线性判别式分析(LDA)
线性判别式分析(Linear Discriminant Analysis, LDA) 是一种有效的特征抽取方法。使用这种方法能够使投影后模式样本的类间散布矩阵最大,并且同时类内散布矩阵最小。即模式在该空间中有最佳的可分离性。
1.原理
将带上标签的数据(点),通过投影的方法,投影到维度更低的空间中,使得投影后的点,会形成按类别区分,一簇一簇的情况,相同类别的点,将会在投影后的空间中更接近。
2.公式推导
2.1 前言
要说明白LDA,首先得弄明白线性分类器(Linear Classifier):因为LDA是一种线性分类器。
对于K-分类的一个分类问题,会有K个线性函数:
当满足条件:对于所有的j,都有Y k > Y j Y_k > Y_jYk>Yj,的时候,我们就说x属于类别k。对于每一个分类,都有一个公式去算一个分值,在所有的公式得到的分值中,找一个最大的,就是所属的分类了。
2.2 推导二分类LDA问题
假设用来区分二分类的直线(投影函数)为:
LDA分类的一个目标是使得不同类别之间的距离越远越好,同一类别之中的距离越近越好,所以我们需要定义几个关键的值。
类别i的原始中心点为:(D i D_iDi表示属于类别i的点)
类别i投影后的中心点为:
衡量类别i投影后,类别内点之间的分散程度(方差)为:
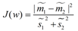
最终我们可以得到一个下面的公式,表示LDA投影到w后的损失函数:
我们分类的目标是,使得类别内的点距离越近越好(集中),类别间的点越远越好。分母表示每一个类别内的方差之和,方差越大表示一个类别内的点越分散,分子为两个类别各自的中心点的距离的平方,我们最大化J(w)就可以求出最优的w了。
想要求出最优的w,可以使用拉格朗日乘子法,但是现在我们得到的J(w)里面,w是不能被单独提出来的,我们就得想办法将w单独提出来。
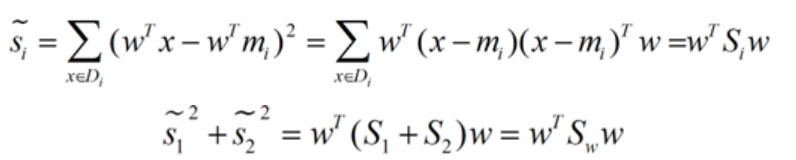
我们定义一个投影前的各类别分散程度的矩阵,这个矩阵看起来有一点麻烦,其实意思是,如果某一个分类的输入点集D i D_iDi里面的点距离这个分类的中心点m i m_imi越近,则S i S_iSi里面元素的值就越小,如果分类的点都紧紧地围绕着m i m_imi,则S i S_iSi里面的元素值越更接近0.
带入S i S_iSi,将J(w)分母化为:
同样的将J(w)分子化为:
这样损失函数可以化成下面的形式:
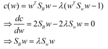
这样就可以用最喜欢的拉格朗日乘子法了,但是还有一个问题,如果分子、分母是都可以取任意值的,那就会使得有无穷解,我们将分母限制为长度为1,并作为拉格朗日乘子法的限制条件,带入得到:
这样的式子就是一个求特征值的问题了。
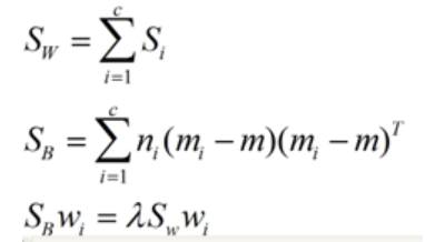
对于N(N>2)分类的问题,我就直接写出下面的结论了:
这同样是一个求特征值的问题,我们求出的第i大的特征向量,就是对应的W i W_iWi了。