提个问题
什么是逆矩阵,什么是可逆矩阵,什么是奇异矩阵,什么是非奇异矩阵
上边我提出了什么问题,下边我也不一定会解答,因为这篇文章需要根据标题来读,不然你搜这个标题干嘛?(嗯?)
首先,我们先假设存在一个矩阵A,它是n阶矩阵,什么叫n阶矩阵,n阶矩阵就是n阶方阵(我翻着考研书写的文章,相信我),就是行=列的矩阵,同时,只有n阶矩阵才配说求行列式,不是方阵求个锤子的行列式?(汤家凤已经把人骂了一万遍了)
好,现在我们有了一个矩阵A,它是n阶矩阵
然后我们需要一个矩阵B,它得这样
AB=E(E是单位阵)
我不想说什么前提得要这个A可逆才行,我脑子里优先假设它可逆不就行了,不可逆我问这个问题干嘛?
下边才是正题
单位阵行变换求逆
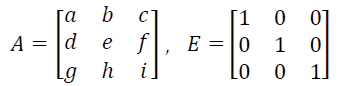
![A=[├ ■(a&b&c@d&e&f@g&h&i)],E=┤ [■(1&0&0@0&1&0@0&0&1)]](https://img-blog.csdnimg.cn/20210615225258796.png)
然后把他们两个按照这样的顺序拼起来
然后把它变成这样
这样的做法有个好处,就是入门就能看懂,看不懂的可以别学了行吧,我真的不知道什么还能比这更直观,那么坏处呢,就是一次要写的元素个数翻倍了,很累的
伴随矩阵求逆
公式:
A的行列式
首先这个矩阵A需要是个方阵,或称为n阶矩阵,不然算不了行列式
其次,这个行列式是个数值,并且它被放在了分母上,所以它不能为零,为零则A矩阵不可逆
A的伴随矩阵
怎么求伴随矩阵勒?麻烦是很麻烦,但是为了让心里压力小一点,我写成公式来比划吧
首先,
那么
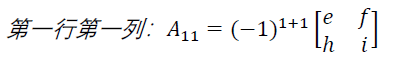
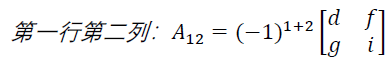
认识一下这个矩阵,什么是代数余子式呢?我们直接说计算方式
这里矩阵里的元素就是上方A的元素嗷,这么近可以直接对比,我就不复现了,再举一例
要注意的是,这个矩阵它在计算时,去除了原矩阵中的元素,我们用红色表示
它去除的中心是b(红色加粗,色盲也能看见啊!),但是它在伴随矩阵中放置的位置是第二行第一列,如图
没错,我们在计算的时候,要注意的有两点:
- 它在原矩阵的去除中心沿主对角线(从左上往右下角划)翻折了
- 代数余子式要带有(-1)的计算
对于二阶行列式勒,我们会发现,去除某行某列之后,只剩下一个数了,不用乘,不用担心,不是你不会做,只是它就是这么简单,但是要注意的是,主对角线对调,不变号,副对角线不对调,变号
那么到此为止,用于上述公式的参数我们已经全部求出,即可得到A的逆阵(逆矩阵,字数少打得快啊)
分块矩阵求逆
这是一种特殊情况,虽然写作特殊,实际读作常见
分块矩阵:
则有
另一种情况,不浪费口舌了=[■(O&C(-1)@B^(-1)&O)]](https://img-blog.csdnimg.cn/20210615225602979.png)
碰巧求逆
怎么碰巧?线代就是有这么多的碰巧,有时候我们会计算AB=C,这个C在某个时候会成为单位阵(什么时候变?看你运气吧,也许它会写成B=AB+9E呢,自己去化),那么当它变成AB=E或者BA=E的时候,请不要浪费多余的时间再去用上边的计算方法,高考应该已经教你了优先应付考试再说
经验求逆
什么叫经验?初等矩阵求逆据说是有规律的,我也记得有规律,甚至还会应用到初等矩阵的次方计算上去,等我想办法去总结一下初等矩阵的性质再来写吧,到时候要翻博客而不是在这里找链接,谁有空老是来改文章加链接啊,你以为做视频呢?