


上式就是三次Hermite(三次哈密特曲线)的几何表示形式
几何细数是
称为调和函数(三次)
