
离散傅里叶变换(DFT)
——有限长序列的离散频域表示
一、预备知识
1.余数运算表达式

![]()
设有限长序列x(n)的长度为N,(0~N-1期间非0),将其以N为周期作周期延拓,所得的周期信号记为
![]()
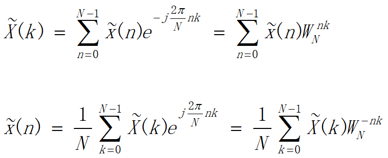
![]()

![]()

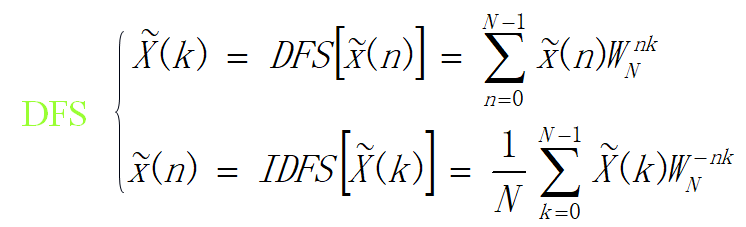
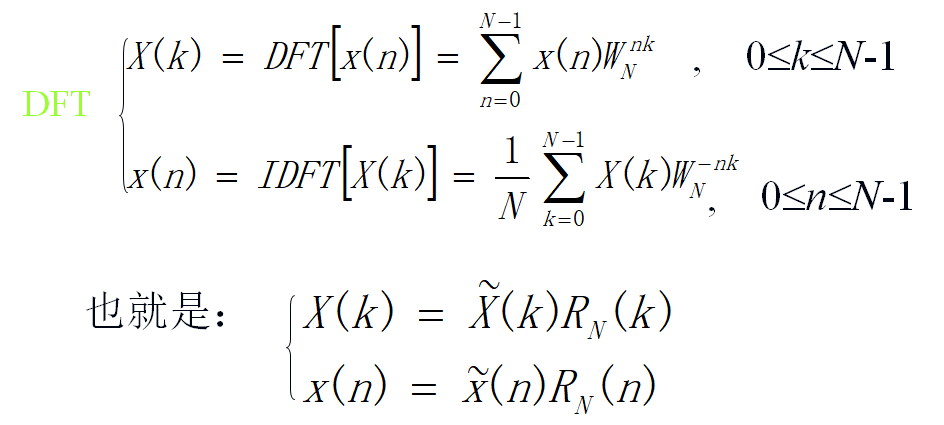
四.从DFS到DFT:

从上式可知,DFS,IDFS的求和只限定在n=0到n=N-1,及k=0到N-1的主值区间进行。
因此可得到新的定义,即有限长序列的离散傅氏变换(DFT)的定义:

x(n)与X(k)是有限长序列的离散傅里叶变换对。
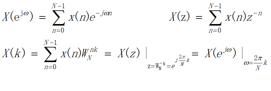
DFT与序列的DTFT和z变换的关系:

x(n)的N点DFT是:
x(n)的z变换在单位圆上的N点等间隔抽样;
x(n)的DTFT在区间[0, 2Π]上的N点等间隔抽样。
DFT的性质
1.线性
1)两序列都是N点时
![]()
2)长度N1,N2不等时
![]()
注:当两个序列作不同N点DFT时,对应的频域值
是z平面上不同点上的值,不能在频域相加。
2.序列的圆周移位
1)定义:一个有限长序列 x(n)的圆周移位定义为
![]()
这里包括三层意思:

2)圆周移位的含义
∵ 取主值序列,即只观察n=0到N-1这一主值区间,
∴ 当某一抽样从此区间一端移出时,与它相同值的抽样又从此区间的另一端进来。
如果把 x(n)排列一个 N等分的圆周 上,序列的移位就相当于x(n)在圆上旋转,故称作圆周移位。
3)圆周移位的性质

说明:有限长序列的圆周移位导致频谱线性相移,而对频谱幅度无影响。
4)调制特性
![]()
说明:时域序列的调制等效于频域的圆周移位
推广:

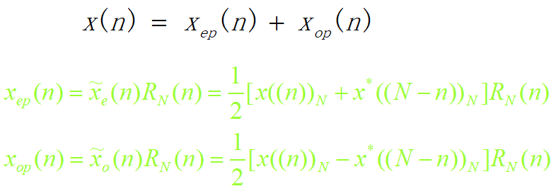
3.共轭对称性
1)周期序列共轭对称分量与共轭反对称分量
周期为N的周期序列的共轭对称分量:

2)有限长序列的圆周共轭对称分量与圆周共轭反对称分量

圆周共轭对称序列满足:
![]()

圆周共轭反对称序列满足:

长度为N的有限长序列可分解圆周共轭对称分量与圆周共轭反对称 分量,二者的长度也为N:

这是因为

3) 共轭对称特性之一

4)共轭对称特性之二


5)共轭对称特性之三

![]()
频域圆周共轭对称
(幅度圆周偶对称, 相角圆周奇对称)
6)共轭对称特性之四


7)共轭对称特性之五、六

9)实、虚序列的对称特性
•当x(n)为实序列时,根据特性之三,则 X(k)=Xep(k)

•当x(n)为纯虚序列时,根据特性之四,则 X(k)=Xop(k)

4.DFT形式下的parseval定理

说明:时域计算的能量与在频域计算的能量是相等的。
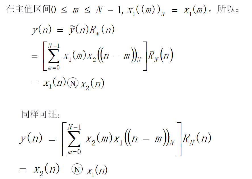
5.圆周卷积定理
1)圆周卷积和的定义
两个长度为N的序列 的如下计算称为圆周卷积和,用符号
表示:(N表示圆周卷积的点数)

性质:![]()
说明:相对于圆周卷积,前面介绍的卷积称为线性卷积。
2)时域圆周卷积定理
3)频域圆周卷积定理
4)圆周卷积计算步骤
圆周翻褶、圆周移位、相乘、相加
注:两个序列应有相同的长度N,才能进行N点圆周卷积;
如果长度不等,应将短序列补0,以使长度相等。
6.线性相关与圆周相关
1)线性相关
相关:两个信号之间的关联性。
线性相关定义为

注意与线性卷积的差异:
线性卷积:

卷积有翻褶,相关没有翻褶;相关有取共轭。
2)圆周相关
定义为:

性质:


2)圆周卷积等于线性卷积的条件:
所以, 圆周卷积是线性卷积的周期延拓序列的主值序列。
圆周相关是线性相关的周期延拓序列的主值序列
3) 线性卷积与圆周卷积关系的应用:
LSI系统的输出![]()
卷积计算的运算量大,可利用卷积定理在频域相乘并作逆变换来求: