在环境试验中,针对某些测试时间比较长的试验, 往往会选择通过加速应力的方式,缩短试验时间,节约试验经费,达到想要的试验结果,这种试验被称为 加速试验或 加速寿命试验 (Accelerated Life Testing),简称ALT。 ,其基本思想是利用高应力下的寿命特征去外推正常应力水平下的寿命特征。实现这个基本思想的关键在于建立寿命特征与应力水平之间的关系,即 加速模型 。研究加速模型,难免会遇到几个比较常用的经验模型,本篇主要阐述一下Hallberg-Peck模型(哈尔伯格-佩克模型)、Lawson模型(劳森模型)以及MIL-HDBK-217其中一个典型加速模型。
今天把这几个模型,祖坟刨一刨!!! -紫禁城的风会咬人-
Lawson模型
在很多论文和应用报告里,温湿度Lawson模型还是比较常用的,尤其是评估有源元器件的潮湿加速动作。
Lawson 的温湿度模型在其 1974 年和 1984 年的研究论文中提出,由于其模型中的相对湿度平方项,所以这一模型亦被称之为“RH2模型”。
即


这篇文章发的晚,也是由于笔者在不停地思考研究拟合Lawson模型。
因为在一定的相对湿度下,实际的含水量极大程度上取决于温度,
所以我们的结果是该模型“不适合”很多情况。
但是,我们不会称Lawson模型是错误的,只会说Lawson模型适应性不好,毕竟紫禁城的风是会咬人的。
大家千万要注意的是模型都是有其适用性的,不能生搬硬套,否则只是在做无用功。
再把Hallberg-Peck模型,刨一刨!!!
Hallberg-Peck模型
Hallberg-Peck模型也是逆幂律模型常用的典型的模型之一 ,逆幂律模型的相关知识以及一键计算,都可以询问AI微微。 该模型综合考虑了温度、湿度影响,是在Arrhenius模型上的延伸。 在众多的环境试验中,温度、湿度是最为常见的,同时也是使用频率最高的模拟环境因子。实际环境中温度、湿度也是不可忽略的影响产品使用寿命的因素。 完整的Hallberg-Peck模型中的温、湿度加速因子计算模型如下式。
AF(RH):湿度加速因子;
RHs:RHstress为施加应力相对湿度值;
RHu:RHuse为正常使用条件下的相对湿度值;
n:为湿度加速率常数介于2~3,推荐选择3;
其余参数同Arrhenius模型。
从上式可以看出前面的纯湿度的加速因子不会很大(这不是我们增加经济效益想要的结果),完整的Hallberg-Peck模型综合考虑了温度和湿度,假设温度和湿度所导致的失效机理相互独立,所以采用了温度和湿度加速模型相乘(后面文章讨论艾林模型以及举例会着重讲)的方式。
-----------------------------------
好了,这一看,计算公式挺繁琐的,鉴于此,微微直接给出了一键计算,毕竟,繁琐就是我们的敌人。
|
|
|
计算过程举例: 某产品定湿热工作试验,施加的高温应力为50℃,湿度应力为95%RH;产品正常工作温度为25℃,湿度为70%RH。带入完整的Hallberg-Peck模型中计算出AF(T)=6.09,AF(H)=2.49,AF(T&H)=AF(T)*AF(H)=15.22。即50℃、95%RH条件下工作1h,相当于在25℃、70%RH条件下工作15.22 h。相当于加速了15.22倍。 | ||

最后再浅浅的聊一下MIL-HDBK-217。
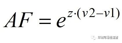
MIL-HDBK-217其中一个典型加速模型
传统的基于手册的可靠性预计方法(如Telcordia SR_332、GJB/Z 299C、MIL-HDBK-217,目前仍然是最广泛使用的方法)在零件故障模型过时、技术工艺发展和数据库不完整方面存在局限性。另外,非随机故障导致的大量在轨异常未被覆盖(例如设计或制造相关的故障)。美军标MIL-HDBK-217中对各种电容器的加速寿命模型建议采用指数模型,即:

AF:加速因子;
V1:为加速前非热量应力;
V2:为加速后非热量应力;
z:为特定常数,可以通过试验数据拟合得出。
经验加速模型,经验加速模型是基于工程师对产品性能长期观察的总结而提出的,因此,套用模型最好能验证一下,大家千万要注意的是模型都是有其适用性的,不能生搬硬套,否则只是在做无用功。
这个模型偶尔看相关文献,会遇到的,逆幂率模型不适合的时候,可以尝试拟合一下。
譬如上次提到的常用的电压模型还有如下另外两种,就是这个模型的衍生。


此致,
微微略尽绵薄之力。
如果有用,可以小小的帮忙分享一下~
结语产品若经历多个应力综合作用,加速因子可以选择对应加速模型的乘积(后面举例的文章会详细讲),随着量子力学理论的发展,既考虑了温度应力,又考虑了各种非温度应力的艾林模型因此产生。
加速模型按其提出时基于的方法可以分为3类:物理加速模型、经验加速模型和统计加速模型。
当然,还有很多模型,我们一个一个来。
科芬-曼森Coffin Manson模型
广义艾林模型
Shirley模型、Norris-Lanzberg模型
温湿度加速模型Lawson
PCB过孔寿命评估
振动/冲击/疲劳加速因子
甚至盐雾等环境加速经验参数
统计加速模型


