最近来了一个新的电机,厂商也没给个具体的电感电阻参数,没办法只能来研究一下如果把其参数辨识出来了。想想参数辨识,也是很早之前就像要去做的一个课题,最近生活波动较大,实在是不想再去做太过复杂的东西,正好沉浸下来,好好填填坑吧。
1、递推最小二乘法
最小二乘法最早由高斯在形体运动轨道报告研究工作中提出,此后称为参数辨识理论的基石,被广泛应用于系统辨识和参数估计之中,不得不感叹数学家们的伟大,工程技术的提升离不开这些伟大数学家在工具上的优化。那么大概的讲讲递推最小二乘法是什么?对于一个可观测的系统,其L组输入输出观测数据可以被表示为{y(k),u(k),k=1,2,3....}。
假设系统的输入量和输出量可以被表示为:
![]()
其中y(k)为系统的输出矩阵,phiT(k)为可观测到的中间量矩阵,theta(k)为待辨识参数的矩阵,e(k)为平均值为0的随机变量矩阵。1
构建其目标函数为:
![]()
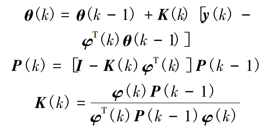
令其偏导数为0,则递推最小二乘法的递推式可以被表示为:

那么这个式子也就是递推最小二乘法的核心算法,其中K(k)和P(k)为递推公式的中间变量。那么只要我们能够得到 y(k) 和 phi(k) 就可以开始进行递推最小二乘,辨识结果就是 theta(k)。
2、电机的输入输出矩阵
直接对其dq轴的电压模型进行分析,可得一下关系式:式中wr是电机的电角速度。

由于我们要做的是在线参数辨识,必须对其进行离散化,离散化后数学模型如下所示:

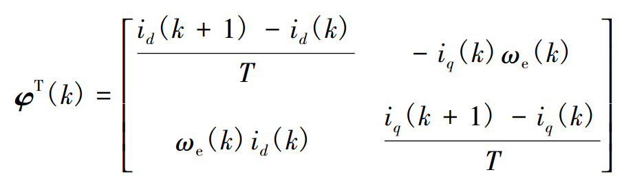
总体进一步整理可得:

那么实际可以提取出来,我们做最小二乘法需要的输入输出矩阵,其中较为关键的就是 y(k) ,phi(k)。对其进行提取可得:


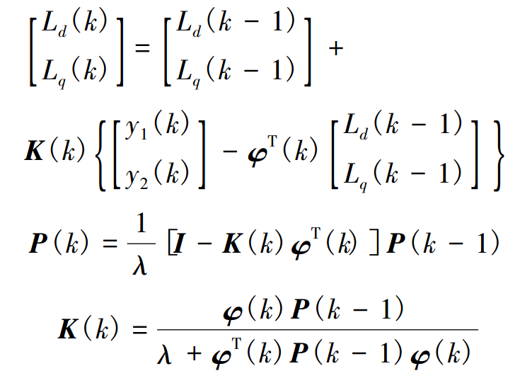
根据以上的整理,最终得到参数辨识的方程,结合咱们之前做的仿真框架,对其进行实现。

版权声明:本文为sy243772901原创文章,遵循CC 4.0 BY-SA版权协议,转载请附上原文出处链接和本声明。