一、喜报
喜报: 在2020-10-17参加了蓝桥杯省赛,幸不辱命,拿到了一等奖,取得了参加国赛的资格。
下面我简单介绍一下我的蓝桥杯准备过程的经历。
二、准备介绍
记得这个比赛是很早之前就报名的,本来应该是在大二下学期的时候就开始比赛,因为疫情的原因,一直在家学期,这个比赛也就推迟了。
现在是大三上学期,也感受到了时间的紧张,课虽然很少,但处理的事情越来越多,学的东西越来越杂,但准备蓝桥杯刻不容缓。
暑假在家的时候完全没有复习蓝桥杯,自己也有想法去仿蓝桥杯的板子自己画一个用,一来能省下不少买板子的钱,二来还能锻炼一下自己的绘图能力和焊接能力。
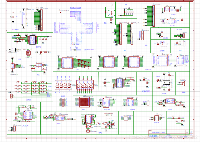
三、PCB绘制
在经过一两天的努力之后,终于完成了PCB的绘制,
就是下面这两个东西。
原理图:
PCB:
3D预览:
经过嘉立创打板,几天的时间PCB就到了我的手里,又经过几天的焊接调试,大部分的功能都可以使用。

四、编写程序
又经过几天时间的敲代码的过程,完成了部分代码的编写。
五、收获
在这次一系列的操作下,我确实见长了不少,对这个板子也了解的足够深刻,知道了每个器件是怎样连接的,每个器件的功能是干什么的,这使我受益匪浅。
六、省赛复习
在省赛的准备过程中,我并没有去做太多的准备,只是简单的写了一遍程序,把基本用到的模块都用了一遍,测试了一遍,又把官方给的历程进行加工,也烧写到了开发板上,模拟题做了两套,客观题近几年的看了几遍,也就如此而已,至于调试的过程也就懒得去记录了。
七、国赛准备
为什么我要写这篇博客呢,因为我感觉既然进了国赛,那就不一样了,我为什么不去拼一拼拿个一等奖而非要去拿二等奖呢!我觉得我应该去试一试,所以在昨天,离国赛还有5天的时间的时候我开始了我的复习,在如此繁重的压力下如此的去对待这件事,足以见我的诚意。
我准备完成省赛时间留下的空白,我打算把省赛写的程序搬运到论坛上,一来给自己记下一笔努力的过程,二来也权当是复习吧(可能并没有什么用)。
八、努力和期许
学习不是一件容易的事情,不可能一蹴而就,我们只有脚踏实地,一步一步走,才有可能去取得成功。
每天几个小时的坚持,相信国赛会取得一个不错的成绩,朋友们,祝福我吧。