基于密度峰值的聚类方法,首先定义点的①局部密度ρi②点i的距离γi
点的局部密度指的是某一点在一定范围内附近点的数量或该数量的函数。
对于离散数据分布而言,点i的密度函数可以定义为
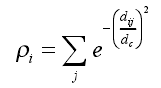
对于连续数据分布,点i的密度函数可以利用高斯函数定义为:
点的距离:指的是在所有比某个数据点的局部密度都大的数据点中,与该数据点
之间的距离的最小值。即可以理解为将所有点的密度都求取一遍之后按照密度从大到小将数据点进行排列。点i与密度比点i大的点中最小的点的距离即为点i的距离。密度最大的点的距离定义为距离与该点最小的距离即可。
版权声明:本文为weixin_39814560原创文章,遵循CC 4.0 BY-SA版权协议,转载请附上原文出处链接和本声明。