光电二极管(Photo-Diode)工作原理 与输出电压计算

光电二极管(Photo-Diode)是由一个PN结组成的半导体器件,具有单方向导电特性。光电二极管是在反向电压作用之下工作的,在一般照度的光线照射下,所产生的电流叫光电流。如果在外电路上接上负载,负载上就获得了电信号,而且这个电信号随着光的变化而相应变化。

输出电压=输入光信号 ×响应度×50Ω负载 

结光电二极管是一种基本器件,功能类似于普通的信号二极管,但在结半导体的耗尽区吸收光时,会产生光电流。光电二极管是一种快速、高线性度的器件,在应用中具有高量子效率,适合多种应用。

根据入射光确定期望的输出电流水平和响应度是有必要的。图1描绘了一个结光电二极管模型,它由基本的独立元件组成,这样便于直观地了解光电二极管的主要性质,更好地掌握Thorlabs光电二极管的工作过程。

Equation 1
Photodiode Circuit Diagram

图1: 光电二极管模型

光电二极管相关术语

响应度
光电二极管的响应度可以定义为给定波长下,产生的光电流(IPD)和入射光功率(P)之比:

Equation 2

工作模式(光导模式和光伏模式)
光电二极管有两种工作模式:光导模式(反向偏置)或光伏模式(零偏置)。工作模式的选择根据应用中速度和可接受暗电流大小(漏电流)而定。

光导模式
处于光导模式时,有一个外加的偏压,这是我们DET系列探测器的基础。电路中测得的电流代表器件接受到的光照; 测量的输出电流与输入光功率成正比。 外加偏压使得耗尽区的宽度增大,响应度增大,结电容变小,响应度趋向直线。 在这些条件下工作容易产生较大的暗电流,但可以选择光电二极管的材料以限制其大小。(注: 我们的DET器件都是反向偏置的,不能在正向偏压下工作。)

光伏模式
光伏模式下,光电二极管是零偏置的。器件的电流流动受到限制,形成一个电压。这种工作模式利用了光伏效应,它是太阳能电池的基础。当在光伏模式工作时,暗电流最小。

暗电流
暗电流是光电二极管有偏压时的漏电流。在光导模式工作时,容易出现更高的暗电流,并与温度直接相关。温度每增加 10 °C,暗电流几乎增加一倍,温度每增加 6 °C,分流电阻增大一倍。显然,应用更大的偏压会降低结电容,但也会增加当前暗电流的大小。

当前的暗电流也受光电二极管材料和有源区尺寸的影响。锗器件暗电流很大,硅器件的暗电流通常比锗器件的小。下表给出了几种光电二极管材料及它们相关的暗电流, 速度, 响应波段和价格。

MaterialDark CurrentSpeedSpectral RangeCost
Silicon (Si)LowHigh SpeedVisible to NIRLow
Germanium (Ge)HighLow SpeedNIRLow
Gallium Phosphide (GaP)LowHigh SpeedUV to VisibleModerate
Indium Gallium Arsenide (InGaAs)LowHigh SpeedNIRModerate
Indium Arsenide Antimonide (InAsSb)HighLow SpeedNIR to MIRHigh
Extended Range Indium Gallium Arsenide (InGaAs)HighHigh SpeedNIRHigh
Mercury Cadmium Telluride (MCT, HgCdTe)HighLow SpeedNIR to MIRHigh

结电容
结电容(Cj)是光电二极管的一个重要性质,对光电二极管的带宽和响应有很大影响。需要注意的是,结区面积大的二极管结体积也越大,也拥有较大的充电电容。在反向偏压应用中,结的耗尽区宽度增加,会有效地减小结电容,增大响应速度。

带宽和响应
负载电阻和光电二极管的电容共同限制带宽。要得到最佳的频率响应,一个50 Ω的终端需要使用一条50 Ω的同轴电缆。带宽(fBW)和上升时间响应(tr)可以近似用结电容(Cj)和负载电阻(Rload)表示:

Equation 3

噪声等效功率
噪声等效功率(NEP)是信噪比等于1时产生的RMS信号电压。它是非常有用的参数,因为NEP决定了探测器探测弱光的能力。一般而言,NEP随着探测器的有源区而增大,且可以用下式表示:

 

Photoconductor NEP

在这里,S/N是信噪比,Δf是噪声带宽,入射能量的单位是W/cm2

终端电阻
使用负载电阻将光电流转换为电压(VOUT)以便在示波器上显示:

Equation 4

根据光电二极管的类型,负载电阻影响其响应速度。为达到最大带宽,我们建议在同轴电缆的另一端使用50欧姆的终端电阻。其与电缆的本征阻抗相匹配,将会最小化谐振。如果带宽不重要,您可以增大负载电阻(Rload),从而增大给定光功率下的光电压。终端不匹配时, 电缆的长度对响应影响很大,所以我们建议使电缆越短越好。

分流电阻
分流电阻代表零偏压下光电二极管的结电阻。理想的光电二极管分流电阻无限大,但实际值可能从十欧姆到几千兆欧不等,与其材料有关。例如,InGaAs探测器分流电阻在10兆欧姆量级,而Ge探测器的分流电阻在千欧量级。这会显著影响光电二极管的噪声电流。然而,在大部分应用中,大电阻几乎不产生效应,因而可以忽略。

串联电阻
串联电阻是半导体材料的电阻,这个小电阻通常可以忽略。串联电阻来自于光电二极管的触点和线接头,通常用来确定二极管在零偏压下的线性度。

通用工作电路

DET_DWG_1_780.jpguploading.gif转存失败重新上传取消Reverse Biased DET Circuit

图2:反向偏压电路(DET系列探测器)

DET系列探测器有上面所示的模块化电路。探测器反向偏置对输入光产生线性响应。光电流的大小与入射光大小以及波长有关,输出端加一个负载电阻就可以在示波器上显示。RC滤波电路的作用是滤掉输入电源的高频噪声,这些噪声会影响输出端的噪声。

Reverse Biased DET Circuit

图3:放大探测器电路

也可以用光电探测器加放大器来实现所需要的高增益。用户可以选择工作在光导模式和光伏模式。使用这个有源电路有几个优势:

  • 光伏模式:由于运算放大器A点电势和B点电势相等,因而光电二极管两端的电势差为零伏。这样最小化了暗电流的可能。
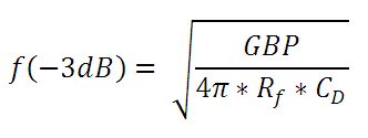
  • 光导模式:二极管反向偏置,于是增大了带宽降低了结电容。探测器的增益与反馈元件(Rf)有关。探测器的带宽可用下面的式子计算:

Equation 5

其中GBP是放大器增益带宽积,CD是结电容和放大器电容之和。

斩波频率的影响

光导体信号将保持不变,直到时间常数响应极限为止。许多探测器(包括PbS、PbSe、HgCdTe(MCT)和InAsSb探测器)具有1/f的典型噪声频谱(即,噪声随着斩波频率增大而减小),这会对低频时的时间常数具有较大影响。

探测器在低斩波频率下会表现出较低响应度。频率响应和探测率对于下式最大化

Photoconductor Chopper Equation


版权声明:本文为flomingo1原创文章,遵循CC 4.0 BY-SA版权协议,转载请附上原文出处链接和本声明。