一、例题
例题是数学建模算法与程序—司守奎书中的,下面有matlab求解:
例9(多指标评价问题) 某市教委需要对六所重点中学进行评价,其相应的指标如表7所示。表7中的生均投入和非低收入家庭百分比是输入指标,生均写作得分和生均科技得分是输出指标。请根据这些指标,评价哪些学校是相对有效的。 表7
| 学 校 | A | B | C | D | E | F |
| 生均投入(百元/年) | 89.39 | 86.25 | 108.13 | 106.38 | 62.4 | 47.19 |
| 非低收入家庭百分比(%) | 64.3 | 99 | 99.6 | 96 | 96.2 | 79.9 |
| 生均写作得分(分) | 25.2 | 28.2 | 29.4 | 26.4 | 27.2 | 25.2 |
| 生均科技得分(分) | 223 | 287 | 317 | 291 | 295 | 222 |
由表可知:
投入X为生均投入(百元/年),非低收入家庭百分比(%)
产出Y为生均写作得分(分),生均科技得分(分)
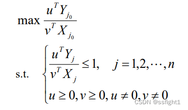
建立如下数学模型:

用matlab表示:
%% 求解线性规划
for i=1:n % Aeq为约束等式的系数矩阵
Aeq=[X eye(m) zeros(m,s) -X(:,i)
Y zeros(s,m) -eye(s) zeros(s,1)]
beq=[zeros(m,1) % beq为常数项
Y(:,i)];
w(:,i)=linprog(f,A,b,Aeq,beq,LB,UB) % 解线性规划,得DMUi的最佳权向
end二、文件下载
MATALAB实现数据包络分析法DEA附带例题解析-其它文档类资源-CSDN下载
版权声明:本文为ssfight1原创文章,遵循CC 4.0 BY-SA版权协议,转载请附上原文出处链接和本声明。