债券投资分析框架介绍。
一、常见的债券价值计算模型
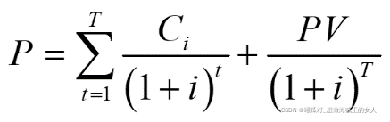
1、分期付息债券价值计算模型(基本模型)
一般情况下,债券是固定利率,每年计算并支付利息、到期归还本金。按照这种模式,债券价值计算的基本模型是:

式中,PV为债券价值(现值);i为每年的利息;P为到期的本金;i为市场利率或投资人要求的最低报酬率;T为债券到期前的年数。
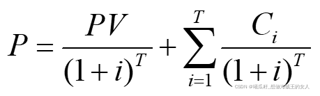
2、一次还本付息且不计复利的债券价值计算模型
中国很多债券属于一次还本付息且不计复利的债券,其价值计算模型为:

3、零票面利率债券的价值计算模型
有些债券以折现方式发行,没有票面利率,到期按面值偿还。这些债券的价值计算模型为:

投资收益率计算:
债券的投资收益包括两方面内容:一是债券的利息收入;二是资本损益,即债券买入价与卖出价或偿还额之间的差额。
衡量债券收益水平的尺度为债券投资收益率,即在一定时期内所得收益与投入本金的比率。
决定债券收益率的因素主要有债券票面利率、期限、面值、持有时间 、购买价格、出售价格和付息方式等。
债券收益率有票面收益率、本期收益率、持有期收益率等多种:
(1)票面收益率
票面收益率又称名义收益率或息票率,是印制在债券票面上的固定利率,即年利息收入与债券面额之比率。投资者如果将按面额购入的债券持至期满,则所获得的投资收益率与票面收益率是一致的。其计算公式为:
票面收益率= 债券年利息/债券面额
(2)本期收益率
本期收益率又称直接收益率或当前收益率,指债券的年利息收入与买入债券的实际价格之比率,债券的买入价格可以是发行价格,也可以是流通市场的交易价格,它可能等于债券面额,也可能高于或低于债券面额。其计算公式为:
本期收益率= 债券年利息/债券买入价*100%
(3)持有期收益率
持有期收益率是指债券持有人在持有期间得到的收益率,能综合反映债券持有期间的利息收入情况和资本损益水平。
1)短期债券持有期收益率
如果债券的持有时间不超过一年,可不考虑资金时间价值直接按债券持有时间的收益额除以买入价计算持有期收益率:
持有期收益率=(债券持有期利息收入+δ(gain))/债券买入价
持有期年均收益率= 持有期收益率/持有年限*100%
2)长期债券持有期收益率
如果债券的持有时间超过一年,应按每年复利一次计算持有期年均收益率,即计算债券的内部收益率。具体包括两种情况:
--到期一次还本付息债券。到期一次还本付息债券的持有期年均收益率是使债券到期兑付的金额或提前出售时的卖出价的现值等于债券买入价的贴现率。
其计算方法是求解以下含有贴现率的方程:
![]()
式中,P为债券的买入价;PV+C×T为债券到期兑付的金额或提前出售时的卖出价;i为债券的持有期年均收益率;T为债券实际持有期限(年)。
--每年末支付利息的债券。每年末支付利息债券的持有期年均收益率是使持有期现金流入现值等于债券买入价的贴现率。其计算方法是求解以下含有贴现率的方程:

式中,P为债券的买入价;C为债券到期兑付的金额或提前出售时的卖出价;i为债券的持有期年均收益率;T为债券实际持有期限(年)。
二、债券的优缺点
1、债券投资的优点
投资收益稳定
投资风险较低
流动性强
2、债券投资的缺点
无经营管理权
购买力风险大
三、债券定价的五个原理
马尔基尔 (Malkiel, 1962) :最早系统地提出了债券定价的5个原理。
定理一:债券的价格与债券的收益率成反比例关系。

定理二:当市场预期收益率变动时,债券的到期时间与债券价格的波动幅度成正比关系。
定理三:随着债券到期时间的临近,债券价格的波动幅度减少,并且是以递增的速度减少;反之,到期时间越长,债券价格波动幅度增加,并且是以递减的速度增加。
定理四:对于期限既定的债券,由收益率下降导致的债券价格上升的幅度大于同等幅度的收益率上升导致的债券价格下降的幅度。
利率上涨一个百分点所导致的债券价格下跌幅度,要比利率下跌一个百分点所导致的债券价格上涨幅度小。
定理五:对于给定的收益率变动幅度,债券的息票率与债券价格的波动幅度成反比关系。
票面利率高的债券,对于利率变化所引起的债券价格变化程度要小于票面利率低的债券。
四、债券价值属性
到期时间:
折价溢价债券的价格变动随到期日的临近回归债券发行价格。

