手写了一份叉乘的推导
矩阵的叉乘

叉乘的矩阵形式,a向量变成A* 然后乘b向量
二维矩阵
假设a(a1,a2) b(b1,b2)
aXb = a1b2 - a2b1 几何意义就是 aXb是a b组成的平行四边形的面积

接下来来证明
S(a,b) = ab*Sin<a,b> = b X a = a2b1 - a1b2
Sin<a,b> = Sin(α - β) = SinαCosβ - CosαSinβ = *
-
*
=
==>> S(a,b) = a1b2 - a2b1
==>> S(a,b) = = a1b2 - a2b1
这两个值是相反的, S(a,b) = b X a
因为 Sin<a,b> = Sin(α - β) Sin<b,a> = Sin(β - α) 同时也跟矩阵aXb bXa的右手坐标系有关
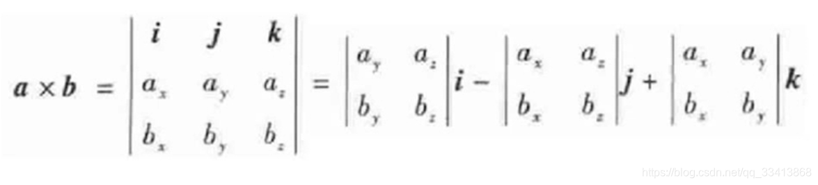
三维矩阵
= a11a22a33 + a12a23a31 + a13a21a32 - a11a23a32 - a12a21a33 - a13a22a31
跟上面二阶行列式一样,都是正向对角相乘后的和 减去 反向对角相乘后的和
S(a,b,c) = a X b X c

这就可以来推测Unity里面Vector3的Cross
public static Vector3 Cross(Vector3 lhs, Vector3 rhs)
{
return new Vector3((float) ((double) lhs.y * (double) rhs.z - (double) lhs.z * (double) rhs.y), (float) ((double) lhs.z * (double) rhs.x - (double) lhs.x * (double) rhs.z), (float) ((double) lhs.x * (double) rhs.y - (double) lhs.y * (double) rhs.x));
}这就是两个矢量的叉乘
所以求向量的叉乘可以转换为求对应矩阵的行列式
应用
左手定则根据叉乘的正负判断 目标在主角的左面还是右面
public Transform target;
public Vector3 temp;
void Start () {
}
void Update () {
temp = Vector3.Cross(transform.position,target.position);
if (temp.y > 0)
{
print("在左面");
}
else
{
print("在右边");
}
}
版权声明:本文为qq_33413868原创文章,遵循CC 4.0 BY-SA版权协议,转载请附上原文出处链接和本声明。