Description:
Given a positive integer n, find the least number of perfect square numbers (for example, 1, 4, 9, 16, …) which sum to n.
Example 1:
Input: n = 12
Output: 3
Explanation: 12 = 4 + 4 + 4.
Example 2:
Input: n = 13
Output: 2
Explanation: 13 = 4 + 9.
题意:给定一个正整数n nn,令n nn=a1+a2+…ai+…+an,其中ai为一个完全平方数,计算使上述等式满足的最小个数的ai;
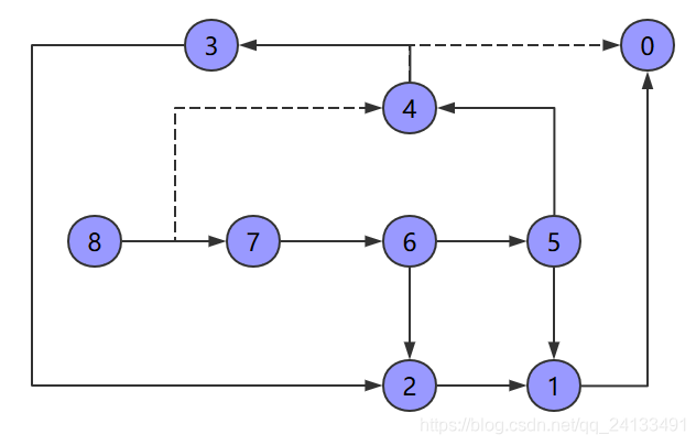
解法:这道题可以转为一个图的问题,假设此时的n = 8 n=8n=8,那么我们就是要在下图中找到一条最短的路径到达0 00;即图中虚线的那个路径就是最短的;我们利用队列来实现,队列中的元素为<n, step>,即整数值和已走的步数,每到下一个节点,步数加1,直到到达n = 0 n=0n=0的那个节点;

Java
class Solution {
public int numSquares(int n) {
LinkedList<List<Integer>> queue = new LinkedList<>();
boolean[] visited = new boolean[n + 1];
visited[n] = true;
queue.addLast(Arrays.asList(n, 0));
while (!queue.isEmpty()) {
List<Integer> list = queue.poll();
int num = list.get(0);
int step = list.get(1);
for (int i = 1; ; i++) {
int ret = num - i * i;
if (ret < 0) {
break;
}
if (ret == 0) {
return step + 1;
}
if (!visited[ret]) {
queue.addLast(Arrays.asList(ret, step + 1));
visited[ret] = true;
}
}
}
throw new RuntimeException("no solution");
}
}
版权声明:本文为qq_24133491原创文章,遵循CC 4.0 BY-SA版权协议,转载请附上原文出处链接和本声明。