数学有对称美。
当给定了一个LP,我们总是希望找到另外一个比较对称的LP,使得它和原来的LP之间有比较好的性质。这时候,对偶性(duality)的讨论便出现了。
对偶LP(Dual Linear Program)
对偶性的由来
所谓对偶的LP,一定是原LP有一定的关系。
比如,我们给出下面的一个LP,记其为P PP:
max ( 4 9 2 4 ) ⏟ c x s.t. ( 1 − 4 3 0 − 1 7 − 5 1 ) ⏟ A x = ( 7 3 ) ⏟ b x 1 , x 2 , x 3 , x 4 ≥ 0 \begin{array}{ll}\max & \underbrace{\left(\begin{array}{llll}4 & 9 & 2 & 4\end{array}\right)}_{c} x \\\text { s.t. } & \underbrace{\left(\begin{array}{cccc}1 & -4 & 3 & 0 \\-1 & 7 & -5 & 1 \end{array}\right)}_{A} x=\underbrace{\left(\begin{array}{l}7 \\3\end{array}\right)}_{b} \\& x_{1}, x_{2}, x_{3}, x_{4} \geq 0\end{array}max s.t. c(4924)xA(1−1−473−501)x=b(73)x1,x2,x3,x4≥0
对于这个LP,它是4元的。我们不能画出这么高维的图形,来规划。因此,人们便在想,能不能使其——这个的4元的问题转化为2元的问题呢?这个问题的答案是:对于这个LP,有。
我们可以利用单纯形法先得到最终的最优解:( 7 , 0 , 0 , 10 ) T (7,0,0,10)^{T}(7,0,0,10)T——对应的最优值为68。
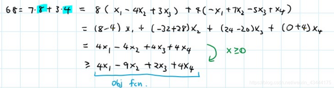
在这里,我们做一个小小的变换,这是一个小trick:
将A X = b AX=bAX=b的constrain 1和constrain 2分别乘于8和4(为叙述方便,记其为y = ( 8 , 4 ) y=(8,4)y=(8,4)),并且相加:
因此,通过放缩,我们可以知道,任何P PP的可行解的值不会超过68。因此,我们可以证明,( 7 , 0 , 0 , 10 ) T (7,0,0,10)^{T}(7,0,0,10)T是一个最优解。因此,我们需要找到一个LP的最优值,问题便转化为了:找到这样的y yy。
但是,可能有人会发问,这也太巧了吧,怎么可能能这么巧呢?因此,蓝底的( 8 , 4 ) (8,4)(8,4)便成为关键——怎么找到这样的向量y yy?事实上,我们称这样的y yy为对偶决策变量——相对于原决策变量x xx。
对偶决策变量的寻找
我们以这个例子为例:
首先,从上面的叙述中,我们可以发现,之所以可以放缩,得到这个不等式,原因是我们利用原LP中约束条件的A x = b Ax=bAx=b的b bb与y yy相乘。因此:
又因为最终不等式,所以黄底、绿底、蓝底和紫底是需要有对应的不等条件的。从而,我们对y 1 y_1y1和y 2 y_2y2的约束。
发现
其实原LP和其对偶,我们可以发现,在目标函数值,是下图这样的关系:
其中,绿色一部分表示原LP,而黄色一部分是其对偶的LP。因此,我们可以发现的是:如果LP和其对偶LP都存在可行解,其可行解会交于一定,这一点便是最终的我们所寻找的最优解(For both primal LP and its dual LP)。因此,引出了下面的两个弱对偶定理和强对偶定理。
弱对偶和强对偶
弱对偶(weak duality)
弱对偶定理叙述如下:
若X ˉ \bar{X}Xˉ是原LP的可行解,Y ˉ \bar{Y}Yˉ是其对偶问题的可行解,总会有
c T X ˉ ≤ b T X ˉ c^T\bar{X} \leq b^T\bar{X}cTXˉ≤bTXˉ
强对偶(strong duality)
强对偶定理叙述如下:
若原LP或者其对偶有最优解,那么其对偶问题或原问题也有最优解,且目标值相等。
无界
无界定理:
如果原LP无可行解(No feasible solution),则其对偶问题无界(unbounded)。
如果对偶问题无可行解,则其原LP无界(unbounded)。
对偶问题的改写
