多层感知器可以看作是结构最为简单的神经网络,只要把激活函数换成非线性即可。
一个感知器可以有多个输入但是同时只有一个输出;
全连接神经网络的概念
多层感知器组成的层式结构,每个感知器(神经元)与所有输入均有权重连接的网络,叫做全连接网络。
下图为四个神经元组成的全连接神经网络:

下图为更为复杂的全连接神经网络

全连接神经网络的前向传播
神经网络的前向传播与感知器的前馈计算类似,只是激活函数不同。

这样看有点抽象,可以用具体的实例演示一下。

全连接神经网络的反向传播算法
如图一所示的全连接神经网络。具体结构如下:
- 有一层隐层
- 输入为2维向量x
- 输出为2维向量y
- t为x所对应的期望输出(Ground truth)
上一部分介绍了该网络的前向传播,那么反向传播又是怎么一回事呢?
全连接网络的输出向量y与期望输出t进行比较,如果则说明参与计算的权重和偏置不是恰当,需要进行调整。调整的手法就是反向传播。
反向传播的核心就是通过比较预测值y与真实值t,对参与计算的w进行调整,只不过计算是从网络的输出层开始的,从输出到输入逐层计算梯度并更新权重。
由于要计算梯度,那么应用的求导方法是链式法则。链式函数是求复合函数导数的一个法则,高中应该有学过。
比如说,
不要担心这些很难理解,后续会有反向传播的计算公式。这个据说一定要会手推,面试喜欢考,不过好在在我们真的呢训练神经网络的时候,可能真的不需要用大量的代码来实现反向传播,运用的各种框架已经为我们编写好反向传播的代码,我们直接调用即可。
数学之美,在于让人找不到北,开始公式推导。
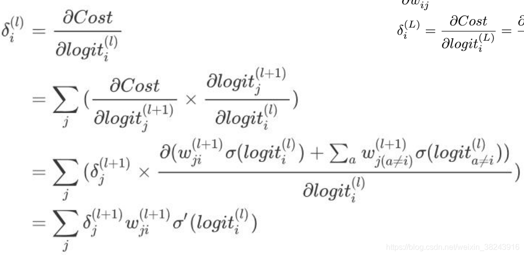
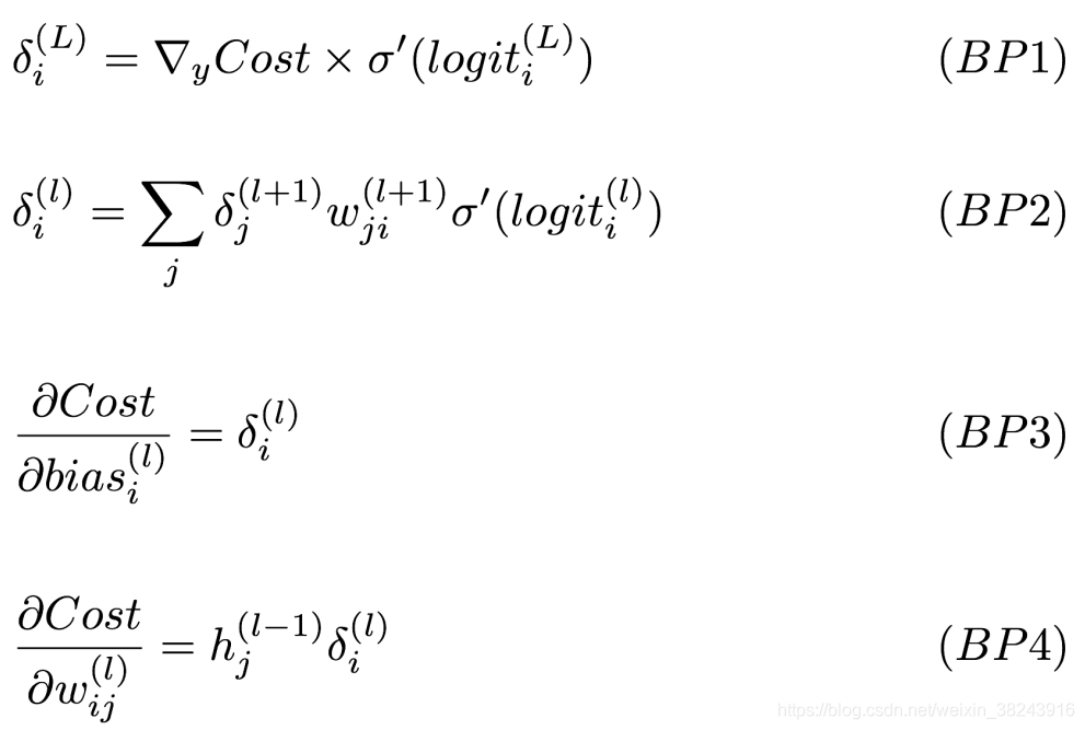
反向传播公式推导

这里的代价函数为最小二乘法




反向传播的过程中,存在梯度消失。以至于在浅层中的权重没有足够的梯度来更新自己,模型的训练优化效果会不够好,可能不会收敛。。
反向传播中还存在Zig Zag问题。
版权声明:本文为weixin_38243916原创文章,遵循CC 4.0 BY-SA版权协议,转载请附上原文出处链接和本声明。