债券的息票率:
息票率决定了未来现金流的大小,债券的息票率越低,债券价格随预期收益率波动的幅度越大。
债券的可赎回条款:
可赎回条款的存在,降低了该类债券的内在价值,并且降低了投资者的实际收益率。
债券属性与债券收益率的关系详如下表所示:
债券属性 | 与债券收益率的关系 |
1.期限 | 当预期收益率(市场利率)调整时,期限越长,债券的价格波动幅度越大;但是,当期限延长时,单位期限的债券价格的波动幅度递减。 |
2.息票率 | 当预期收益率(市场利率)调整时,息票率越低,债券的价格波动幅度越大。 |
3.可赎回条款 | 当债券被赎回时,投资收益率降低。所以,作为补偿,易被赎回的债券的名义收益率比较高,不易被赎回的债券的名义收益率比较低。 |
4.税收待遇 | 享受税收优惠待遇的债券的收益率比较低,无税收优惠待遇的债券的收益率比较高。 |
5.流动性 | 流动性高的债券的收益率比较低,流动性低的债券的收益率比较高。 |
6.违约风险 | 违约风险高的债券的收益率比较高,违约风险低的债券的收益率比较低。 |
7.可转换性 | 可转换债券的收益率比较低,不可转换债券的收益率比较高。 |
8.可延期性 | 可延期债券的收益率比较低,不可延期的债券收益率比较高。 |
五、久期
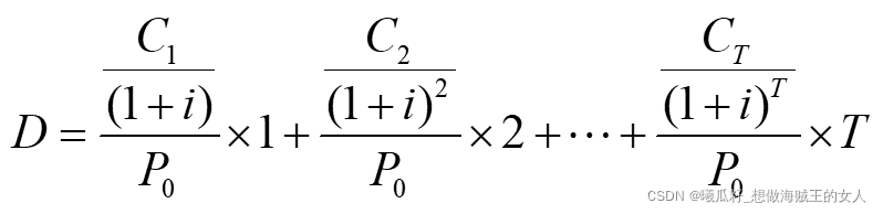
1、马考勒久期
由马考勒 (F.R.Macaulay, 1938) 提出,使用加权平均数的形式计算债券的平均到期时间。
计算公式:

其中,D是马考勒久期,P0是债券当前的市场价格,ct是债券未来第t次支付的现金流 (利息或本金),T是债券在存续期内支付现金流的次数,t是第t次现金流支付的时间,y是债券的到期收益率,PV(ct) 代表债券第t期现金流用债券到期收益率贴现的现值。
决定久期的大小三个因素:各期现金流、到期收益率及其到期时间。
马考勒久期定理:
定理一:只有贴现债券的马考勒久期等于它们的到期时间。
定理二:附息债券的马考勒久期小于或等于它们的到期时间。只有仅剩最后一期就要期满的附息债券的马考勒久期等于它们的到期时间,并等于1。
定理三:统一公债的马考勒久期等于1+1/y ,其中y是计算现值采用的贴现率。
定理四:在到期时间相同的条件下,息票率越高,久期越短。
定理五:在息票率不变的条件下,到期时间越长,久期一般也越长。
定理六:在其他条件不变的情况下,债券的到期收益率越低,久期越长。
2、修正久期
修正久期的定义:

修正的久期公式:

六、凸度
凸度 (Convexity) 是指债券价格变动率与收益率变动关系曲线的曲度。
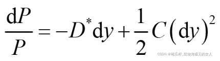
如果说马考勒久期等于债券价格对收益率一阶导数的绝对值除以债券价格,则可以把债券的凸度(C)类似地定义为债券价格对收益率二阶导数除以价格。即:

久期的缺点:现实生活中,债券价格变动率和收益率变动之间的关系并不是线性关系,而是非线性关系 。如果只用久期来估计收益率变动与价格变动率之间的关系,收益率上升或下跌一个固定的幅度时,价格下跌或上升的幅度是一样的。显然这与事实不符。
为此考虑凸度收益率变动幅度与价格变动率之间的关系:
考虑了凸度的收益率变动和价格变动关系:

当收益率变动幅度不太大时,收益率变动幅度与价格变动率之间的关系就可以近似表示为:

七、免疫
免疫技术:由雷丁顿 (Readington, 1952) 首先提出,投资者或金融机构用来保护他们的全部金融资产免受利率波动影响的策略。
两种作用相互抵消的利率风险:价格风险和再投资风险。
久期免疫:如果资产组合的久期选择得当,这一资产组合的久期恰好与投资者的持有期相等时,价格风险与再投资风险将完全抵消,到期时投资组合的累积价值将不受利率波动的影响。
免疫资产的构造:先计算实现承诺的现金流出的久期,然后投资于一组具有相同久期的债券资产组合。
久期免疫的缺陷:
久期是对债券价格变化的一阶近似,因此,一般来说,久期会低估利率变动带来的预期收益或损失。
改进方法:
由于凸度是二阶估计,考虑凸度可以提高利用久期得到的结果 ,尤其是在利率变化很大时,凸度可以修正通过久期得到关于债券价格变化的估计
八、期限结构理论
1、期限结构的反转:预期政府会下调利率,收益线由右上倾变为右下倾。
2、纯预期理论
(1)如果投资者预期未来的短期利率会上升,那么长期利率就会高于短期利率;
(2)如果投资者预期未来的短期利率会下降,那么长期利率就会低于短期利率。
![]()
3、流动性贴水理论
(1)长期债券比短期债券的流动性差;
(2)流动性升水长期收益将高于纯预期长期收益;
(3)升水随着债券到期期限的延长而变大。

4、市场分隔理论
短期利率仅由短期资金的供求决定,长期利率仅由长期资金的供求决定。
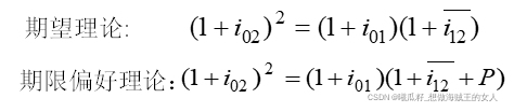
5、期限偏好理论
投资者对特定期限都有很强的偏好。
以两年期债券为例,比较期望理论和期限偏好理论:

九、债券的投资价值分析路线图
