一、函数极限与连续
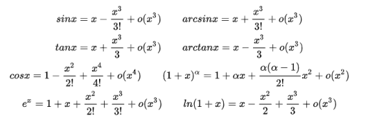
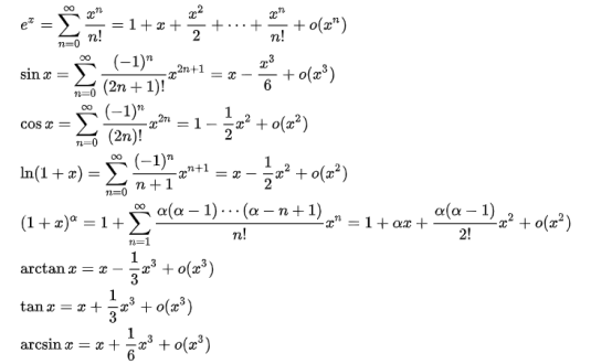
泰勒公式

麦克劳林公式

常用等价无穷小

比阶:
洛必达易错点:

其他结论:

二、数列极限
单调性

三、导数相关
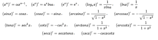
基本求导公式:

特殊求导:

导数定义

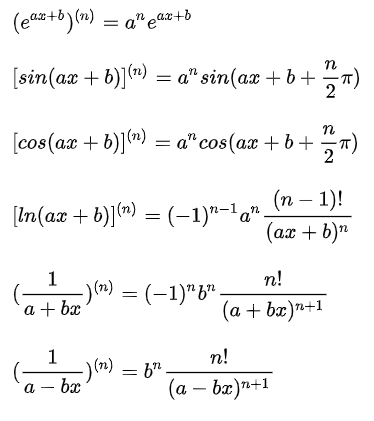
高阶求导公式

子孙三代的关系


带拉格朗日余项的n阶泰勒公式

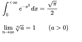
其他结论

四、积分相关
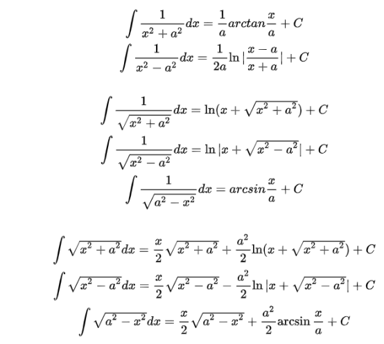
基本积分公式

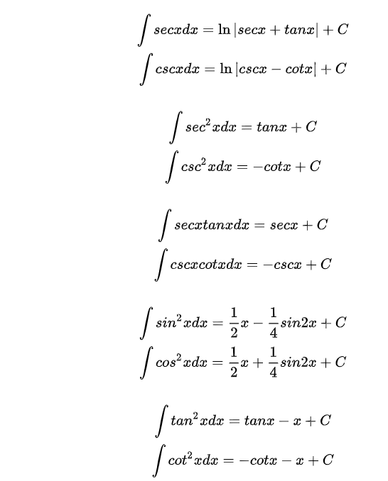
关于三角函数积分

Wallis(华里士)公式及相关


做题常见积分

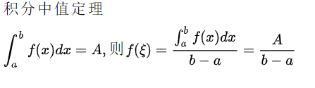
反常积分的判敛


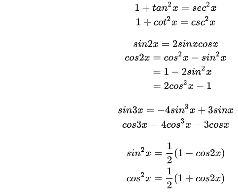
五、三角函数相关
相互转化

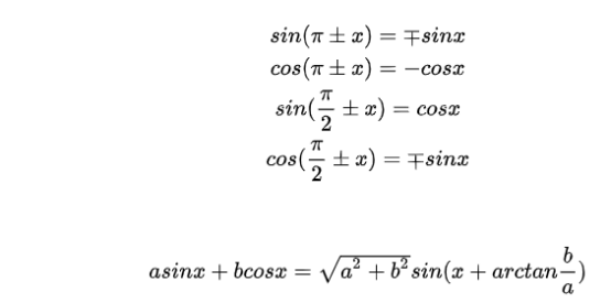
变角

万能公式

最后别忘了代回x哦!
和差角公式

积化和差

和差化积

六、多元函数

七、二重积分
对称性
①普通对称性:

②轮换对称性:


八、微分方程
微分方程的解

九、各种应用公式
1.面积

2.平面曲线弧长

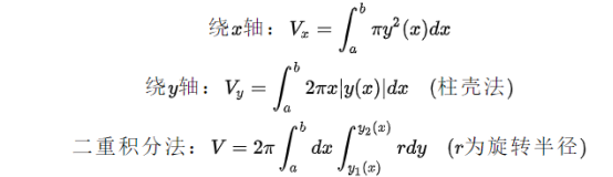
3.旋转体体积

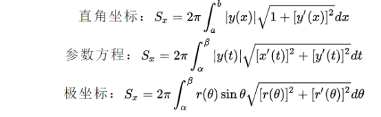
4.旋转曲面侧面积(x轴)

5.曲率和曲率半径:

6.面积、体积相关:

7.切线、法线、截距

十、复合函数
1.奇偶性:

2.连续性:
