1. 定义
二叉搜索树(Binary Search Tree),又名二叉排序树(Binary Sort Tree)。
二叉搜索树是具有有以下性质的二叉树:
(1)若左子树不为空,则左子树上所有节点的值均小于或等于它的根节点的值。
(2)若右子树不为空,则右子树上所有节点的值均大于或等于它的根节点的值。
(3)左、右子树也分别为二叉搜索树。
2. 相关操作
2.1 插入
从根节点开始,若插入的值比根节点的值小,则将其插入根节点的左子树;若比根节点的值大,则将其插入根节点的右子树,直至找到空结点,插入即可。
代码:
def insert(self,root,num):
temp=root
while True:
if num>temp.val:
if not temp.right:
temp.right=Node(num)
return root
temp=temp.right
elif num<temp.val:
if not temp.left:
temp.left=Node(num)
return root
temp=temp.left
else:
return root
2.2 查找
从根节点开始查找,待查找的值是否与根节点的值相同,
若相同则返回True(或者返回找到的结点);
否则,判断待寻找的值是否比根节点的值小,
若是则进入根节点左子树进行查找,
否则进入右子树进行查找
代码
def search(self,root,num):
while root:
if num>root.val:
root=root.right
elif num<root.val:
root=root.left
else:
return root
return False
2.3 查找最大值,最小树
查找最小值:从根节点开始,沿着左子树一直往下,直到找到最后一个左子树节点,就是最小值
def find_min(self,root):
while root.left:
root=root.left
return root
查找最大值:从根节点开始,沿着右子树一直往下,直到找到最后一个右子树节点,就是最大值
def find_max(self,root):
while root.right:
root=root.right
return root.val
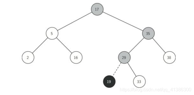
2.4 删除结点
删除操作分为三种情况:
(1)待删除节点既无左子树也无右子树:
直接删除该节点即可
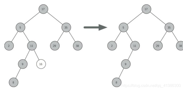
(2) 待删除节点只有左子树或者只有右子树:
将其左子树或右子树根节点代替待删除节点
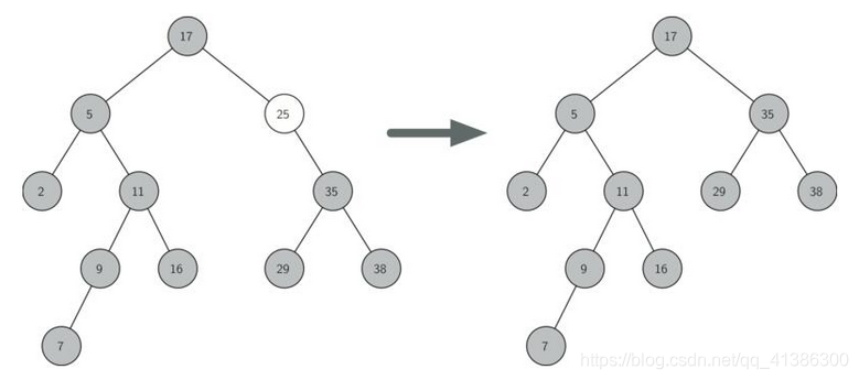
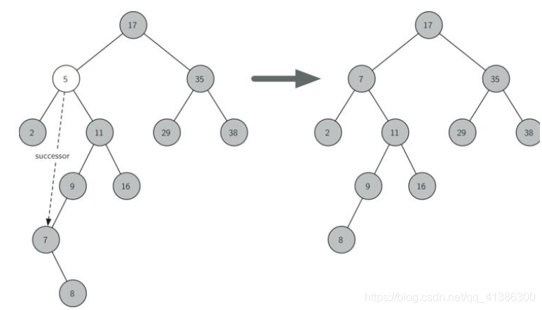
(3)待删除节点既有左子树也有右子树:
找到该节点右子树中最小值节点,使用该节点代替待删除节点,然后在右子树中删除最小值节点。
代码:
def delete(self,root,num):
if not root:
return
if num<root.val:
root.left=self.delete(root.left,num)
elif num>root.val:
root.right=self.delete(root.right,num)
# num==root.val 时,说明root是待删结点
else:
#既有左子树又有右子树
if root.left and root.right:
node_right_min=self.find_min(root.right)
root.val=node_right_min.val
root.right=self.delete(root.right,node_right_min.val)
# 只有左子树
elif root.left and not root.right:
root=root.left
# 只有右子树
elif not root.left and root.right:
root=root.right
#既有左子树又有右子树
else:
root=None
return root
版权声明:本文为qq_41386300原创文章,遵循CC 4.0 BY-SA版权协议,转载请附上原文出处链接和本声明。