简单介绍非线性问题的三种处理办法
1.非线性转换
转换为线性问题
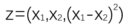
由Cover定理可知,高维比低维更线性可分。比如异或问题转换到3维空间
![]()
2.核方法。如果说非线性转换时明转,那么核方法就是暗转。
3.神经网络。神经网络某种意义就是非线性函数。
版权声明:本文为FeNGQiHuALOVE原创文章,遵循CC 4.0 BY-SA版权协议,转载请附上原文出处链接和本声明。
简单介绍非线性问题的三种处理办法
1.非线性转换
转换为线性问题
由Cover定理可知,高维比低维更线性可分。比如异或问题转换到3维空间
![]()
2.核方法。如果说非线性转换时明转,那么核方法就是暗转。
3.神经网络。神经网络某种意义就是非线性函数。