@ 数值分析之非线性方程求解
文章目录
二分法、试值法的本质
(1) 二分法求利率
题目
输入输出格式
举例
输入:
输出:
思路和要点
代码
结果
(2)试值法法求利率
题目
输入输出格式
举例
输入:
输出:
思路和要点
代码
结果
二分法、试值法的本质
二分法,试值法主要依靠在确定区间[a,b]上,f(a)f(b)<0来迭代找根,这个区间内只能有单解,然后缩小区间,逼近精确解,这统称为全局收敛法。
但是如果区间内有多个根,就要用不同区间来寻找根。而牛顿-拉夫森法和割线法能解决多解问题。
这类方法要求给定一个接近根的值保证收敛性,此称为局部收敛法,局部收敛速度大于全局收敛速度。
一些混合方法先采用全局收敛法,当迭代逼近根后切换局部收敛法。不动点迭代属于简单迭代,也只能求解单解问题,但是如果和求近似根的算法结合,就能处理多解问题,而这一综合算法的不动点迭代法将在下一篇展示。
(1) 二分法求利率
题目
如果在240个月内每月付款300美元,使用二分法在利率区间[a,b] 内,
求能够满足在这240个月之后,本金和利息总值达到50万美元的利率值,精确到小数点后第d位。
输入输出格式
【输入形式】在屏幕上输入3个数,依次为利率区间左端点值a、右端点值b和精确到小数点后d位。
各数间都以一个空格分隔。测试用例的输入满足:b>a>0, 1<=d<=8, d为正整数。
【输出形式】输出两行数据,第一行为迭代次数,第二行为求得的利率,保留d位小数。
举例
输入:
0.15 0.16 8
输出:
20
0.15753931
思路和要点
(1)精确到n位小数,需要一个相对误差的概念,一般来说,精确到小数点后n位,即delta=10e-n,要求最后的左右区间之差小于delta,也是迭代判定条件
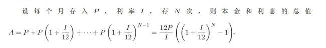
(2)需要构建非线性方程,这里就是需要找到一个n(年利率)能带入方程与500000的差越小越好。这就需要知道本金利息是怎么计算的计算,公式如下。其中I是年利率,所以分摊到每月要除以12。

代码
// 二分法求利率
import numpy as np
def func(n):
return 500000-300*12*(pow(1+n/12,240)-1)/n
#这里是设定函数 f(n)是求最后得到的本兮和500000的差值
#n/12的原因是n是年利率,分摊到每个月,要除以12
def main():
n = np.array(input().split(),dtype = np.float64)
left = n[0]
right = n[1]
delta = 0.5*pow(10,-int(n[2]))
count = 0 #迭代次数
mid = (left+right)/2
while (right-left)>delta: #非线性方程求近似解判定条件
count += 1
if func(mid)>0:
left = mid
elif func(mid)<0:
right = mid
elif func(mid)==0: #完美解
break
mid = (left+right)/2
print(count)
print(round(mid,int(n[2])))
if __name__ =='__main__':
main()
结果

(2)试值法法求利率
题目
如果在240个月内每月付款300美元,使用二分法在利率区间[a,b] 内,
求能够满足在这240个月之后,本金和利息总值达到50万美元的利率值,精确到小数点后第d位。
输入输出格式
【输入形式】在屏幕上输入3个数,依次为利率区间左端点值a、右端点值b和精确到小数点后d位。
各数间都以一个空格分隔。测试用例的输入满足:b>a>0, 1<=d<=8, d为正整数。
【输出形式】输出两行数据,第一行为迭代次数,第二行为求得的利率,保留d位小数。
举例
输入:
0.15 0.16 8
输出:
5
0.15753931
思路和要点
(1)试值法和二分法的共同点:试值法又叫试位法,和二分法的本质一样,都是依靠f(a)*f(b)<0来确定可导区间内至少存在一个值,通过缩小区间来求解,但是二分法收敛速度慢。所以试值法是对二分法的改进。
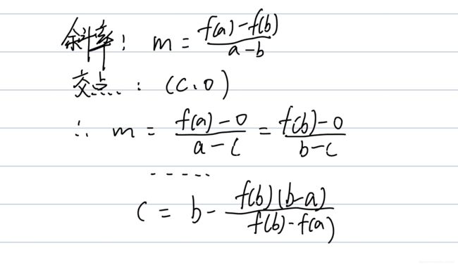
(2)改进之处:二分法是使用区间[a,b]的中点来迭代,试值法是寻找经过(a,f(a))和(b,f(b))的割线L与x轴的交点(c,0),则能得到一个更好的近似值,代码段中的fun_c(a,b)函数就是通过斜率来求c的值。

代码
// 试值法求利率
import numpy as np
def func(x):#带入x后的函数值
return 500000-300 * 12 * (pow((1 + x / 12), 240) - 1) / x
def func_c(a, b):
#a为函数区间左端点,b是右端点
return b - (func(b) * (b - a)) / (func(b) - func(a))
#返回a,b两点连线与x轴的交点(c,0)的横坐标
def main():
n = np.array(input().split(), dtype=np.float64)
a = n[0]
b = n[1]
delta = 0.5 * 10 ** (-int(n[2]))
#精确到小数点后n位:近似值的绝对误差小于小数点后n位上的半个单位
epsilon = 0.0001
count = 0
if func(a) * func(b) > 0:#说明这段区间上没有解或有多个解
return -1
else:
while True:
count += 1 #count迭代次数
c = func_c(a, b)
if func(c)==0: #c刚好就是所求解
break
elif func(a) * func(c) > 0:#解在c,b之间
a = c
c = func_c(a, b)
elif func(a)*func(c)<0: #解在a,c之前
b = c
c = func_c(a, b)
if abs(b - a) < delta: #区间范围
break
if abs(func(c)) < epsilon: #函数值小于误差范围
break
print(count)
print(round(c, int(n[2])))
if __name__ == '__main__':
main()
结果
